| Entry |
|
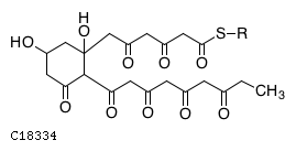
| Name |
7,9,12-Decaketide intermediate 2
|
| Formula |
C20H23O10SR
|
| Structure |

|
| Comment |
Generic compound in reaction hierarchy
|
| Reaction |
|
| Pathway |
| map01056 | Biosynthesis of type II polyketide backbone |
| map01110 | Biosynthesis of secondary metabolites |
|
| Module |
| M00778 | Type II polyketide backbone biosynthesis, acyl-CoA + malonyl-CoA => polyketide |
|
| Enzyme |
1.1.1.- 4.2.1.-
|
| Other DBs |
|
| LinkDB |
|
| KCF data |
ATOM 32
1 C1y C 18.9000 -15.9600
2 C1x C 18.9000 -17.2900
3 C5x C 20.0900 -18.0600
4 C1y C 21.2800 -17.2900
5 C1z C 21.2800 -15.9600
6 C1x C 20.0900 -15.2600
7 C5a C 23.0300 -18.4100
8 C1b C 24.2200 -17.7100
9 C5a C 25.3400 -18.4100
10 C1b C 26.5300 -17.7100
11 C1b C 22.8900 -14.7000
12 C5a C 24.0800 -15.4000
13 C1b C 25.2700 -14.7000
14 C5a C 26.3900 -15.4000
15 C1b C 27.5800 -14.7000
16 C5a C 28.7700 -15.4000
17 S2a S 29.9600 -14.7000
18 O5a O 23.0300 -19.7400
19 O5x O 20.0900 -19.3900
20 O5a O 25.3400 -19.7400
21 O5a O 24.0800 -16.5900
22 O5a O 26.3900 -16.5900
23 O5a O 28.7700 -16.5900
24 R R 31.3600 -14.7000
25 O1a O 17.6847 -15.2649
26 O1a O 21.2800 -14.5600
27 C5a C 27.7481 -18.4001
28 C1b C 28.9295 -17.7050
29 C5a C 30.1349 -18.3880
30 C1a C 31.3061 -17.6991
31 O5a O 27.6898 -19.8094
32 O5a O 30.0769 -19.8092
BOND 32
1 1 2 1
2 2 3 1
3 3 4 1
4 4 5 1
5 5 6 1
6 1 6 1
7 4 7 1
8 7 8 1
9 8 9 1
10 9 10 1
11 5 11 1
12 11 12 1
13 12 13 1
14 13 14 1
15 14 15 1
16 15 16 1
17 16 17 1
18 7 18 2
19 3 19 2
20 9 20 2
21 12 21 2
22 14 22 2
23 16 23 2
24 17 24 1
25 1 25 1
26 5 26 1
27 10 27 1
28 27 28 1
29 28 29 1
30 29 30 1
31 27 31 2
32 29 32 2
|