KEGG   ORTHOLOGY: K01241
Entry
K01241                      KO                                     
Symbol
amn
Name
AMP nucleosidase [EC:3.2.2.4]
Pathway
map00230  Purine metabolism
map01100  Metabolic pathways
map01232  Nucleotide metabolism
Reaction
R00182  AMP phosphoribohydrolase
Brite
KEGG Orthology (KO) [BR:ko00001]
 09100 Metabolism
  09104 Nucleotide metabolism
   00230 Purine metabolism
    K01241  amn; AMP nucleosidase
Enzymes [BR:ko01000]
 3. Hydrolases
  3.2  Glycosylases
   3.2.2  Hydrolysing N-glycosyl compounds
    3.2.2.4  AMP nucleosidase
     K01241  amn; AMP nucleosidase
Other DBs
COG: COG0775
GO: 0008714
Genes
ECO: b1982(amn)
ECJ: JW1963(amn)
ECD: ECDH10B_2126(amn)
EBW: BWG_1779(amn)
ECOK: ECMDS42_1610(amn)
ECOC: C3026_11190
ECE: Z3139(amn)
ECS: ECs_2779(amn)
ECF: ECH74115_2824(amn)
ETW: ECSP_2644(amn)
EOI: ECO111_2630(amn)
EOJ: ECO26_2875(amn)
EOH: ECO103_2446(amn)
ECOO: ECRM13514_2613(amn)
ECOH: ECRM13516_2541(amn)
ESL: O3K_09645
ESO: O3O_15980
ESM: O3M_09610
ECK: EC55989_2219(amn)
ECG: E2348C_2089(amn)
EOK: G2583_2491(amn)
ELH: ETEC_2095
ECW: EcE24377A_2264(amn)
EUN: UMNK88_2504(amn)
ECP: ECP_1955
ECOS: EC958_2301
ECV: APECO1_1068(amn)
ECX: EcHS_A2105(amn)
ECM: EcSMS35_1143(amn)
ECY: ECSE_2268
ECR: ECIAI1_2064(amn)
ECQ: ECED1_2288(amn)
EUM: ECUMN_2320(amn)
ECT: ECIAI39_1063(amn)
EOC: CE10_2273(amn)
EBR: ECB_01894(amn)
EBL: ECD_01894(amn)
EBE: B21_01883(amn)
EBD: ECBD_1664
ECI: UTI89_C2195(amn)
EIH: ECOK1_2159(amn)
ECZ: ECS88_2050(amn)
ECC: c2444(amn)
ELO: EC042_2223(amn)
ESE: ECSF_1841
EKF: KO11_12825(amn)
EAB: ECABU_c22520(amn)
EDJ: ECDH1ME8569_1920(amn)
ELW: ECW_m2154(amn)
ELL: WFL_10555(amn)
ELC: i14_2253(amn)
ELD: i02_2253(amn)
ELF: LF82_0084(amn)
ECOI: ECOPMV1_02082(amn)
ECOJ: P423_11115
EFE: EFER_1983(amn)
EAL: EAKF1_ch4028c(amn)
EMA: C1192_02025(amn)
ESZ: FEM44_24820(amn)
ERUY: OSH18_00680(amn)
ESF: ACK8NJ_09310(amn)
STY: STY2211
STT: t0868(amn)
STM: STM2009(amn)
SEO: STM14_2495(amn)
SEY: SL1344_1986(amn)
SEJ: STMUK_2039(amn)
SEB: STM474_2092(amn)
SEF: UMN798_2175(amn)
SENR: STMDT2_19831(amn)
SEND: DT104_20681(amn)
SENI: CY43_10860
SPT: SPA0864(amn)
SEK: SSPA0807
SEI: SPC_1711(amn)
SEC: SCH_2017(amn)
SEH: SeHA_C2231(amn)
SHB: SU5_02606
SEE: SNSL254_A2179(amn)
SEW: SeSA_A2167(amn)
SEA: SeAg_B2112(amn)
SENS: Q786_09840
SED: SeD_A2344(amn)
SEG: SG2034(amn)
SEL: SPUL_0889(amn)
SEGA: SPUCDC_0889(amn)
SET: SEN2007(amn)
SENA: AU38_10125
SENO: AU37_10135
SENV: AU39_10135
SENQ: AU40_11380
SENL: IY59_10410
SEEP: I137_04030
SENB: BN855_20960(amn)
SENE: IA1_09990
SBG: SBG_1843(amn)
SBZ: A464_2168
SFL: SF2053(amn)
SFX: S2160(amn)
SFV: SFV_2053(amn)
SFE: SFxv_2287(amn)
SFN: SFy_2929
SFS: SFyv_3000
SFT: NCTC1_02241(amn)
SSN: SSON_2047(amn)
SBC: SbBS512_E0986(amn)
SDY: SDY_2253(amn)
SHIG: LXH19_09070(amn)
ENC: ECL_03327
ECLX: LI66_14345
ECLY: LI62_15700
ECLZ: LI64_13735
ECLO: ENC_41600
EEC: EcWSU1_02932(amn)
ENHK: EnteroDNA1_01258(amn)
ESA: ESA_01220
CSK: ES15_1454(amn)
CTU: CTU_26940(amn)
KPN: KPN_02445(amn)
KPU: KP1_3572(amn)
KPP: A79E_1760
KPT: VK055_5132(amn)
KPR: KPR_3396(amn)
KPJ: N559_1815
KPX: PMK1_04810(amn)
KPNU: LI86_09005
KPNK: BN49_3643(amn)
KVA: Kvar_1644
KPE: KPK_1745(amn)
KOX: KOX_24315
KOE: A225_3762
EAE: EAE_23205
EAR: CCG29319
REE: electrica_01743(amn)
RTG: NCTC13098_02439(amn)
CRO: ROD_20941(amn)
CKO: CKO_00848
CAMA: F384_10040
EBT: EBL_c15230(amn)
CLAP: NCTC11466_01570(amn)
KIE: NCTC12125_00680(amn_2)
KAS: KATP_16290(amn)
AHN: NCTC12129_03307(amn_1)
METY: MRY16398_19140(amn)
PSGC: G163CM_06540(amn)
EBF: D782_1645
EBB: F652_1290
YPE: YPO2288(amn)
YPK: y2119(amn)
YPH: YPC_1910
YPA: YPA_1637
YPN: YPN_1749
YPM: YP_2074(amn)
YPZ: YPZ3_1584(amn)
YPD: YPD4_2002(amn)
YPX: YPD8_1394(amn)
YPW: CH59_3813(amn)
YPJ: CH55_368(amn)
YPV: BZ15_1237(amn)
YPL: CH46_2816(amn)
YPS: YPTB2211(amn)
YPO: BZ17_249(amn)
YPI: YpsIP31758_1846(amn)
YPY: YPK_1955
YPB: YPTS_2289
YPQ: DJ40_95(amn)
YPU: BZ21_1492(amn)
YPR: BZ20_4039(amn)
YPC: BZ23_1779(amn)
YPF: BZ19_1570(amn)
YEN: YE2052(amn)
YEY: Y11_09411
YEW: CH47_1488(amn)
YET: CH48_3769(amn)
YEE: YE5303_19001(amn)
YAL: AT01_409(amn)
YFR: AW19_1264(amn)
YIN: CH53_4001(amn)
YKR: CH54_398(amn)
YRO: CH64_595(amn)
YRU: BD65_345(amn)
SMAR: SM39_2627(amn)
SMAC: SMDB11_2397(amn)
SMW: SMWW4_v1c31780(amn)
SPE: Spro_3127
SRL: SOD_c29480(amn)
SPLY: Q5A_016350(amn)
SMAF: D781_2948
SERF: L085_12685
SOF: NCTC11214_03544(amn)
SGRI: SGBXF1_03157(amn)
SERT: TAN611_3161(amn)
RAA: Q7S_07775
ECA: ECA1547(amn)
PATR: EV46_07825
PATO: GZ59_15850(amn)
PCT: PC1_1423
PEC: W5S_1736
PVZ: OA04_28560(amn)
PARL: PEC302110_13930(amn)
DDD: Dda3937_00834(amn)
DDQ: DDI_1146
DAQ: DAQ1742_02917(amn)
SOD: Sant_2286
EAM: EAMY_2195(amn)
EAY: EAM_2118(amn)
ETA: ETA_13720(amn)
EPY: EpC_14420(amn)
EPR: EPYR_01541(amn)
EBI: EbC_28650(amn)
ERJ: EJP617_32520(amn)
EGE: EM595_2278(amn)
PAM: PANA_2375(amn)
PLF: PANA5342_1719(amn)
PAJ: PAJ_1676(amn)
PVA: Pvag_1827(amn)
PSTW: DSJ_11760
MINT: C7M51_01813(amn)
MTHI: C7M52_00995(amn)
PMAK: PMPD1_2707
PMR: PMI1220(amn)
PMIB: BB2000_1228(amn)
PHAU: PH4a_15615
PSI: S70_20710
PSX: DR96_3042(amn)
PRG: RB151_021890(amn)
PHEI: NCTC12003_02100(amn)
PRJ: NCTC6933_01889(amn)
ETD: ETAF_1691
ETE: ETEE_3921(amn)
ETR: ETAE_1877
LRI: NCTC12151_01742(amn)
SML: Smlt3963
SMT: Smal_3372
SMZ: SMD_3561(amn)
SINC: DAIF1_34940(amn)
STEO: PEM_14445
LEZ: GLE_4802
LEM: LEN_0483
DKO: I596_144
PRE: PCA10_08250(amn)
POJ: PtoMrB4_09630(amn)
PLAL: FXN65_03775(amn)
PAE: PA3970(amn)
PAEV: N297_4100(amn)
PAEI: N296_4100(amn)
PAG: PLES_10051(amn)
PAF: PAM18_0969(amn)
PAEP: PA1S_04975
PAEM: U769_04985
PAEL: T223_04925
PAEU: BN889_04415(amn)
PAEG: AI22_28640
PAEC: M802_4098(amn)
PAEO: M801_3966(amn)
SECH: B18_02895
PCQ: PcP3B5_09230(amn)
PMUI: G4G71_28615(amn)
PNT: G5B91_04155(amn)
PAP: PSPA7_1138(amn)
PPAA: B7D75_04890(amn)
PPU: PP_4779(amn)
PPF: Pput_4655
PPT: PPS_4619
PPI: YSA_03670
PPX: T1E_4925(amn)
PPUH: B479_23345
PPUT: L483_29005
PPUN: PP4_48450(amn)
PPUD: DW66_5010
PMON: X969_22780
PMOT: X970_22415
PMOL: CLJ08_16025(amn)
PALD: LU682_026085(amn)
PIX: RIN61_08640(amn)
PSB: Psyr_4337
PSYR: N018_22490
PSP: PSPPH_4379(amn)
PAMG: BKM19_025460(amn)
PAVL: BKM03_25195(amn)
PVD: CFBP1590__4679(amn)
PCAB: JGS08_02810(amn)
PCOF: POR16_03330(amn)
PTRE: I9H09_20590(amn)
PSYI: MME58_22250(amn)
PAST: N015_23035(amn)
PLIJ: KQP88_21135(amn)
PFUV: NLK61_09590(amn)
PFL: PFL_5424(amn)
PPRC: PFLCHA0_c53940(amn)
