| Entry |
|
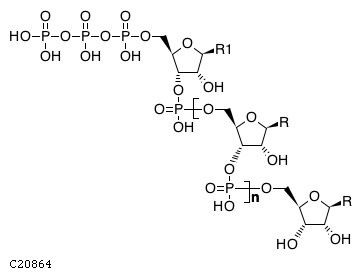
| Name |
5'-Triphospho-[mRNA];
(5')pppPur-mRNA
|
| Formula |
C10H20O19P4R(R1)(C5H8O6PR)n
|
| Structure |

|
| Comment |
Generic compound in reaction hierarchy
R1 = adenine or guanine base
|
| Reaction |
|
| Enzyme |
|
| Other DBs |
|
| LinkDB |
|
| KCF data |
ATOM 48
1 C1y C 21.1206 -17.2260
2 C1y C 20.7227 -15.9928
3 C1y C 22.4490 -17.2260
4 O2b O 20.2071 -18.9130
5 O2x O 21.7652 -15.2307
6 C1b C 20.0895 -14.6758
7 C1y C 22.8190 -16.0097
8 O1a O 23.2168 -18.2684
9 P1b P 20.2071 -20.2188
10 O2b O 18.7892 -14.6758
11 R R 24.0744 -15.6174
12 O2b O 22.7908 -20.2300
13 O1c O 20.2071 -21.5081
14 O1c O 18.9068 -20.2188
15 P1b P 16.6368 -14.6758
16 C1b C 24.2481 -20.2300
17 O2b O 16.6368 -13.3812
18 O1c O 16.6368 -15.9761
19 O1c O 15.3365 -14.6758
20 C1y C 25.1393 -21.5303
21 C1y C 16.6368 -12.0864
22 C1y C 25.5484 -22.7635
23 O2x O 26.1817 -20.7737
24 C1y C 16.2334 -10.8477
25 C1y C 17.9653 -12.0864
26 C1y C 26.8712 -22.7635
27 O1a O 24.6573 -24.1646
28 C1y C 27.2466 -21.5472
29 O2x O 17.2815 -10.0911
30 C1b C 15.6168 -9.6035
31 C1y C 18.3352 -10.8646
32 O1a O 18.7331 -13.1289
33 O1a O 27.6445 -23.8058
34 R R 28.4909 -21.1493
35 O2b O 14.3222 -9.6035
36 Z R# 19.5849 -10.4778
37 P1b P 12.9222 -9.6035
38 O1c O 12.9222 -8.2035
39 O1c O 12.9222 -11.0035
40 O2c O 11.5222 -9.6035
41 P1b P 10.1222 -9.6035
42 O2c O 8.7222 -9.6035
43 O1c O 10.1222 -8.2035
44 O1c O 10.1222 -11.0035
45 P1b P 7.3222 -9.6035
46 O1c O 7.3222 -8.2035
47 O1c O 5.9222 -9.6035
48 O1c O 7.3222 -11.0035
BOND 50
1 1 2 1
2 1 3 1
3 1 4 1 #Down
4 2 5 1
5 2 6 1 #Up
6 3 7 1
7 3 8 1 #Down
8 4 9 1
9 6 10 1
10 7 11 1 #Up
11 9 12 1
12 9 13 1
13 9 14 2
14 10 15 1
15 12 16 1
16 15 17 1
17 15 18 1
18 15 19 2
19 20 16 1 #Up
20 21 17 1 #Down
21 20 22 1
22 20 23 1
23 21 24 1
24 21 25 1
25 22 26 1
26 22 27 1 #Down
27 23 28 1
28 24 29 1
29 24 30 1 #Up
30 25 31 1
31 25 32 1 #Down
32 26 33 1 #Down
33 28 34 1 #Up
34 30 35 1
35 31 36 1 #Up
36 5 7 1
37 26 28 1
38 29 31 1
39 35 37 1
40 37 38 2
41 37 39 1
42 37 40 1
43 40 41 1
44 41 42 1
45 41 43 2
46 41 44 1
47 42 45 1
48 45 46 2
49 45 47 1
50 45 48 1
BRACKET 1 18.0600 -15.3300 18.0600 -13.9300
1 21.2800 -19.7400 21.2800 -21.2100
1 n
ORIGINAL 1 1 2 3 4 5 6 7 8 9 10 11 13 14
REPEAT 1
|