| Entry |
|
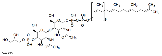
| Name |
4-O-[(2R)-1-Glycerophospho]-N-acetyl-beta-D-mannosaminyl-(1->4)-N-acetyl-alpha-D-glucosaminyl-diphospho-ditrans,octacis-undecaprenol
|
| Formula |
C74H125N2O22P3
|
| Exact mass |
1486.7937
|
| Mol weight |
1487.70
|
| Structure |

|
| Remark |
|
| Reaction |
|
| Pathway |
|
| Enzyme |
|
| Brite |
Lipids [BR:br08002]
PR Prenol lipids
PR03 Polyprenols
PR0303 Bactoprenol diphosphates
C21464 4-O-[(2R)-1-Glycerophospho]-N-acetyl-beta-D-mannosaminyl-(1->4)-N-acetyl-alpha-D-glucosaminyl-diphospho-ditrans,octacis-undecaprenol
|
| Other DBs |
|
| LinkDB |
|
| KCF data |
ATOM 101
1 C1b C 33.3200 -13.9300
2 C1b C 32.2700 -14.6300
3 C2c C 31.0100 -13.9300
4 C1a C 31.0100 -12.5300
5 C1b C 29.8200 -16.0300
6 C2b C 29.8200 -14.6300
7 O2b O 28.0700 -17.0800
8 C1a C 47.0400 -14.6300
9 C2c C 45.7800 -13.9300
10 C2b C 44.5200 -14.6300
11 C1a C 45.7800 -12.5300
12 C1b C 43.2600 -13.9300
13 C1b C 42.0700 -14.6300
14 C2c C 40.8100 -13.9300
15 C2b C 39.5500 -14.6300
16 C1a C 40.8100 -12.5300
17 C1b C 38.2900 -13.9300
18 C1b C 37.1000 -14.6300
19 C2c C 35.8400 -13.9300
20 C2b C 34.5800 -14.6300
21 C1a C 35.8400 -12.5300
22 P1b P 26.6000 -17.0800
23 O2c O 25.1300 -17.0800
24 O1c O 26.6000 -15.6100
25 O1c O 26.6000 -18.5500
26 P1b P 23.6600 -17.0800
27 O2b O 22.1900 -17.0800
28 O1c O 23.6600 -15.6100
29 O1c O 23.6600 -18.5500
30 C1y C 20.9776 -17.7800
31 O2x O 19.7821 -17.0896
32 C1y C 18.5696 -17.7895
33 C1y C 18.5694 -19.1895
34 C1y C 19.7649 -19.8799
35 C1y C 20.9774 -19.1800
36 C1b C 17.3571 -17.0895
37 O1a O 19.7649 -21.2799
38 O2a O 17.3570 -19.8895
39 N1b N 22.1898 -19.8800
40 C5a C 22.1898 -21.2800
41 O5a O 20.9774 -21.9800
42 C1a C 23.4023 -21.9800
43 C1y C 16.1446 -20.5895
44 O2x O 14.9474 -19.8980
45 C1y C 13.7348 -20.5978
46 C1y C 13.7345 -21.9978
47 C1y C 14.9317 -22.6893
48 C1y C 16.1443 -21.9895
49 C1b C 12.5224 -19.8978
50 O1a O 14.9317 -24.0893
51 N1b N 17.3567 -22.6895
52 O2b O 12.5221 -22.6978
53 O1a O 12.5224 -18.4978
54 C5a C 17.3567 -24.0895
55 O5a O 16.1443 -24.7895
56 C1a C 18.5692 -24.7895
57 O1a O 17.3571 -15.6895
58 P1b P 11.1221 -22.6978
59 O1c O 11.1221 -21.2978
60 O1c O 11.1221 -24.0978
61 O2b O 9.7221 -22.6978
62 C1b C 8.5176 -23.3800
63 C1c C 7.3051 -22.6800
64 C1b C 6.0927 -23.3800
65 O1a O 4.8803 -22.6800