PPRO: PPC_5393
PFE: PSF113_5131(amn)
PZA: HU749_026055(amn)
PFO: Pfl01_4942(amn)
PFS: PFLU_5396(amn)
PFC: PflA506_4682(amn)
PFB: VO64_2261
PMAN: OU5_4241
PRX: HRH33_23510(amn)
PMED: E3Z27_24590(amn)
PMUD: NCTC8068_04616(amn)
PTOL: I7845_25315(amn)
PMAB: U0037_27085(amn)
PBRE: QDY63_25770(amn)
PFW: PF1751_v1c48120(amn)
PEN: PSEEN4799(amn)
PLUL: FOB45_21375(amn)
PPUU: PputUW4_04755(amn)
PKC: PKB_0804(amn)
PCHP: C4K32_5502
PSES: PSCI_2603
PSEM: TO66_27485
PSEC: CCOS191_4733(amn)
PSOS: POS17_5382
PANR: A7J50_5111
PSET: THL1_875
PSIL: PMA3_02755
PKE: DLD99_25145(amn)
PUM: HGP31_27500(amn)
PPSH: G5J76_06025(amn)
PGY: AWU82_16845(amn)
PSEJ: HNQ25_05815(amn)
PVK: EPZ47_25955(amn)
PEZ: HWQ56_25270(amn)
PBZ: GN234_22210(amn)
PMAO: PMYSY11_3506(amn)
PATA: JWU58_04370(amn)
PDW: BV82_4908(amn)
PZE: HU754_026410(amn)
PMOE: HV782_025500(amn)
PSEP: C4K39_4225
PPII: QL104_27575(amn)
PVW: HU752_004705(amn)
PTRT: HU722_0025895(amn)
PXA: KSS93_06450(amn)
PSAM: HU731_012040(amn)
PTZ: HU718_026690(amn)
PQI: KH389_23490(amn)
PSHH: HU773_024385(amn)
PXN: HU772_003160(amn)
PHV: HU739_025375(amn)
PPRG: HU725_002935(amn)
PANH: HU763_021370(amn)
PASG: KSS96_25140(amn)
PFAK: KSS94_03315(amn)
PMUY: KSS95_24505(amn)
PMAM: KSS90_03205(amn)
PAZE: KSS91_25285(amn)
PALV: KSS97_25280(amn)
PCAS: LOY40_25165(amn)
PORY: EJA05_03440(amn)
PWZ: J7655_19215(amn)
PTK: EXN22_24140(amn)
PTW: TUM18999_09950(amn)
PIE: HU724_024640(amn)
PWY: HU734_022865(amn)
PTAE: NCTC10697_00647(amn)
PGF: J0G10_27020(amn)
PCAV: D3880_19395(amn)
PJU: L1P09_22065(amn)
PPHN: HU825_02605(amn)
PIZ: LAB08_R53480(amn)
PPEG: KUA23_26280(amn)
PSII: NF676_23590(amn)
PSIH: LOY51_03460(amn)
PFIT: KJY40_26460(amn)
PASI: LG197_01565(amn)
PKM: PZ739_24590(amn)
PNB: NK667_31670(amn)
PSOA: PSm6_29620(amn)
PTAI: ICN73_09815(amn)
PKK: QQ992_24850(amn)
PHYG: JTY93_23110(amn)
PHOM: KJF94_22860(amn)
PCUC: PSH97_24380(amn)
PTRL: OU419_03960(amn)
PPAE: LDL65_07400(amn)
PPAO: K3169_26510(amn)
PRHZ: CRX69_07705(amn)
PSKU: KUIN1_43350(amn)
PSHS: JJN09_22445(amn)
PHEF: PSH57_03680(amn)
PLIS: NN484_12675(amn)
PLAU: I0D68_12790(amn)
PSNC: C0058_28450(amn)
PFOU: OZ911_25535(amn)
PBEJ: PSH84_24725(amn)
PKV: QYQ93_25550(amn)
PSMT: MT1_0977
PSKP: KU43P_46970(amn)
PBAM: NUH87_21185(amn)
PDEU: QEP73_01890(amn)
PQE: OSC50_02440(amn)
PBEN: V6W80_05465(amn)
PSDT: NH234_26070(amn)
PBEZ: SBP02_17300(amn)
PCAA: V6L78_07280(amn)
PBUB: V6B39_07175(amn)
PSML: V6P94_06320(amn)
PSMZ: V6L79_06195(amn)
PSIV: LZ023_08225(amn)
PSWO: SD196_03710(amn)
PMOR: PMm318_A04930(amn)
PTHV: CE140_24325(amn)
PSSX: DCC84_29840(amn)
PSNS: CI807_02400(amn)
PSRU: CCX46_26130(amn)
PSNY: ACPFMA_03680(amn)
PSMD: K5R88_17020(amn)
PIM: OQ460_22045(amn)
PBAB: AAEO81_04005(amn)
PSYQ: HXW90_27615(amn)
PMY: Pmen_3750
PMK: MDS_4068
PPSE: BN5_0779
PALL: UYA_19610
PKH: JLK41_20875(amn)
PTY: JWV26_05860(amn)
PHF: NLY38_21230(amn)
PCHE: QYM18_03440(amn)
PSA: PST_3742(amn)
PSR: PSTAA_3833(amn)
PSTT: CH92_18620
PSED: DM292_00530(amn)
PCHL: LLJ08_02635(amn)
PKG: LW136_02630(amn)
SDEG: GOM96_07990(amn)
PZD: KQ248_07855(amn)
HPEG: EAO82_19000(amn)
HAES: LO767_00860(amn)
PDEN: F1C79_29010(amn)
HARR: HV822_10935(amn)
PNN: KEM63_02545(amn)
HASM: QAO71_14025(amn)
PCAM: HNE05_14750(amn)
PBAU: OS670_15315(amn)
GAI: IMCC3135_08045(amn)
SALN: SALB1_1657
PSE: NH8B_2451
JES: JHS3_23240(amn)
RSO: RSp0214(amn)
RSE: F504_3652
RSL: RPSI07_mp0158(amn)
RSN: RSPO_m00199(amn)
RSM: CMR15_mp10181(amn)
RPI: Rpic_3922
RIN: ACS15_5640(amn)
REH: H16_B0070(amn)
CNC: CNE_2c00640(amn)
RME: Rmet_5885(amn)
CTI: RALTA_B0070(amn)
CGD: CR3_3047(amn)
BMA: BMAA0309(amn)
BMV: BMASAVP1_1489(amn)
BML: BMA10229_1684(amn)
BMN: BMA10247_A0341(amn)
BMAZ: BM44_3387(amn)
BMAL: DM55_3425(amn)
BMAE: DM78_4732(amn)
BMAQ: DM76_4122(amn)
BMAI: DM57_13900
BMAF: DM51_4045(amn)
BMAB: BM45_4223(amn)
BPS: BPSS1777(amn)
BPM: BURPS1710b_A0857(amn)
BPL: BURPS1106A_A2416(amn)
BPD: BURPS668_A2553(amn)
BPR: GBP346_B1855(amn)
BPSE: BDL_5175(amn)
BPSM: BBQ_4358(amn)
BPSU: BBN_5238(amn)
BPSD: BBX_4341(amn)
BPZ: BP1026B_II1907(amn)
BPK: BBK_4504(amn)
BPSH: DR55_3486(amn)
BPSA: BBU_4238(amn)
BPSO: X996_5763(amn)
BUT: X994_5324(amn)
BTE: BTH_II0602(amn)
BTQ: BTQ_3896(amn)
BTJ: BTJ_4929(amn)
BTZ: BTL_5720(amn)
BTD: BTI_5212(amn)
BTV: BTHA_4488(amn)
BTHE: BTN_5384(amn)
BTHM: BTRA_5659(amn)
BTHA: DR62_5521
BTHL: BG87_3351(amn)
BOK: DM82_6048(amn)
BOC: BG90_4617(amn)
BSAV: WS86_27985
BVE: AK36_4453(amn)
BCJ: BCAM0901
BCEN: DM39_4280(amn)
BCEW: DM40_3878(amn)
BCEO: I35_4814
BAM: Bamb_3237
BMJ: BMULJ_03639(amn)
BMU: Bmul_4876
BMK: DM80_4047(amn)
BMUL: NP80_3835(amn)
BCT: GEM_4883
BCED: DM42_4186(amn)
BDL: AK34_4550(amn)
BCON: NL30_07850
BUB: BW23_4636(amn)
BLAT: WK25_21980
BTEI: WS51_02780
BSEM: WJ12_24470
BPSL: WS57_09560
BMEC: WJ16_23465
BSTG: WT74_23685
BGU: KS03_4324(amn)
BGO: BM43_5814(amn)
BUK: MYA_3953
BUL: BW21_4749(amn)
BGP: BGL_2c21610(amn)
BURT: BTHE68_28250(amn)
BXE: Bxe_B2838
BXB: DR64_5167(amn)
BPH: Bphy_4414
BFN: OI25_5250(amn)
PDIO: PDMSB3_0216.1(amn)
PLAD: PPGU16_51550(amn)
PPNO: DA70_10635
PPNM: LV28_20425
PPUL: RO07_14765
PSPU: NA29_22420
PAPI: SG18_14590
PANN: PanNE5_03960(amn)
PLG: NCTC10937_04759(amn)
MYCO: MPB2EB_0804(amn)
CABA: SBC2_56790(amn)
BUO: BRPE64_BCDS12240(amn)
CABK: NK8_31100
BPE: BP1583(amn)
BPC: BPTD_1565(amn)
BPET: B1917_1506(amn)
BPEU: Q425_17630(amn)
BPAR: BN117_2700(amn)
BPA: BPP3000(amn)
BBH: BN112_0768(amn)
BBR: BB2966(amn)
BBM: BN115_2182(amn)
BBX: BBS798_2795(amn)
BPT: Bpet2253(amn)
BAV: BAV1952(amn)
BHO: D560_3668(amn)
BHM: D558_3640
BHZ: ACR54_02212(amn)
BTRM: SAMEA390648703169(amn)
AXY: AXYL_03359(amn)
AXX: ERS451415_02689(amn)
PUT: PT7_3009
AMIM: MIM_c12390(amn)
AFQ: AFA_00590
ODI: ODI_R3071
RFR: Rfer_3569
POL: Bpro_0642
PNA: Pnap_3545
PVAC: HC248_00361(amn)
AJS: Ajs_3709
ACRA: BSY15_1961(amn)
ACIQ: ACDW_06310
AAV: Aave_4246
AAA: Acav_4136
VEI: Veis_1155
DAC: Daci_1201
CTES: O987_25600
CTEZ: CT3_37420(amn)
RTA: Rta_34610(amn)
LIH: L63ED372_00084(amn)
LIMI: LINBF2_02450(amn)
LIMT: LTEGF4_02350(amn)
LIMM: LMORI2_02460(amn)
HYR: BSY239_270(amn)
HYB: Q5W_17305
HPSE: HPF_03310(amn)
CBAA: SRAA_1881(amn)
CBAB: SMCB_0211
PBH: AAW51_4732(amn)
MPT: Mpe_A3401
RGE: RGE_43800(amn)
SMIO: CATMQ487_08650(amn)
LCH: Lcho_3701
JAG: GJA_3665(amn)
JAH: JAB4_045060(amn)
HSE: Hsero_3931(amn)
CFU: CFU_0496(amn)
CARE: LT85_0552
CPRA: CPter91_0576(amn)
TIN: Tint_1032
THI: THI_1288(amn)
