KEGG   COMPOUND: C04247
Entry
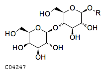
C04247                      Compound                               
Name
D-Galactosyl-(1->4)-beta-D-glucosyl-R;
D-Galactosyl-1,4-beta-D-glucosyl-R;
beta-D-Galactosyl-(1->4)-beta-D-glucosyl-R
Formula
C12H21O11R
Structure
Comment
Generic compound in reaction hierarchy
Reaction
Enzyme
Other DBs
PubChem: 6912
LinkDB
KCF data

ATOM        24
            1   C1y C    19.1626  -15.8552
            2   C1y C    19.1626  -14.4515
            3   O2a O    17.9650  -16.5569
            4   C1y C    20.3795  -16.5569
            5   O2x O    20.3795  -13.7561
            6   C1b C    17.9650  -13.7561
            7   C1y C    16.7481  -17.2523
            8   C1y C    21.6029  -15.8552
            9   O1a O    20.3795  -17.9542
            10  C1y C    21.6029  -14.4515
            11  O1a O    16.8962  -14.6576
            12  O2x O    15.5247  -16.5569
            13  C1y C    16.7481  -18.6561
            14  O1a O    22.8134  -16.5569
            15  O2a O    22.8134  -13.7561
            16  C1y C    14.3079  -17.2523
            17  C1y C    15.5247  -19.3577
            18  O1a O    17.9587  -19.3577
            19  R   R    24.0303  -14.4580
            20  C1y C    14.3079  -18.6561
            21  C1b C    13.1102  -16.5569
            22  O1a O    15.5247  -20.7550
            23  O1a O    13.1102  -19.3577
            24  O1a O    12.0415  -17.4584
BOND        25
            1     1   2 1
            2     1   3 1 #Down
            3     1   4 1
            4     2   5 1
            5     2   6 1 #Up
            6     7   3 1 #Up
            7     4   8 1
            8     4   9 1 #Up
            9     5  10 1
            10    6  11 1
            11    7  12 1
            12    7  13 1
            13    8  14 1 #Down
            14   10  15 1 #Up
            15   12  16 1
            16   13  17 1
            17   13  18 1 #Down
            18   15  19 1
            19   16  20 1
            20   16  21 1 #Up
            21   17  22 1 #Up
            22   20  23 1 #Up
            23   21  24 1
            24    8  10 1
            25   17  20 1

» Japanese version

DBGET integrated database retrieval system