66 O1a O 7.3051 -21.2802
67 C1b C 32.2700 -14.6300
68 C2c C 31.0100 -13.9300
69 C1a C 31.0100 -12.5300
70 C1b C 29.8200 -16.0300
71 C2b C 29.8200 -14.6300
72 C1b C 32.2700 -14.6300
73 C2c C 31.0100 -13.9300
74 C1a C 31.0100 -12.5300
75 C1b C 29.8200 -16.0300
76 C2b C 29.8200 -14.6300
77 C1b C 32.2700 -14.6300
78 C2c C 31.0100 -13.9300
79 C1a C 31.0100 -12.5300
80 C1b C 29.8200 -16.0300
81 C2b C 29.8200 -14.6300
82 C1b C 32.2700 -14.6300
83 C2c C 31.0100 -13.9300
84 C1a C 31.0100 -12.5300
85 C1b C 29.8200 -16.0300
86 C2b C 29.8200 -14.6300
87 C1b C 32.2700 -14.6300
88 C2c C 31.0100 -13.9300
89 C1a C 31.0100 -12.5300
90 C1b C 29.8200 -16.0300
91 C2b C 29.8200 -14.6300
92 C1b C 32.2700 -14.6300
93 C2c C 31.0100 -13.9300
94 C1a C 31.0100 -12.5300
95 C1b C 29.8200 -16.0300
96 C2b C 29.8200 -14.6300
97 C1b C 32.2700 -14.6300
98 C2c C 31.0100 -13.9300
99 C1a C 31.0100 -12.5300
100 C1b C 29.8200 -16.0300
101 C2b C 29.8200 -14.6300
BOND 102
1 12 13 1
2 13 14 1
3 14 15 2
4 14 16 1
5 15 17 1
6 10 12 1
7 8 9 1
8 9 10 2
9 17 18 1
10 18 19 1
11 19 20 2
12 19 21 1
13 20 1 1
14 9 11 1
15 7 22 1
16 22 23 1
17 22 24 1
18 22 25 2
19 23 26 1
20 26 27 1
21 26 28 1
22 26 29 2
23 30 27 1 #Down
24 30 31 1
25 31 32 1
26 32 33 1
27 33 34 1
28 34 35 1
29 30 35 1
30 32 36 1 #Up
31 34 37 1 #Up
32 33 38 1 #Down
33 35 39 1 #Down
34 39 40 1
35 40 41 2
36 40 42 1
37 43 38 1 #Up
38 43 44 1
39 44 45 1
40 45 46 1
41 46 47 1
42 47 48 1
43 43 48 1
44 45 49 1 #Up
45 47 50 1 #Up
46 48 51 1 #Up
47 46 52 1 #Down
48 49 53 1
49 51 54 1
50 54 55 2
51 54 56 1
52 36 57 1
53 52 58 1
54 58 59 2
55 58 60 1
56 58 61 1
57 61 62 1
58 62 63 1
59 63 64 1
60 64 65 1
61 63 66 1 #Up
62 1 2 1
63 3 4 1
64 3 2 1
65 5 6 1
66 6 3 2
67 5 67 1
68 68 69 1
69 68 67 1
70 70 71 1
71 71 68 2
72 70 72 1
73 73 74 1
74 73 72 1
75 75 76 1
76 76 73 2
77 75 77 1
78 78 79 1
79 78 77 1
80 80 81 1
81 81 78 2
82 80 82 1
83 83 84 1
84 83 82 1
85 85 86 1
86 86 83 2
87 85 87 1
88 88 89 1
89 88 87 1
90 90 91 1
91 91 88 2
92 90 92 1
93 93 94 1
94 93 92 1
95 95 96 1
96 96 93 2
97 95 97 1
98 98 99 1
99 98 97 1
100 100 101 1
101 101 98 2
102 100 7 1
BRACKET 1 29.5400 -17.1500 29.5400 -11.9000
1 32.4800 -11.9000 32.4800 -17.1500
1 8
ORIGINAL 1 2 3 4 5 6
REPEAT 1 67 68 69 70 71 72 73 74 75 76 77 78 79 80 81 82
1 83 84 85 86 87 88 89 90 91 92 93 94 95 96 97 98
1 99 100 101
|