AZO: azo0116(amn)
AOA: dqs_0126
THAU: C4PIVTH_1382(amn)
THAG: CKCBHOJB_00096(amn)
KCI: CKCE_0346
KCT: CDEE_0530
KBT: BCUE_0514
KDE: CDSE_0527
KGA: ST1E_0579
KON: CONE_0503
KSO: CKSOR_00267(amn)
PACA: ID47_08740
HEC: HYD_7020(amn)
MLO: mll7714
MHUA: MCHK_1166
MESJ: MJ8_21070
NTU: NTH_03440(amn)
MES: Meso_0916
AMIH: CO731_04385(amn)
AMIS: Amn_17850
ANJ: AMD1_4364(amn)
SME: SMc02386(amn)
SMX: SM11_chr0706(amn)
SMI: BN406_00701(amn)
SMEL: SM2011_c02386(amn)
SMER: DU99_05400
SMD: Smed_0658
SFH: SFHH103_00738(amn)
SFD: USDA257_c07740(amn)
SIX: BSY16_1822(amn)
SAME: SAMCFNEI73_Ch1115(amn)
EAD: OV14_2070
ATU: Atu1006(amn)
AGR: AGROH133_04986(amn)
ATF: Ach5_09280(amn)
ARAI: ACN9MK_03225(amn)
AGC: BSY240_1327(amn)
AGT: EYD00_03350(amn)
ALF: CFBP5473_10400(amn)
ARUI: G6M88_12345(amn)
AVQ: HRR99_04425(amn)
AVV: RvVAT039_26710(amn)
AVF: RvVAR031_13920(amn)
ASAL: CFBP5507_03195(amn)
RIR: BN877_I0990(amn)
RPUS: CFBP5875_03765(amn)
ACUC: KZ699_03675(amn)
ALEG: CFBP4996_03405(amn)
AGRC: GSF67_03735(amn)
AGRZ: A6U84_03155(amn)
AVI: Avi_1414(amn)
RET: RHE_CH01327(amn)
REL: REMIM1_CH01334(amn)
REP: IE4803_CH01370(amn)
REI: IE4771_CH01418(amn)
RLE: RL1478(amn)
RLG: Rleg_1114
RHL: LPU83_1298(amn)
RGA: RGR602_CH01250(amn)
RHN: AMJ98_CH01365(amn)
RPHA: AMC79_CH01380(amn)
RHX: AMK02_CH01370(amn)
RHK: Kim5_CH01496(amn)
REZ: AMJ99_CH01444(amn)
RGR: FZ934_03315(amn)
ROY: G3A56_05785(amn)
RBQ: J2J99_07025(amn)
ARA: Arad_1540(amn)
ARO: B0909_08345(amn)
RHIW: KQ933_04085(amn)
RHIP: NE852_06840(amn)
NEO: CYG48_03280(amn)
NEN: NCHU2750_08930(amn)
NPM: QEO92_04435(amn)
RHT: NT26_0957(amn)
SHZ: shn_05720
ASIT: N7E02_21935(amn)
KAI: K32_17760(amn)
BME: BMEI1318
BMEL: DK63_85(amn)
BMI: BMEA_A0661(amn)
BMEE: DK62_775(amn)
BMF: BAB1_0647(amn)
BMB: BruAb1_0642(amn)
BABO: DK55_650(amn)
BABR: DO74_1239(amn)
BABT: DK49_411(amn)
BABB: DK48_1467(amn)
BABU: DK53_638(amn)
BABS: DK51_820(amn)
BABC: DO78_556(amn)
BMS: BR0623(amn)
BSI: BS1330_I0619(amn)
BSF: BSS2_I0605(amn)
BSUI: BSSP1_I1083(amn)
BSUP: BSPT1_I1093(amn)
BSUV: BSPT2_I1079(amn)
BSUC: BSSP2_I0635(amn)
BMT: BSUIS_A0653(amn)
BSZ: DK67_1547(amn)
BSV: BSVBI22_A0619(amn)
BOV: BOV_0622(amn)
BCS: BCAN_A0639(amn)
BOL: BCOUA_I0623(amn)
BCAR: DK60_700(amn)
BCAS: DA85_02960
BMR: BMI_I622(amn)
BPP: BPI_I660(amn)
BPV: DK65_733(amn)
BVL: BF3285c1_0125(amn)
OAN: Oant_2656
OAH: DR92_2137(amn)
OCH: CES85_0658(amn)
BJA: bll7912(amn)
BRA: BRADO2347(amn)
BBT: BBta_2704(amn)
BRS: S23_08740(amn)
AOL: S58_52520
BRAD: BF49_4086
BRO: BRAD285_4993(amn)
BARH: WN72_44970
BVZ: BRAD3257_8321(amn)
NHA: Nham_0980
BOS: BSY19_396(amn)
MEA: Mex_1p0535(amn)
MDI: METDI0691(amn)
MEX: Mext_0708
MCH: Mchl_0721
MPO: Mpop_0681
METQ: MSPGM_06040(amn)
MET: M446_4233
MNO: Mnod_4743
MOR: MOC_0610(amn)
META: Y590_02610
MAQU: Maq22A_c16625(pfs)
MIND: mvi_48800(amn)
MECL: CLZ_03075
FIL: BN1229_v1_0986(amn)
FIY: BN1229_v1_0990(amn)
PHL: KKY_1578
PLEO: OHA_1_01794(amn)
HDI: HDIA_1132(amn)
MMED: Mame_03527(amn)
AUZ: Sa4125_12880(amn)
PSF: PSE_1587(amn)
LABT: FIU93_00500(amn)
CCR: CC_0264
CAK: Caul_4704
CSE: Cseg_3892
CAUB: AMEJIAPC_00736(amn)
PZU: PHZ_c0353(amn)
BVY: NCTC9239_00032(amn)
BREN: KKHFBJBL_02605(amn)
ASTD: ATDW_02650
ASTM: MMA231_00373(amn)
TSV: DSM104635_02859(amn)
SIL: SPO3745(amn)
RUT: FIU92_16795(amn)
JAN: Jann_0337
RDE: RD1_0604(amn)
RLI: RLO149_c000680(amn)
RFU: ROLI_005280(amn)
DSH: Dshi_3289(amn)
KVL: KVU_2323
KVU: EIO_2837
KRO: BVG79_02430(amn)
PGA: PGA1_c34250(amn)
PGL: PGA2_c32460(amn)
PGD: Gal_03492
PHP: PhaeoP97_03326(amn)
PPIC: PhaeoP14_03232(amn)
OAT: OAN307_c01240(amn)
OAR: OA238_c47120(amn)
OTM: OSB_31100(amn)
LAQU: R2C4_18405
CID: P73_0305
MALG: MALG_03311
SINL: DSM14862_00243(amn)
SPSE: SULPSESMR1_03043(amn)
RMM: ROSMUCSMR3_02406(amn)
RID: RIdsm_04787(amn)
ROH: FIU89_01505(amn)
AHT: ANTHELSMS3_02101(amn)
ROT: FIV09_01615(amn)
MALU: KU6B_42200(amn)
LALG: LentiSH36_02628(amn)
MARU: FIU81_14930(amn)
RMAI: MACH21_01390(amn)
RSP: RSP_1387
PDE: Pden_0404
PAMN: JCM7685_2780(amn)
PMAU: CP157_00013(amn)
PTP: RCA23_c04540(amn)
RSU: NHU_03963(amn)
RHC: RGUI_2670
PAMO: BAR1_01005
PALW: PSAL_026280(amn)
MANH: LA6_005211(amn)
RCP: RCAP_rcc00250(amn)
GAK: X907_0691
HNE: HNE_1294(amn)
HBA: Hbal_0833
NAR: Saro_1413
SPHM: G432_16490
STAX: MC45_04735
SPHI: TS85_06350
SSAN: NX02_12965
SPKC: KC8_05485
SBIN: SBA_ch1_24510(amn)
SAL: Sala_0167
SPHK: SKP52_17990(amn)
SPHP: LH20_16480
SMAZ: LH19_18735
SGI: SGRAN_3472(amn)
SPEG: SPYCW_2779
SPFD: SPYCA_0225
SPHU: SPPYR_0137(amn)
SWI: Swit_2669
SPHD: HY78_12165
SJP: SJA_C1-16870(amn)
SINB: SIDU_06195
SSY: SLG_23640(amn)
SPMI: K663_07675
SPHR: BSY17_2970(amn)
SPHT: K426_13170
SPAG: sphantq_03566(amn)
SPTA: Sj15T_08330(amn)
SFLA: SPHFLASMR4Y_01818(amn)
BLAS: BSY18_290(amn)
SMIC: SmB9_12660(amn)
ALB: AEB_P1568
AAY: WYH_00232(amn)
ANH: A6F65_01473(amn)
ADO: A6F68_02377(amn)
ELI: ELI_07375
ERF: FIU90_11315(amn)
GDI: GDI0519
GDJ: Gdia_1488
GXY: GLX_20990
GXL: H845_2875
KSC: CD178_00806(amn)
ASZ: ASN_2751(amn)
EBLA: JGUZn3_18030(amn)
RAP: RHOA_1730(amn)
AZL: AZL_007780(amn)
ALI: AZOLI_0689(amn)
ABS: AZOBR_200189(amn)
RCE: RC1_3927(amn)
HTQ: FRZ44_10840(amn)
HADH: FRZ61_11070(amn)
TXI: TH3_02945
TTB: MACH01_06200(amn)
TMO: TMO_c0408
PCA: Pcar_2626
DWD: DSCW_27710(amn)
DALK: DSCA_25990(amn)
BBA: Bd1233(amn)
BBAT: Bdt_1221(amn)
BBW: BDW_04235
BBAC: EP01_16130
BEX: A11Q_1038
MAI: MICA_1501(amn)
MAN: A11S_1436
BMX: BMS_3236
HAX: BALOs_2862(amn)
CTR: CT_751(amn)
CTD: CTDEC_0751(amn)
CTF: CTDLC_0751(amn)
CTA: CTA_0820(amn)
CTY: CTR_7551(amn)
CRA: CTO_0820
CTRQ: A363_00812
CTB: CTL0120(amn)
CTL: CTLon_0120(amn)
CTO: CTL2C_825
CTJ: JALI_7561(amn)
CTZ: CTB_7561(amn)
CSW: SW2_7631(amn)
CES: ESW3_7631(amn)
CTRB: BOUR_00807
CTEC: EC599_7901(amn)
CFS: FSW4_7631(amn)
CFW: FSW5_7631(amn)
CTFW: SWFP_8251(amn)
CTCH: O173_04195
CTRI: BN197_7611(amn)
CTRA: BN442_7611(amn)
CTCT: CTW3_04215
CMU: TC_0132
CMUR: Y015_00705
CMX: DNC_00695
CMZ: TAC_00705
CPN: CPn_0894(amn)
CPA: CP_0972
CPJ: amn(amn)
CPT: CpB0925
CPM: G5S_0139
CPEC: CPE3_0830
CPEO: CPE1_0829
CPER: CPE2_0830
CHB: G5O_0913
CHR: Cpsi_8561
CPSC: B711_0992
CPSN: B712_0932
CPSB: B595_0995
CPSG: B598_0928
CPSM: B602_0931
CPSI: B599_0929
CPSV: B600_0989
CPSW: B603_0934
CPST: B601_0934
CPSD: BN356_8591
CPSA: AO9_04485
CCA: CCA_00874
CAB: CAB840
CABO: AB7_9271
CFE: CF0142(amn)
CHLA: C834K_0895(amn)
CSUI: Chls_153(amn)
CSEE: C10C_0866(amn)
CSAZ: Cs308_0522
PNL: PNK_2076(amn)
