KEGG   COMPOUND: C22237
Entry
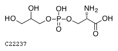
C22237                      Compound                               
Name
Glycerophosphoserine
Formula
C6H14NO8P
Exact mass
259.0457
Mol weight
259.15
Structure
Reaction
Enzyme
Other DBs
CAS: 26289-09-8
PubChem: 405226428
LinkDB
KCF data

ATOM        16
            1   O1c O    18.6437  -15.5136
            2   P1b P    18.6373  -16.9204
            3   O2b O    17.2303  -16.9204
            4   O1c O    18.6308  -18.3211
            5   O2b O    20.0444  -16.9204
            6   C1b C    21.2588  -17.5903
            7   C1c C    22.4724  -16.8897
            8   C6a C    23.6859  -17.5903
            9   O6a O    24.8993  -16.8897
            10  N1a N    22.4724  -15.4887
            11  O6a O    23.6859  -18.9915
            12  C1b C    16.0295  -17.5903
            13  C1c C    14.8160  -16.8897
            14  C1b C    13.6025  -17.5903
            15  O1a O    12.3891  -16.8897
            16  O1a O    14.8160  -15.4887
BOND        15
            1     1   2 1
            2     2   3 1
            3     2   4 2
            4     2   5 1
            5     5   6 1
            6     6   7 1
            7     7   8 1
            8     8   9 1
            9     7  10 1 #Down
            10    8  11 2
            11    3  12 1
            12   12  13 1
            13   13  14 1
            14   14  15 1
            15   13  16 1

» Japanese version

DBGET integrated database retrieval system