| Entry |
|
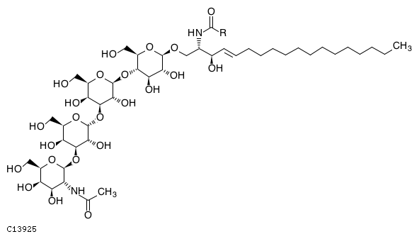
| Name |
iGb4Cer;
GalNAc-beta1->3Gal-alpha1->3Gal-beta1->4Glc-beta1->1'Cer
|
| Formula |
C45H79N2O23R
|
| Structure |

|
| Remark |
|
| Pathway |
| map00603 | Glycosphingolipid biosynthesis - globo and isoglobo series |
|
| Brite |
Lipids [BR:br08002]
SP Sphingolipids
SP05 Neutral glycosphingolipids
SP0506 Galalpha1-3Galbeta1-4Glc- (Isoglobo series)
G00392 GalNAc-beta1->3Gal-alpha1->3Gal-beta1->4Glc-beta1->1'Cer (iGb4Cer)
|
| Other DBs |
|
| LinkDB |
|
| KCF data |
ATOM 71
1 O2a O 20.7891 -13.3692
2 C1y C 22.0490 -12.6692
3 C1y C 22.0490 -11.2693
4 C1y C 23.1689 -13.4159
5 O2x O 23.2622 -10.6626
6 C1b C 20.8358 -10.5693
7 C1y C 24.4756 -12.7159
8 O1a O 23.1689 -14.8158
9 C1y C 24.4756 -11.3626
10 O1a O 19.6224 -11.3160
11 O1a O 25.5955 -13.4625
12 O2a O 25.6888 -10.7093
13 C1b C 26.9021 -11.3626
14 C1c C 28.1154 -10.6626
15 C1c C 29.3753 -11.3626
16 N1b N 28.1154 -9.2627
17 C2b C 30.5886 -10.6626
18 O1a O 29.3753 -12.7625
19 C5a C 29.3286 -8.5627
20 C2b C 31.8018 -11.3160
21 O5a O 29.3286 -7.1628
22 R R 30.5419 -9.2627
23 C1b C 33.0152 -10.6160
24 C1b C 34.2284 -11.3160
25 C1b C 35.4416 -10.6160
26 C1b C 36.7016 -11.2693
27 C1b C 37.9149 -10.5693
28 C1b C 39.1282 -11.2693
29 C1b C 40.3414 -10.5226
30 C1b C 41.5547 -11.2226
31 C1b C 42.8147 -10.5226
32 C1b C 44.0279 -11.2226
33 C1b C 45.2412 -10.5226
34 C1b C 46.4545 -11.1760
35 C1a C 47.6677 -10.4760
36 C1y C 17.1492 -14.0691
37 C1y C 17.1492 -15.4691
38 O2x O 18.3625 -13.3692
39 C1b C 15.9360 -13.3692
40 C1y C 18.3625 -16.1690
41 O1a O 15.9360 -16.1690
42 C1y C 19.5758 -14.0691
43 O1a O 14.8626 -14.2558
44 C1y C 19.5758 -15.4691
45 O2a O 18.3625 -17.5690
46 O1a O 20.7891 -16.1690
47 C1y C 14.7227 -18.2689
48 C1y C 14.7227 -19.6689
49 O2x O 15.9360 -17.5690
50 C1b C 13.5094 -17.5690
51 C1y C 15.9360 -20.3688
52 O1a O 13.5094 -20.3688
53 C1y C 17.1492 -18.2689
54 O1a O 12.4362 -18.4556
55 C1y C 17.1492 -19.6689
56 O2a O 15.9360 -21.7688
57 O1a O 18.3625 -20.3688
58 C1y C 14.7693 -23.8220
59 C1y C 13.6027 -24.5219
60 C1y C 14.7693 -22.4687
61 N1b N 15.7960 -24.8486
62 C1y C 12.4362 -23.8220
63 O1a O 13.6027 -25.8286
64 O2x O 13.6027 -21.7688
65 C5a C 17.1492 -25.5953
66 C1y C 12.4362 -22.4687
67 O1a O 11.2695 -24.5219
68 C1a C 18.4559 -24.8953
69 O5a O 17.1492 -27.2285
70 C1b C 11.2695 -21.7688
71 O1a O 10.2429 -22.6554
BOND 74
1 2 1 1 #Down
2 2 3 1
3 2 4 1
4 3 5 1
5 3 6 1 #Up
6 4 7 1
7 4 8 1 #Up
8 5 9 1
9 6 10 1
10 7 11 1 #Down
11 9 12 1 #Up
12 12 13 1
13 13 14 1
14 14 15 1
15 14 16 1 #Down
16 15 17 1
17 15 18 1 #Up
18 16 19 1
19 17 20 2
20 19 21 2
21 19 22 1
22 20 23 1
23 23 24 1
24 24 25 1
25 25 26 1
26 26 27 1
27 27 28 1
28 28 29 1
29 29 30 1
30 30 31 1
31 31 32 1
32 32 33 1
33 33 34 1
34 34 35 1
35 7 9 1
36 36 37 1
37 36 38 1
38 36 39 1 #Up
39 37 40 1
40 37 41 1 #Up
41 38 42 1
42 39 43 1
43 40 44 1
44 40 45 1 #Up
45 42 1 1 #Up
46 44 46 1 #Down
47 42 44 1
48 47 48 1
49 47 49 1
50 47 50 1 #Up
51 48 51 1
52 48 52 1 #Up
53 49 53 1
54 50 54 1
55 51 55 1
56 51 56 1 #Up
57 53 45 1 #Down
58 55 57 1 #Down
59 53 55 1
60 58 59 1
61 58 60 1
62 58 61 1 #Down
63 59 62 1
64 59 63 1 #Up
65 60 64 1
66 60 56 1 #Up
67 61 65 1
68 62 66 1
69 62 67 1 #Up
70 65 68 1
71 65 69 2
72 66 70 1 #Up
73 70 71 1
74 64 66 1
|