PUV: PUV_02920
WCH: wcw_0231(amn)
SNG: SNE_A04080(amn)
OTE: Oter_2079
OBG: Verru16b_00078(amn)
RML: FF011L_01830(amn)
MFF: MFFC18_32170(amn)
ROL: CA51_16610(amn)
RUV: EC9_17100(amn)
RCF: Poly24_21450(amn)
AHEL: Q31a_04800(amn)
RLC: K227x_11380(amn)
SMAM: Mal15_12860(amn)
SNEP: Enr13x_62270(amn)
SMAE: TBK1r_56480(amn)
LLH: I41_18250(amn)
AMUC: Pan181_16420(amn)
PND: Pla175_33880(amn)
AMOB: HG15A2_18800(amn)
BMEI: Spa11_18160(amn)
BGOK: Pr1d_19370(amn)
GES: VT84_10515(amn)
FTJ: FTUN_6439
ULI: ETAA1_33660(amn)
SACI: Sinac_3451
TPLA: ElP_17990(amn)
BTH: BT_0888
BTHO: Btheta7330_02518(amn)
BFR: BF2395
BXY: BXY_04800
BOA: Bovatus_00758(amn)
BCEL: BcellWH2_05369(amn)
BEG: INE88_03838(amn)
BVU: BVU_3313
PGI: PG_0948
PGN: PGN_1002
PCRE: NCTC12858_00771(amn)
PSAC: PSM36_1871
PDI: BDI_1116
PMER: INE87_00641(amn)
TFO: BFO_2899
BLQ: L21SP5_00550(amn)
DORI: FH5T_21760
ANF: AQPE_3280
MBAS: ALGA_1028
CPI: Cpin_1527
FLN: FLA_0655
CBAM: PIECOFPK_01145(amn)
SGN: SGRA_3572(amn)
PHE: Phep_3079
SMIZ: 4412673_01066(amn)
SDJ: NCTC13534_03677(amn_1)
STHA: NCTC11429_04924(amn)
MUC: MuYL_1945
MGOT: MgSA37_03354(amn)
CHU: CHU_1998(amn)
SLI: Slin_0368
LBY: Lbys_1696
DFE: Dfer_2420
FAE: FAES_4508
HSW: Hsw_1476
PTAN: CRYO30217_01094(amn)
IAL: IALB_2166(amn)
MRO: MROS_1663
CPRV: CYPRO_3090
CABY: Cabys_1543
PARH: I5S86_04100(amn)
CGL: Cgl0095(Cgl0095)
CGB: cg0124(amn)
CGU: WA5_0094(Amn)
CGT: cgR_0113
CGM: cgp_0124(amn)
CGJ: AR0_00770
CEF: CE0099
CAR: cauri_0073(amn)
CPU: CPFRC_00325(amn)
CPL: Cp3995_0065(amn)
CPG: CP316_00380(amn)
CPP: CpP54B96_0068(amn)
CPK: CP1002_00325(amn)
CPQ: CPC231_00325(amn)
CPX: CPI19_00325(amn)
CPZ: CpPAT10_0064(amn)
COR: Cp267_0072(amn)
COP: CP31_00375(amn)
COD: Cp106_0064(amn)
COS: Cp4202_0063(amn)
COI: CPCIP5297_00380(amn)
COE: CP258_00380(amn)
COU: CP162_00390(amn)
CPSE: CPTA_00588
CPSU: CPTB_00944
CPSF: CPTC_00605
CUL: CULC22_00092(amn)
CUC: CULC809_00095(amn)
CUE: CULC0102_0086(amn)
CUN: Cul210932_0097(amn)
CUQ: Cul210931_0094(amn)
CUZ: Cul05146_0091(amn)
CUJ: CUL131002_0088(amn)
CUS: CulFRC11_0093(amn)
COA: DR71_1216(amn)
CSX: CSING_00310(amn)
CCJ: UL81_00375(amn)
CMV: CMUST_00395(amn)
CUT: CUTER_00290(amn)
CSP: WM42_1296(amn)
CPHO: CPHO_00275
CGV: CGLAU_00255(amn)
CAQU: CAQU_00235
CAMG: CAMM_00885
CMIN: NCTC10288_02476(amn)
CEE: CENDO_00520(amn)
CSAN: E3227_03745(amn)
CRL: NCTC7448_00881(amn)
CCHO: CCHOA_00070(amn)
CSUR: N24_0123(amn)
CCYS: SAMEA4530656_2459(amn)
CMAT: HBA49_07455(amn)
CYZ: C3B44_00315(amn)
CKF: I6I12_00675(amn)
CLIA: C3E79_00345(amn)
CGLU: I6J20_08920(amn)
CTUB: I6I74_05650(amn)
CLUJ: IAU68_00275(amn)
CQN: G7Y29_00300(amn)
CKW: CKALI_00625(amn)
CCOE: CETAM_00775(amn)
COK: COCCU_00650(amn)
CMF: GWO64_000355(amn)
CWK: IA203_00955(amn)
CUW: LH390_00235(amn)
CACC: CACC_00325(amn)
CHIN: J5O04_00995(amn) J5O04_01075(amn)
CJH: CJEDD_00310(amn)
CMAS: CMASS_00385(amn)
CIHU: CIHUM_00265(amn)
CCOY: CCOY_00280(amn)
CHAD: CHAD_00300(amn)
CFG: CFREI_00205(amn)
CAQM: CAQUA_00440(amn)
CAUI: CAURIS_00430(amn)
CFAC: CFAEC_00385(amn)
CFOU: CFOUR_00280(amn)
CFEU: CFELI_02030(amn)
CATR: CATRI_00430(amn)
CDUR: CDUR_00320(amn)
CCOU: CCONF_00470(amn)
CHAN: CHAN_00815(amn)
CAFE: CAFEL_00290(amn)
CGF: CGUA_00500(amn)
CGOI: CGOTT_00330(amn)
CAPP: CAPP_00275(amn)
CSUE: QP029_04330(amn)
CBRE: QP027_00045(amn)
CPYR: CYJ47_11780(amn)
CIK: H0194_06085(amn)
CGP: KBP53_00370(amn)
CHES: R3O64_00335(amn)
CORS: PAB09_00545(amn)
CORE: RIU96_02520(amn)
CRHN: QP973_000440(amn)
NWL: NWFMUON74_34810(amn)
LXX: Lxx11960(amn)
PSEA: WY02_28110
PSEE: FRP1_14620
PSEH: XF36_14885
PAUT: Pdca_40870
SNA: Snas_3407
 » show all
Reference
PMID:2690948
  Authors
Leung HB, Kvalnes-Krick KL, Meyer SL, deRiel JK, Schramm VL
  Title
Structure and regulation of the AMP nucleosidase gene (amn) from Escherichia coli.
  Journal
Biochemistry 28:8726-33 (1989)
DOI:10.1021/bi00448a008
  Sequence
[eco:b1982]
LinkDB

KEGG   ORTHOLOGY: K06966
Entry
K06966                      KO                                     
Symbol
ppnN
Name
pyrimidine/purine-5'-nucleotide nucleosidase [EC:3.2.2.10 3.2.2.-]
Pathway
map00230  Purine metabolism
map00240  Pyrimidine metabolism
map01100  Metabolic pathways
map01232  Nucleotide metabolism
Reaction
R00182  AMP phosphoribohydrolase
R00510  cytidine-5'-monophosphate phosphoribohydrolase
R12955  uridine 5'-monophosphate phosphoribohydrolase
R12956  thymidine 5'-monophosphate phosphodeoxyribohydrolase
Brite
KEGG Orthology (KO) [BR:ko00001]
 09100 Metabolism
  09104 Nucleotide metabolism
   00230 Purine metabolism
    K06966  ppnN; pyrimidine/purine-5'-nucleotide nucleosidase
   00240 Pyrimidine metabolism
    K06966  ppnN; pyrimidine/purine-5'-nucleotide nucleosidase
Enzymes [BR:ko01000]
 3. Hydrolases
  3.2  Glycosylases
   3.2.2  Hydrolysing N-glycosyl compounds
    3.2.2.10  pyrimidine-5'-nucleotide nucleosidase
     K06966  ppnN; pyrimidine/purine-5'-nucleotide nucleosidase
Other DBs
COG: COG1611
GO: 0047405
Genes
ECO: b2795(ppnN)
ECJ: JW2766(ygdH)
ECD: ECDH10B_2964(ygdH)
EBW: BWG_2533(ygdH)
ECOK: ECMDS42_2300(ygdH)
ECOC: C3026_15370
ECE: Z4112(ygdH)
ECS: ECs_3655(ygdH)
ECF: ECH74115_4059
ETW: ECSP_3747(ygdH)
EOI: ECO111_3520(ygdH)
EOJ: ECO26_3865(ygdH)
EOH: ECO103_3338(ygdH)
ECOO: ECRM13514_3657(ygdH)
ECOH: ECRM13516_3522(ygdH)
ESL: O3K_05520
ESO: O3O_20130
ESM: O3M_05565
ECK: EC55989_3074(ygdH)
ECG: E2348C_3062(ygdH)
EOK: G2583_3448(ygdH)
ELH: ETEC_2985
ECP: ECP_2777
ECOS: EC958_3064(ygdH)
ECV: APECO1_3736(ygdH)
ECY: ECSE_3055
ECR: ECIAI1_2905(ygdH)
ECQ: ECED1_3248(ygdH)
EUM: ECUMN_3124(ygdH)
ECT: ECIAI39_3217(ygdH)
EOC: CE10_3221(ygdH)
EBR: ECB_02640(ygdH)
EBL: ECD_02640(ygdH)
EBE: B21_02602(ygdH)
EBD: ECBD_0934
ECI: UTI89_C3165(ygdH)
ECZ: ECS88_3064(ygdH)
ECC: c3361(ygdH)
ESE: ECSF_2586
EAB: ECABU_c30640(ygdH)
EDJ: ECDH1ME8569_2705(ygdH)
ELW: ECW_m3005(ygdH)
ELL: WFL_14680
ELC: i14_3086(ygdH)
ELD: i02_3086(ygdH)
ELF: LF82_3157(ygdH)
ECOI: ECOPMV1_03052(ygdH)
ECOJ: P423_15285
EFE: EFER_0265(ygdH)
ESZ: FEM44_03855(ppnN)
ERUY: OSH18_17745(ppnN)
ESF: ACK8NJ_05025(ppnN)
STY: STY3108
STT: t2877(ygdH)
STM: STM2969(ygdH)
SEO: STM14_3578(ygdH)
SEY: SL1344_2949(ygdH)
SEJ: STMUK_2957(ygdH)
SEB: STM474_3114(ygdh)
SENR: STMDT2_28701(ygdH)
SEND: DT104_29671(ygdH)
SENI: CY43_15490
SPT: SPA2833(ygdH)
SEK: SSPA2638
SEI: SPC_3026(ygdH)
SEC: SCH_2908(ygdH)
SHB: SU5_03458
SENS: Q786_14350
SED: SeD_A3291
SEG: SG2879(ygdH)
SEL: SPUL_2977
