KEGG   ENZYME: 3.5.99.1
Entry
EC 3.5.99.1                 Enzyme                                 
Name
riboflavinase
Class
Hydrolases;
Acting on carbon-nitrogen bonds, other than peptide bonds;
In other compounds
Sysname
riboflavin hydrolase
Reaction(IUBMB)
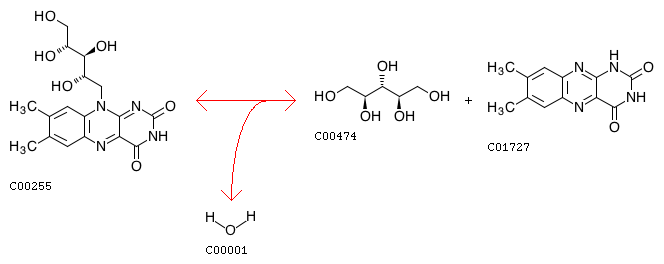
riboflavin + H2O = ribitol + lumichrome [RN:R01732]
Reaction(KEGG)
R01732
Substrate
riboflavin [CPD:C00255];
H2O [CPD:C00001]
Product
ribitol [CPD:C00474];
lumichrome [CPD:C01727]
History
EC 3.5.99.1 created 1961
Pathway
ec00740  Riboflavin metabolism
Reference
1  [PMID:13357454]
  Authors
FOSTER JW, YANAGITA T.
  Title
A bacterial riboflavin hydrolase.
  Journal
J Biol Chem 221:593-607 (1956)
Other DBs
ExplorEnz - The Enzyme Database: 3.5.99.1
IUBMB Enzyme Nomenclature: 3.5.99.1
ExPASy - ENZYME nomenclature database: 3.5.99.1
BRENDA, the Enzyme Database: 3.5.99.1
CAS: 9024-79-7
LinkDB

KEGG   REACTION: R01732
Entry
R01732                      Reaction                               
Name
riboflavin hydrolase
Definition
Riboflavin + H2O <=> Ribitol + Lumichrome
Equation
Reaction class
RC00591  C00255_C00474
RC03201  C00255_C01727
Enzyme
Pathway
rn00740  Riboflavin metabolism
Brite
Enzymatic reactions [BR:br08201]
 3. Hydrolase reactions
  3.5  Acting on carbon-nitrogen bonds, other than peptide bonds
   3.5.99  In other compounds
    3.5.99.1
     R01732  Riboflavin + H2O <=> Ribitol + Lumichrome
Other DBs
RHEA: 11411
LinkDB

DBGET integrated database retrieval system