SET: SEN2813(ygdH)
SENA: AU38_14285
SENO: AU37_14295
SENV: AU39_14295
SENQ: AU40_16085
SENL: IY59_14890
SEEP: I137_14155
SENE: IA1_14285
SBG: SBG_2584(ygdH)
SBZ: A464_2994
SFL: SF2808(ygdH)
SFX: S3003(ygdH)
SFV: SFV_2662(ygdH)
SFE: SFxv_3080
SFN: SFy_3995
SFS: SFyv_4073
SFT: NCTC1_03088(ygdH)
SSN: SSON_2952(ygdH)
SBO: SBO_2676(ygdH)
SDY: SDY_3012(ygdH)
SHIG: LXH19_04950(ppnN)
ENC: ECL_04128
ECLX: LI66_18015
ECLY: LI62_19475
ECLZ: LI64_16920
ECLO: ENC_30400
EEC: EcWSU1_03604(ygdH)
EPT: HWQ17_18070(ppnN)
ECHU: RQP59_18820(ppnN)
ENS: HWQ15_03385(ppnN)
ENK: LOC22_06160(ppnN)
EMOR: L6Y89_17340(ppnN)
EQU: OM418_17640(ppnN)
EPU: QVH39_18675(ppnN)
EDY: F0320_17360(ppnN)
EAX: AAHF05_18130(ppnN)
ENTE: GXP72_18410(ppnN)
ENTY: H2Z33_13375(ppnN)
ENJ: QRD42_00720(ppnN)
ENHK: EnteroDNA1_01932(ygdH)
ENTL: FZF21_14805(ppnN)
ENTC: NWV12_17640(ppnN)
ENTJ: RY075_18315(ppnN)
ESA: ESA_00510
CSK: ES15_0770
CTU: CTU_33520(ygdH)
KPN: KPN_03138(ygdH)
KPU: KP1_4410
KPP: A79E_0959
KPT: VK055_4376(ygdH)
KPR: KPR_4147(ygdH)
KPJ: N559_1092
KPX: PMK1_00619(ygdH)
KPNU: LI86_05395
KPNK: BN49_0976(ygdH)
KVA: Kvar_0917
KPE: KPK_0984
KOX: KOX_01220
KOE: A225_4705
EAE: EAE_02030
EAR: CCG33586
KAR: LGL98_04885(ppnN)
KPAS: LUW96_01305(ppnN)
KLC: K7H21_05395(ppnN)
REE: electrica_00920(ygdH)
KLX: GQR96_19545(ppnN)
RTG: NCTC13098_01359(ygdH)
CRO: ROD_28351
CKO: CKO_04151
CPOT: FOB25_16215(ppnN)
CSED: JY391_04525(ppnN)
CAMA: F384_15145
CTEL: GBC03_09645(ppnN)
CITZ: E4Z61_21515(ppnN)
CARS: E1B03_21265(ppnN)
CIX: M4I31_04720(ppnN)
CIB: HF677_004625(ppnN)
CENS: P2W74_04570(ppnN)
CITR: GUC46_04705(ppnN)
CIQ: FD428_04430(ppnN)
CIY: HAP28_20335(ppnN)
HDE: HDEF_0153
EBT: EBL_c08290(ygdH)
CLAP: NCTC11466_00710(ygdH)
KOO: O9K67_20035(ppnN)
KCA: AAEY27_17615(ppnN)
KIE: NCTC12125_04906(ygdH)
KAS: KATP_09100(ygdH)
KLU: K7B04_09880(ppnN)
KCY: RIN60_04670(ppnN)
KGN: GY169_04920(ppnN)
LPNU: KQ929_03880(ppnN)
BFT: MNO13_04460(ppnN)
BSEL: RHD99_04270(ppnN)
SYM: K6K13_19145(ppnN)
AHN: NCTC12129_03985(ygdH)
ASUB: NLZ15_04160(ppnN)
YRE: HEC60_13610(ppnN)
PSHI: SAMEA2665130_2407(ygdH)
PSGC: G163CM_45450(ppnN)
PVJ: LMA04_16400(ppnN)
SUPE: P0H77_17300(ppnN)
TOE: QMG90_05390(ppnN)
MPHG: MPHASIOC01_003211(ppnN)
FPUL: ACBV55_18475(ppnN)
EBF: D782_0919
EBB: F652_2490
YPE: YPO1033
YPK: y3148
YPH: YPC_1067(ygdH)
YPA: YPA_0507
YPN: YPN_2969
YPM: YP_2818
YPZ: YPZ3_0940
YPD: YPD4_0898
YPX: YPD8_1200
YPW: CH59_828
YPJ: CH55_3782
YPV: BZ15_2537
YPL: CH46_4111
YPS: YPTB3013
YPO: BZ17_3607
YPY: YPK_1056
YPB: YPTS_3134
YPQ: DJ40_3468
YPU: BZ21_2327
YPR: BZ20_3152
YPC: BZ23_2607
YPF: BZ19_2391
YEN: YE3296
YEY: Y11_40921
YEW: CH47_249
YET: CH48_744
YAL: AT01_1611
YFR: AW19_2276
YIN: CH53_2710
YKR: CH54_3510
YRO: CH64_1683
YRU: BD65_1205
YAS: N0H69_07800(ppnN)
SMAR: SM39_3403
SPE: Spro_3801
SRL: SOD_c37660(ygdH)
SPLY: Q5A_020055(ygdH)
SMAF: D781_3540
SERF: L085_09080
SFJ: SAMEA4384070_3919(ygdH)
SOF: NCTC11214_02837(ygdH)
SENP: KHA73_19080(ppnN)
SNEM: NLX84_19745(ppnN)
SNEV: OI978_12385(ppnN)
SGRI: SGBXF1_03911(ygdH)
SSAR: SSARUM_003785(ppnN)
SERB: QEP77_02765(ppnN)
SERT: TAN611_3755(ppnN)
SERH: GF111_17910(ppnN)
RAA: Q7S_04010
RVC: J9880_11890(ppnN)
RBON: QNM34_04355(ppnN)
ROU: AB3G37_04585(ppnN)
CARU: P0E69_04220(ppnN)
PROD: PCO85_05955(ppnN)
ECA: ECA1019
PATR: EV46_05210
PATO: GZ59_10570
PCT: PC1_0931
PEC: W5S_3372
PAQU: DMB82_0015790(ppnN)
PPAV: LOZ86_16970(ppnN)
PPOO: LW347_05325(ppnN)
PCAC: OI450_04070(ppnN)
PACB: M9782_07235(ppnN)
PCOA: PJ912_19225(ppnN)
PARL: PEC302110_09100(ppnN)
PPEU: DUT67_17120(ppnN)
DDD: Dda3937_00870(ygdH)
DDQ: DDI_0765
DAQ: DAQ1742_03335(yqdH)
DLC: O1Q98_16705(ppnN)
DAD: V6C41_12790(ppnN)
SGL: SG1951
SOD: Sant_0885(ygdH)
PES: SOPEG_3409(ygdH)
EAM: EAMY_0726(ygdH)
EAY: EAM_2715
ETA: ETA_27320(ygdH)
EPY: EpC_28510(ygdH)
EPR: EPYR_03085(ygdH)
EBI: EbC_35630
ERJ: EJP617_18860(ygdH)
ETP: LU633_18470(ppnN)
ERP: LJN55_18280(ppnN)
EPI: Q3V30_04560(ppnN)
ETO: RIN69_17920(ppnN)
EGE: EM595_2836(ygdH)
PAM: PANA_3093(ygdH)
PLF: PANA5342_0940(ygdH)
PAJ: PAJ_2368(ygdH)
PVA: Pvag_2476(ygdH)
PSTW: DSJ_05050
PER: LAC65_12695(ppnN)
PJI: KTJ90_04020(ppnN)
PANO: OJ965_06475(ppnN)
KPIE: N5580_14285(ppnN)
PALF: K6R05_04065(ppnN)
PANE: P6287_15345(ppnN)
PANZ: NR302_15060(ppnN)
PPHI: ACF2G4_10485(ppnN)
MHAN: K6958_16460(ppnN)
TPTY: NCTC11468_00877(ygdH)
PMAK: PMPD1_3553
PLU: plu0661
PAY: PAU_00611
PMR: PMI2297
PHAU: PH4a_03735
PAPP: QQS39_15170(ppnN)
PRON: LG402_17095(ppnN)
XBO: XBJ1_0577
XBV: XBW1_4188(ygdH)
XPO: XPG1_2741(ygdH)
XGR: QL128_17910(ppnN)
XET: WDV74_02615(ppnN)
XSK: AB0856_003531(ppnN)
PSI: S70_14960
PSX: DR96_303
PTHA: OI982_08615(ppnN)
PHEI: NCTC12003_03069(ygdH)
PRJ: NCTC6933_03169(ygdH)
PHAG: PZ638_15980(ppnN)
PZJ: QS795_013765(ppnN)
PZN: ACE2AM_15435(ppnN)
PXH: ACE2AL_15780(ppnN)
PLAZ: ACIH2S_15470(ppnN)
MMK: MU9_923
ANS: ArsFIN_06080(ygdH)
AET: LDL57_03710(ppnN)
AAPC: QG404_03700(ppnN)
ARSE: QE177_02570(ppnN)
MWI: MNY66_02690(ppnN)
ETD: ETAF_0665
ETE: ETEE_2488
ETR: ETAE_0723
EDL: AAZ33_03435(ppnN)
LRI: NCTC12151_00696(ygdH)
LGB: V8L73_03710(ppnN)
GKN: PVT67_12820(ppnN)
HPIT: NCTC13334_01564(ygdH)
HSO: HS_0850
HSM: HSM_1325
PMU: PM0475
PMV: PMCN06_0496(ygdH)
PMP: Pmu_05440(ygdH)
PMUL: DR93_1255
PDAG: 4362423_00878(ygdH)
PCAI: K7G93_000493(ppnN)
MSU: MS1068
MHT: D648_6970
MHAT: B824_7760(ppnN)
MHX: MHH_c12960(ygdH)
MHAE: F382_11590
MHAM: J450_10275
MHAO: J451_11700
MHAL: N220_03710
MHAQ: WC39_10160
MHAY: VK67_10160
MVR: X781_7150
MVE: X875_5280
APL: APL_0145
APJ: APJL_0146
APA: APP7_0147
ASU: Asuc_1200
ADP: NCTC12871_01585(ygdH)
ALIG: NCTC10568_00170(ygdH)
AART: NYR89_00550(ppnN)
AGP: NYR63_00750(ppnN)
AGK: NYR60_04805(ppnN)
GSS: NYR30_05445(ppnN)
BTO: WQG_19450
BTRE: F542_3130
BTRH: F543_3780
BTRA: F544_19270
AVT: NCTC3438_01430(ygdH)
RABS: THUN1654_06800(ppnN)
PAET: NCTC13378_01021(ygdH)
XFA: XF_0472
XFT: PD_1616
XCC: XCC2496
XCB: XC_1620
XCP: XCR_2824
XCV: XCV2822
XAX: XACM_2610
XAC: XAC2671
XOM: XOO3036(XOO3036)
XOO: XOO3203
XOP: PXO_01319
XOR: XOC_2904
XAL: XALC_1279
XPH: XppCFBP6546_22550(XppCFBP6546P_22550)
XHD: LMG31886_16740(ppnN)
XPR: MUG10_18530(ppnN)
XDY: NYR95_14460(ppnN)
XHA: PG878_08240(ppnN)
XRY: QN244_07935(ppnN)
XSO: RAB70_11390(ppnN)
XIN: Q7W82_15560(ppnN)
XTS: AB3X08_08985(ppnN)
XMD: AB3X07_14485(ppnN)
XBN: AB3X10_09070(ppnN)
SML: Smlt1620
SMT: Smal_1377
SMZ: SMD_1446
SFOE: K5L94_07650(ppnN)
SINC: DAIF1_14620(ppnN)
SGEN: RKE57_07345(ppnN)
SOU: PDM29_14455(ppnN)
SARC: PDM28_06965(ppnN)
SCYC: AB1723_03025(ppnN)
STEJ: FQS62_007805(ppnN)
STEO: PEM_05395
STEZ: ACEPA4_07180(ppnN)
SLAB: AB9L18_13340(ppnN)
PSUW: WQ53_12625
PSD: DSC_12315
PJP: LAG73_03420(ppnN)
PDD: MNQ95_11140(ppnN)
PWI: MWN52_05955(ppnN)
PSSE: OY559_04980(ppnN)
PKQ: ACEJ41_09770(ppnN)
LEZ: GLE_3582
LEM: LEN_1544
LAUX: LA521A_27780(ppnN)
LYA: RDV84_14830(ppnN)
LSY: H8L67_08055(ppnN)
LLZ: LYB30171_00894(ppnN)
LFX: LU699_03030(ppnN)
FSG: LQ771_03965(ppnN)
FED: LQ772_04650(ppnN)
RTH: LRK53_14750(ppnN)
DKY: ACN9MB_05580(ppnN)
DKO: I596_1366
LANH: KR767_01375(ppnN)
LAEG: L2Y94_15650(ppnN)
LAEO: L2Y97_06330(ppnN)
LAES: L2Y96_06855(ppnN)
RBD: ALSL_1704
TAMN: N4264_07645(ppnN)
VCH: VC_0899
VCS: MS6_0699
VCI: O3Y_04175
VVU: VV1_0300
VVY: VV0884
VPA: VP0698
VPB: VPBB_0669
VAG: N646_2852
VSP: VS_2393
VAN: VAA_01155
VSI: MTO69_09615(ppnN)
VTA: A2365(ygdH)
VAQ: FIV01_10795(ygdH)
VSR: Vspart_00937(ygdH)
VGI: MID13_12015(ppnN)
VSL: LTQ54_12345(ppnN)
VPL: SA104470976_01868(ygdH)
VJP: NP165_09130(ppnN)
VPG: LZI70_10385(ppnN)
VOS: KNV97_14535(ppnN)
VNP: KW548_14545(ppnN)
VLE: ISX51_04955(ppnN)
VSY: K08M4_22890(ygdH)
VRU: RND59_01505(ppnN)
VMT: QYQ96_09505(ppnN)
VIO: AB2S62_10350(ppnN)
VIH: AB0763_10115(ppnN)
VCK: PG915_13170(ppnN)
VIC: SNR28_22795(ppnN)
VII: ACHFJ9_11505(ppnN)
VFI: VF_0595(ygdH)
PPR: PBPRA2985(STY3108)
PHOT: L4174_003100(ppnN)
PATE: NNL38_02920(ppnN)
PPIL: ACJZU6_04610(ppnN)
GKD: K6Q96_03270(ppnN)
SPRO: N7E60_03360(ppnN)
PLAS: NF212_13770(ppnN)
PAE: PA4115
PAEV: N297_4247
PAEI: N296_4247
PAEP: PA1S_04245
PAEM: U769_04270
PAEL: T223_04180
PAEG: AI22_29370
PAEC: M802_4245
PAEO: M801_4113
SECH: B18_03690
PCQ: PcP3B5_13970(ygdH)
PPU: PP_3662
PPF: Pput_2067
PPT: PPS_3165
PPI: YSA_09487
PPX: T1E_1759(ygdH)
PPUH: B479_15705
PPUT: L483_19220
PPUN: PP4_21330
PPUD: DW66_3436
PMON: X969_15210
PMOT: X970_14855
PALD: LU682_011685(ppnN)
PIX: RIN61_01040(ppnN)
PSB: Psyr_3498
PSYR: N018_07990
PVD: CFBP1590__1784(ygdH)
PSYI: MME58_17915(ppnN)
PAST: N015_18275
PLIJ: KQP88_16155(ppnN)
PFUV: NLK61_01920(ppnN)
PFL: PFL_2451
PPRC: PFLCHA0_c25110(ygdH)
PPRO: PPC_2490
PZA: HU749_018400(ppnN)
PFS: PFLU_1619
PFB: VO64_4741
PMAN: OU5_6146
PMUD: NCTC8068_03522(ygdH_1)
PMAB: U0037_08085(ppnN)
PBRE: QDY63_09965(ppnN)
PEN: PSEEN2055
PKC: PKB_4218(ygdH)
PCHP: C4K32_2402
PSES: PSCI_3427
PSEM: TO66_11990
PSEC: CCOS191_2980(ygdH)
PSOS: POS17_2447
PANR: A7J50_1777
PSET: THL1_4419
PSIL: PMA3_10910
PMAO: PMYSY11_2815(ppnN)
PDW: BV82_3422
PZE: HU754_017980(ppnN)
PMOE: HV782_012380(ppnN)
PSEP: C4K39_2363
PPII: QL104_12905(ppnN)
PVW: HU752_018635(ppnN)
PTRT: HU722_0009060(ppnN)
PXA: KSS93_14040(ppnN)
PSAM: HU731_024055(ppnN)
PTZ: HU718_012535(ppnN)
PSHH: HU773_019355(ppnN)
PXN: HU772_014845(ppnN)
PHV: HU739_006075(ppnN)
PPRG: HU725_012895(ppnN)
PANH: HU763_010665(ppnN)
PASG: KSS96_08610(ppnN)
PFAK: KSS94_11305(ppnN)
PMUY: KSS95_17540(ppnN)
PMAM: KSS90_15280(ppnN)
PAZE: KSS91_10550(ppnN)
PALV: KSS97_11700(ppnN)
PCAS: LOY40_11190(ppnN)
PIE: HU724_016895(ppnN)
PWY: HU734_012780(ppnN)
PTAE: NCTC10697_01758(ygdH)
PJU: L1P09_10580(ppnN)
PPEG: KUA23_08380(ppnN)
PSII: NF676_15820(ppnN)
PSIH: LOY51_11480(ppnN)
PASI: LG197_21420(ppnN)
PKM: PZ739_16340(ppnN)
PNB: NK667_08905(ppnN)
PSOA: PSm6_57190
PKK: QQ992_10765(ppnN)
PKJ: Q1W70_00985(ppnN)
PCUC: PSH97_17150(ppnN)
PTRL: OU419_07575(ppnN)
PPAE: LDL65_19325(ppnN)
PPAO: K3169_16935(ppnN)
PHEF: PSH57_16900(ppnN)
PLIS: NN484_08480(ppnN)
PFOU: OZ911_16890(ppnN)
PBEJ: PSH84_22245(ppnN)
PKV: QYQ93_08960(ppnN)
PSMT: MT1_0179
PBAM: NUH87_05735(ppnN)
PDEU: QEP73_13620(ppnN)
PQE: OSC50_16570(ppnN)
PBEN: V6W80_17765(ppnN)
PSDT: NH234_17895(ppnN)
PBEZ: SBP02_19210(ppnN)
PCAA: V6L78_25995(ppnN)
PBUB: V6B39_12960(ppnN)
PSML: V6P94_12820(ppnN)
PSMZ: V6L79_12620(ppnN)
PSIV: LZ023_24975(ppnN)
PSWO: SD196_06875(ppnN)
PMOR: PMm318_A33030(ppnN)
PSNY: ACPFMA_18235(ppnN)
PSMD: K5R88_03280(ppnN)
PIM: OQ460_16905(ppnN)
PBAB: AAEO81_18380(ppnN)
PMY: Pmen_0422
PMK: MDS_0477
PPSE: BN5_0324
PALL: UYA_01980
PHF: NLY38_02145(ppnN)
PCHE: QYM18_09840(ppnN)
PSA: PST_0111
PSTT: CH92_00660
PCHL: LLJ08_20195(ppnN)
PKG: LW136_21800(ppnN)
PZD: KQ248_03405(ppnN)
HAES: LO767_00585(ppnN)
HARR: HV822_10625(ppnN)
HASM: QAO71_00100(ppnN)
PBAU: OS670_11955(ppnN)
MAQ: Maqu_3650
MHC: MARHY3555
MAD: HP15_3408
MBS: MRBBS_3629(ygdH)
MARJ: MARI_30140(ppnN)
MALL: PBN92_18475(ppnN)
MNK: RE428_46170(ppnN)
MMEE: NLK58_11655(ppnN)
MAMM: ABNF92_12100(ppnN)
MRX: MspRI1_07590(ppnN)
MFLI: ACGK9W_15195(ppnN)
NJO: ABXT42_05615(ppnN)
SON: SO_1550
SDN: Sden_2557
SFR: Sfri_2775
SAZ: Sama_2419
SBL: Sbal_1372
SLO: Shew_2755
SSE: Ssed_3310
SPL: Spea_2975
SHL: Shal_3065
SWD: Swoo_3459
SWP: swp_3667
SVO: SVI_1143
SPSW: Sps_02226
SBK: SHEWBE_1852(ygdH)
SKH: STH12_02198(ygdH)
SEUR: FM038_018105(ppnN)
SINV: K8B83_17135(ppnN)
SXM: MKD32_14040(ppnN)
SHEJ: MZ182_06155(ppnN)
SACH: K0H61_12110(ppnN)
SAEG: K0H80_14060(ppnN)
SDEO: D0436_15335(ppnN)
SMES: K0I73_05620(ppnN)
SHAO: K0H81_05910(ppnN)
SZH: K0H63_13475(ppnN)
SSPA: K0I31_14345(ppnN)
SHNS: K0J45_14150(ppnN)
SRHS: K0I63_14245(ppnN)
SPSJ: K0I62_13625(ppnN)
SMAY: K0H60_14525(ppnN)
SOG: RA178_15575(ppnN)
SHEH: ABIS04_05620(ppnN)
SYOU: RGE70_13110(ppnN)
SHEM: HWQ47_19885(ppnN)
ILO: IL0858
IAB: K5X84_07475(ppnN)
IDP: U0358_05635(ppnN)
CPS: CPS_3537
TPSY: RGQ13_06975(ppnN)
TNN: RI845_11820(ppnN)
TFT: RI844_05860(ppnN)
PHA: PSHAb0469
PSM: PSM_B0545
PSEO: OM33_18490
PSPO: PSPO_b0904
PART: PARC_b0721
PSEN: PNC201_19375(ygdH)
PAGA: PAGA_b0858
PSAZ: PA25_32960
PMAZ: R5H13_21220(ppnN)
PSHO: KQ246_17660(ppnN)
PSCF: L3Q70_18620(ppnN)
AMAL: I607_04520
AMAE: I876_04730
AMAO: I634_04905
AMAD: I636_04750
AMAI: I635_04725
AMAG: I533_04485
AMAC: MASE_04365
AAUS: EP12_04710
AMAB: ACI7YQ_04445(ppnN)
ALTD: D210916_23930(ppnN)
ALTZ: ACM0P2_04725(ppnN)
AALE: ACOJRU_04245(ppnN)
AUV: ACOJR9_04710(ppnN)
GNI: GNIT_2476
GPS: C427_1661
PAT: Patl_3194
AGZ: M0C34_13050(ppnN)
AGQ: LQZ07_09720(ppnN)
AGAR: OAG1_26870
ALKM: NKI27_02290(ppnN)
ASEM: NNL22_15860(ppnN)
CATT: OLW01_03495(ppnN)
ALII: QR722_05090(ppnN)
HARO: R50071_10690(ppnN)
OIM: ACM613_11585(ppnN)
PIN: Ping_2775
FBL: Fbal_2807
MVS: MVIS_3868
MYA: MORIYA_3574(ygdH)
CJA: CJA_1346
SDE: Sde_1069
GIL: NHM04_00860(ppnN)
GJP: R50076_23740(ppnN)
MKE: OOT55_02470(ppnN)
MNY: R50073_30440(ppnN)
MICC: AUP74_02958(ygdH)
MICT: FIU95_12200(ygdH)
MCEL: LPW13_09170(ppnN)
MVB: MJO52_08465(ppnN)
MPAF: R5R33_16210(ppnN)
MBRG: PVT68_04175(ppnN)
CVB: R0135_08535(ppnN)
CBRV: R0137_05755(ppnN)
MCA: MCA3091
MMEO: OOT43_12860(ppnN)
MMAI: sS8_4413
MSZE: MSZNOR_2456(ppnN)
MECH: Q9L42_004130(ppnN)
MLAU: ACEPPP_04905(ppnN)
MCAU: MIT9_P0652
TCX: Tcr_1882
HMAR: HVMH_2005
MEJ: Q7A_599
MEC: Q7C_2179
MPIN: LGT42_000150(ppnN)
MTHA: VSX76_03830(ppnN)
TLH: NR989_10130(ppnN)
TNI: TVNIR_2901(ygdH_[H])
TEE: Tel_05870
HCH: HCH_00651
HAHH: O5O45_22775(ppnN)
TCD: AAIA72_09165(ppnN)
CSA: Csal_1809
CCAG: SR908_16635(ppnN)
HEL: HELO_2524(ygdH)
HAM: HALO2556
HCO: LOKO_00435(ygdH)
HBE: BEI_1913
HPRO: LMS44_10995(ppnN)
HQD: K1Y77_08780(ppnN)
HALF: QEN58_09025(ppnN)
HHAO: QWG60_08020(ppnN)
HALW: B6N23_01090(ppnN)
HPIS: P1P91_08700(ppnN)
HAMS: NF683_17410(ppnN)
HAAH: HALA3H3_890042(ygdH)
HABD: OM794_10595(ppnN)
HQN: M0220_16100(ppnN)
HANY: LG409_08505(ppnN)
HADN: NKF27_09650(ppnN)
HAMZ: P8S55_02435(ppnN)
HCK: MRB56_11855(ppnN)
HKA: R5M92_05330(ppnN)
HNP: SR894_10670(ppnN)
VRE: ACFIOZ_10315(ppnN)
VRS: V8F66_10440(ppnN)
CAMH: LCW13_11610(ppnN)
COBD: U0O11_11720(ppnN)
SAJS: QO259_08115(ppnN)
ABO: ABO_0657
ALCA: ASALC70_00984(ygdH)
ADI: B5T_03342
AXE: P40_15690
MATH: THO17_17300(ppnN)
TOL: TOL_0629
MSEC: LN244_09350(ppnN)
ENW: MJO57_15450(ppnN)
EEI: NX720_00250(ppnN) NX720_24805(ppnN)
ENG: O2T12_14675(ppnN)
PLEI: Q9312_05310(ppnN)
AHA: AHA_1154
ASA: ASA_3181
AVR: B565_3075
AMED: B224_4093
ASR: WL1483_2916(ygdH)
ACAV: VI35_15645
AEL: NCTC12917_03234(ygdH)
ARIV: KYK33_14965(ppnN)
ASAA: KXJ75_17895(ppnN)
AOJ: ACPDZI_05525(ppnN)
AMYQ: ACFWHB_05240(ppnN)
TAU: Tola_0491
OCE: GU3_06945
OPE: PU634_03445(ppnN)
ZOB: ACEVBK_06000(ppnN)
PAGI: ABHF91_12470(ppnN)
KKO: Kkor_1075
KGE: TQ33_1236
KAM: SR900_09180(ppnN)
IGN: MMG00_12350(ppnN)
ILV: WMO13_10410(ppnN)
WCN: PE074_06930(ppnN)
GAQ: RAM11_02330(ppnN)
OMO: RHO11_09350(ppnN)
OWH: RHO14_00285(ppnN)
OSV: RHO12_08245(ppnN)
UBR: RHO15_00610(ppnN)
CDIZ: CEDIAZO_01179(ppnN)
PLG: NCTC10937_02850(ygdH)
HAR: HEAR1695
MMS: mma_1948
JAG: GJA_2165
JAH: JAB4_036270(ppnN)
JRI: P9875_18370(ppnN)
JAE: OPV09_18340(ppnN)
MENY: LSQ66_08060(ppnN)
TCT: PX653_08255(ppnN)
DZO: SR858_10615(ppnN)
TMJ: P0M04_27775(ppnN)
EHB: E7V67_012170(ppnN)
UCY: RF679_10440(ppnN)
ACTB: RHM62_17680(ppnN)
SLAC: SKTS_15130
APET: ToN1_45400
AZA: AZKH_2576
NALL: PP769_03125(ppnN)
NNEO: PQG83_14320(ppnN)
 » show all
Reference
  Authors
Sevin DC, Fuhrer T, Zamboni N, Sauer U
  Title
Nontargeted in vitro metabolomics for high-throughput identification of novel enzymes in Escherichia coli.
  Journal
Nat Methods 14:187-194 (2017)
DOI:10.1038/nmeth.4103
  Sequence
[eco:b2795]
LinkDB

KEGG   ENZYME: 3.2.2.4
Entry
EC 3.2.2.4                  Enzyme                                 
Name
AMP nucleosidase;
adenylate nucleosidase;
adenosine monophosphate nucleosidase
Class
Hydrolases;
Glycosylases;
Hydrolysing N-glycosyl compounds
Sysname
AMP phosphoribohydrolase
Reaction(IUBMB)
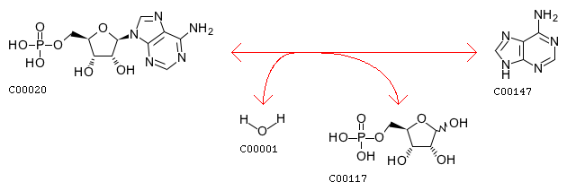
AMP + H2O = D-ribose 5-phosphate + adenine [RN:R00182]
Reaction(KEGG)
R00182
Substrate
AMP [CPD:C00020];
H2O [CPD:C00001]
Product
D-ribose 5-phosphate [CPD:C00117];
adenine [CPD:C00147]
History
EC 3.2.2.4 created 1961
Pathway
ec00230  Purine metabolism
ec01100  Metabolic pathways
Orthology
K01241  AMP nucleosidase
Genes
ECOb1982(amn)
ECJJW1963(amn)
ECDECDH10B_2126(amn)
EBWBWG_1779(amn)
ECOKECMDS42_1610(amn)
ECOCC3026_11190
ECEZ3139(amn)
ECSECs_2779(amn)
ECFECH74115_2824(amn)
ETWECSP_2644(amn)
ELXCDCO157_2565
EOIECO111_2630(amn)
EOJECO26_2875(amn)
EOHECO103_2446(amn)
ECOOECRM13514_2613(amn)
ECOHECRM13516_2541(amn)
ESLO3K_09645
ESOO3O_15980
ESMO3M_09610
ECKEC55989_2219(amn)
ECGE2348C_2089(amn)
EOKG2583_2491(amn)
ELRECO55CA74_11990
ELHETEC_2095
ECWEcE24377A_2264(amn)
EUNUMNK88_2504(amn)
ECPECP_1955
ENAECNA114_2056
ECOSEC958_2301
ECVAPECO1_1068(amn)
ECOAAPECO78_13720
ECXEcHS_A2105(amn)
ECMEcSMS35_1143(amn)
ECYECSE_2268
ECRECIAI1_2064(amn)
ECQECED1_2288(amn)
EUMECUMN_2320(amn)
ECTECIAI39_1063(amn)
EOCCE10_2273(amn)
EBRECB_01894(amn)
ECOBC3029_14105
EBLECD_01894(amn)
EBEB21_01883(amn)
EBDECBD_1664
ECIUTI89_C2195(amn)
EIHECOK1_2159(amn)
ECZECS88_2050(amn)
ECCc2444(amn)
ELOEC042_2223(amn)
ELNNRG857_09950
ESEECSF_1841
ECLEcolC_1661
EKFKO11_12825(amn)
EABECABU_c22520(amn)
EDHEcDH1_1671
EDJECDH1ME8569_1920(amn)
ELUUM146_07225
ELWECW_m2154(amn)
ELLWFL_10555(amn)
ELCi14_2253(amn)
ELDi02_2253(amn)
ELPP12B_c1033
ELFLF82_0084(amn)
ECOLLY180_10255
ECOIECOPMV1_02082(amn)
ECOJP423_11115
EFEEFER_1983(amn)
EALEAKF1_ch4028c(amn)
EMAC1192_02025(amn)
ESZFEM44_24820(amn)
ERUYOSH18_00680(amn)
ESFACK8NJ_09310(amn)
STYSTY2211
STTt0868(amn)
SEXSTBHUCCB_9190
SENTTY21A_04385
STMSTM2009(amn)
SEOSTM14_2495(amn)
SEVSTMMW_20411
SEYSL1344_1986(amn)
SEMSTMDT12_C20340
SEJSTMUK_2039(amn)
SEBSTM474_2092(amn)
SEFUMN798_2175(amn)
SETUSTU288_06450
SETCCFSAN001921_06740
SENRSTMDT2_19831(amn)
SENDDT104_20681(amn)
SENICY43_10860
SEENSE451236_16255
SPTSPA0864(amn)
SEKSSPA0807
SPQSPAB_01096
SEISPC_1711(amn)
SECSCH_2017(amn)
SEHSeHA_C2231(amn)
SHBSU5_02606
SENHCFSAN002069_21780
SEEHSEEH1578_19330
SEESNSL254_A2179(amn)
SENNSN31241_31070
SEWSeSA_A2167(amn)
SEASeAg_B2112(amn)
SENSQ786_09840
SEDSeD_A2344(amn)
SEGSG2034(amn)
SELSPUL_0889(amn)
SEGASPUCDC_0889(amn)
SETSEN2007(amn)
SENAAU38_10125
SENOAU37_10135
SENVAU39_10135
SENQAU40_11380
SENLIY59_10410
SENJCFSAN001992_01450
SEECCFSAN002050_16915
SEEBSEEB0189_009430
SEEPI137_04030
SENBBN855_20960(amn)
SENEIA1_09990
SENCSEET0819_17115
SESSARI_00882
SBGSBG_1843(amn)
SBZA464_2168
SBVN643_09035
SALZEOS98_09060
SFLSF2053(amn)
SFXS2160(amn)
SFVSFV_2053(amn)
SFESFxv_2287(amn)
SFNSFy_2929
SFSSFyv_3000
SFTNCTC1_02241(amn)
SSNSSON_2047(amn)
SBCSbBS512_E0986(amn)
SDYSDY_2253(amn)
SDZAsd1617_03044
SHQA0259_13770
SHIGLXH19_09070(amn)
ENCECL_03327
ENLA3UG_14965
ECLGEC036_28950
ECLEECNIH2_14920
ECLNECNIH4_08215
ECLIECNIH5_13830
ECLXLI66_14345
ECLYLI62_15700
ECLZLI64_13735
ECLOENC_41600
EHMAB284_11140
EXFBFV63_14090
ECLAECNIH3_13895
ECLCECR091_13830
EAUDI57_04810
EKBBFV64_14505
ENOECENHK_14440
EECEcWSU1_02932(amn)
ELGBH714_10715
ECANCWI88_08070
ERNBFV67_13995
ECLSLI67_011515
ECHGFY206_15995
ESHC1N69_14750
EPTHWQ17_21475
ECHURQP59_15405
ENTEnt638_2572
EASEntas_2774
ENRH650_05690
ENXNI40_014385
ENFAKI40_1907
LNICWR52_20640
EBGFAI37_14720
ENDA4308_19105
ENZG0034_15040
ENSHWQ15_22555
ENKLOC22_02370
EHUD5067_0008615
EMORL6Y89_14030
ENBELK40_14705
EQUOM418_14110
EPUQVH39_15030
EDYF0320_13915
EAXAAHF05_14030
ENTEGXP72_14910
ENTYH2Z33_16960
ENJQRD42_17000
ENHKEnteroDNA1_01258(amn)
ENTLFZF21_18615
ENTCNWV12_14275
ENTJRY075_14810
ESAESA_01220
CSKES15_1454(amn)
CSZCSSP291_05780
CSJCSK29544_02539
CCONAFK62_12360
CDMAFK67_12980
CSIP262_02125
CMJAFK66_007120
CUIAFK65_12670
CMWAFK63_05650
CTUCTU_26940(amn)
KPNKPN_02445(amn)
KPUKP1_3572(amn)
KPMKPHS_35040
KPPA79E_1760
KPHKPNIH24_11240
KPZKPNIH27_16760
KPVKPNIH29_17250
KPWKPNIH30_17570
KPYKPNIH31_16665
KPGKPNIH32_17890
KPCKPNIH10_17010
KPQKPR0928_16985
KPTVK055_5132(amn)
KPOKPN2242_15185
KPRKPR_3396(amn)
KPJN559_1815
KPID364_12440
KPAKPNJ1_01968
KPSKPNJ2_01929
KPXPMK1_04810(amn)
KPBFH42_08330
KPNEKU54_009050
KPNULI86_09005
KPNKBN49_3643(amn)
KVAKvar_1644
KPEKPK_1745(amn)
KPKA593_01955
KVDKR75_25955
KVQSP68_06110
KQUAVR78_21360
KQVB8P98_09740
KOXKOX_24315
KOEA225_3762
KOYJ415_13315
KOMHR38_22650
KMIVW41_14365
KOKKONIH1_18965
KOCAB185_17290
EAEEAE_23205
EARCCG29319
KLLBJF97_18730
KLWDA718_10445
KARLGL98_08600
KGRJJJ10_10180
KPASLUW96_24985
KLCK7H21_10130
KLMBWI76_18545
REEelectrica_01743(amn)
KLPGUC22_09345
KLXGQR96_16045
RORRORB6_02460
RONTE10_18880
RPLNB1209_08780
RAODSD31_08830
RTGNCTC13098_02439(amn)
CROROD_20941(amn)
CKOCKO_00848
CFDCFNIH1_15520
CBRAA6J81_07040
CWECO701_13320
CYOCD187_14415
CPOTFOB25_02370
CFQC2U38_09535
CSEDJY391_08935
CAMAF384_10040
CAFAL524_12500
CIFAL515_14620
CFARCI104_16015
CIRC2U53_25780
CIEAN232_20135
CPARCUC49_10655
CTELGBC03_14430
CITZE4Z61_08230
CARSE1B03_10645
CIXM4I31_14140
CIBHF677_014430
CITRGUC46_14560
CIQFD428_08550
CIYHAP28_15790
EBTEBL_c15230(amn)
CNTJT31_20765
CEMLH23_20315
CENLH86_18925
CLAPNCTC11466_01570(amn)
PGELG71_13330
ESCEntcl_1714
KLEAO703_13415
KSAC813_00335
KORAWR26_09450
KRDA3780_14525
KCOBWI95_19845
KOTEH164_08390
KPSEIP581_14250
KOBHF650_15025
KOOO9K67_09405
KOUC0557_16040
KCAAAEY27_08695
KIENCTC12125_00680(amn_2)
KASKATP_16290(amn)
KLUK7B04_20780
KCYRIN60_08455
KGNGY169_08620
LAXAPT61_07925
LEIC2U54_19630
LEHC3F35_20090
LEEDVA44_08115
LERGNG29_14700
LEAGNG26_14540
LPNUKQ929_07195
LEYDVA43_02995
LAZA8A57_13590
LEFLJPFL01_2683
LEWDAI21_13015
BUFD8682_06030
BAGEBADSM9389_15790
BFTMNO13_09680
BSELRHD99_09125
SYMK6K13_06905
AHNNCTC12129_03307(amn_1)
ASUBNLZ15_08095
YREHEC60_09405
SGOEA8O29_008335
KINAB182_08405
PDZHHA33_11540
METYMRY16398_19140(amn)
IZHFEM41_21275
PSGCG163CM_06540(amn)
SCOLKFZ77_12520
PVJLMA04_03440
SUPEP0H77_13555
TOEQMG90_13505
MPHGMPHASIOC01_002085
FPULACBV55_14810
EBFD782_1645
EBCC2U52_19165
EBUCUC76_24235
EBBF652_1290
YPEYPO2288(amn)
YPKy2119(amn)
YPHYPC_1910
YPAYPA_1637
YPNYPN_1749
YPMYP_2074(amn)
YPPYPDSF_0855
YPZYPZ3_1584(amn)
YPTA1122_14700
YPDYPD4_2002(amn)
YPXYPD8_1394(amn)
YPWCH59_3813(amn)
YPJCH55_368(amn)
YPVBZ15_1237(amn)
YPLCH46_2816(amn)
YPSYPTB2211(amn)
YPOBZ17_249(amn)
YPIYpsIP31758_1846(amn)
YPYYPK_1955
YPBYPTS_2289
YPQDJ40_95(amn)
YPUBZ21_1492(amn)
YPRBZ20_4039(amn)
YPCBZ23_1779(amn)
YPFBZ19_1570(amn)
YENYE2052(amn)
YEPYE105_C2129
YEYY11_09411
YEWCH47_1488(amn)
YETCH48_3769(amn)
YEFFORC2_2074
YEEYE5303_19001(amn)
YSIBF17_20125
YALAT01_409(amn)
YFRAW19_1264(amn)
YINCH53_4001(amn)
YKRCH54_398(amn)
YROCH64_595(amn)
YRUBD65_345(amn)
YRBUGYR_01785
YMADA391_11345
YHID5F51_08675
YELLC20_02740
YCAF0T03_10790
YMOHRD69_15755
YASN0H69_14040
YKIHRD70_15390
YEGPL78_05300
SMARSM39_2627(amn)
SMACSMDB11_2397(amn)
SMWSMWW4_v1c31780(amn)
SPESpro_3127
SRRSerAS9_3215
SRLSOD_c29480(amn)
SRYM621_16080
SPLYQ5A_016350(amn)
SRSSerAS12_3216
SRASerAS13_3218
SMAFD781_2948
SLQM495_16055
SERFL085_12685
SERSSERRSCBI_15370
SFWWN53_24445
SFGAV650_20070
SRZAXX16_2125
SERMCLM71_15700
SQUE4343_00380
SFJSAMEA4384070_3190(amn)
SOFNCTC11214_03544(amn)
SSURATE40_012470
SURIJ0X03_08045
SRHZFO014_18585
SENPKHA73_15515
SNEMNLX84_15935
SNEVOI978_16545
SGRISGBXF1_03157(amn)
SSARSSARUM_003065
SERBQEP77_06630
SERNGUC32_15445
SERTTAN611_3161(amn)
SERHGF111_21935
SFOZ042_02350
RAHRahaq_1607
RACEJHW33_02280
RAQRahaq2_1671
RAAQ7S_07775
ROXBV494_03170
RVCJ9880_15780
RIUI2123_16045
GQUAWC35_21020
EAMEGXP68_22555
RBADH2866_19015
RCBO1V66_07305
ROUAB3G37_12155
SERASer39006_010885
SERQCWC46_10880
PRODPCO85_14665
ECAECA1547(amn)
PATREV46_07825
PATOGZ59_15850(amn)
PCTPC1_1423
PCCPCC21_014400
PCVBCS7_07160
PWAPecwa_1823
PPARA8F97_09710
PECW5S_1736
PWSA7983_22435
PPOABJK05_02335
PBRAB5S52_14425
PPUJE2566_07695
PARII2D83_14875
PAQUDMB82_0013350
PVZOA04_28560(amn)
PPAVLOZ86_14120
PQUIG609_013180
PPOOLW347_07685
PCACOI450_11200
PACBM9782_09635
PARLPEC302110_13930(amn)
PPEUDUT67_14230
DDDDda3937_00834(amn)
DZEDd1591_2827
DDCDd586_1271
DZCW909_06450
DSOA4U42_15860
CEDLH89_05345
DFNCVE23_07385
DDQDDI_1146
DAQDAQ1742_02917(amn)
DICDpoa569_0002474
DLCO1Q98_04660
DADV6C41_14625
DDADd703_1215
BGJAWC36_10485
BRBEH207_11260
BNGEH206_14380
BIZHC231_15015
LBQCKQ53_10915
LPOPI6N93_05885
SODSant_2286
SLIGGTU79_10320
EAMEAMY_2195(amn)
EAYEAM_2118(amn)
ETAETA_13720(amn)
EPYEpC_14420(amn)
EPREPYR_01541(amn)
EBIEbC_28650(amn)
ERJEJP617_32520(amn)
EPECI789_04505
ERWIGN242_08005
ETPLU633_09930
ERPLJN55_09130
EPIQ3V30_07725
ERWEGKQ23_09500
ETORIN69_14340
EGEEM595_2278(amn)
PAMPANA_2375(amn)
PLFPANA5342_1719(amn)
PAJPAJ_1676(amn)
PAQPAGR_g1653
PVAPvag_1827(amn)
PAGGAL522_16085
PAOPat9b_2446
KLNLH22_10460
PANTPSNIH1_15630
PANPPSNIH2_05450
PAGCBEE12_19085
PSTWDSJ_11760
PALHB1H58_14905
PANSFCN45_12000
PEYEE896_07565
PDISD8B20_10690
PERLAC65_09615
PJIKTJ90_07345
PANOOJ965_09755
KPIEN5580_06745
PALFK6R05_07425
PPHOCTZ24_16450
PDIPKFZ74_07980
PANEP6287_11925
PAMTIAI47_07865
PANZNR302_11720
PPHIACF2G4_07275
PCDC2E16_13335
MINTC7M51_01813(amn)
MTHIC7M52_00995(amn)
MHANK6958_12810
TCIA7K98_12120
TATUEFZ10_08810
PMAKPMPD1_2707
PMRPMI1220(amn)
PMIBBB2000_1228(amn)
PVLAOB99_08020
PVGCRN77_12580
PHAUPH4a_15615
PROTBTA34_07940
PCOLF1325_09705
PCIBF9282_09710
PPEEI6G31_00680
PAPPQQS39_09525
PRONLG402_10350
PSIS70_20710
PSXDR96_3042(amn)
PSTABGK56_02665
PTHAOI982_02605
PRGRB151_021890(amn)
PALACO695_14815
PHEINCTC12003_02100(amn)
PRQCYG50_05660
PRJNCTC6933_01889(amn)
PVCG3341_10660
PMAGJI723_10550
PHAGPZ638_10880
PZJQS795_008135
PZNACE2AM_10465
PXHACE2AL_10860
PLAZACIH2S_09285
MWIMNY66_08095
EICNT01EI_1822
ETDETAF_1691
ETEETEE_3921(amn)
ETRETAE_1877
ETCETAC_08585
EDWQY76_10915
EDLAAZ33_09520
EHOA9798_08815
HAVAT03_11145
HPARAL518_14775
LPVHYN51_01375
PRAGEKN56_07820
PFQQQ39_09770
LRINCTC12151_01742(amn)
LGBV8L73_09930
SMLSmlt3963
SMTSmal_3372
BUJBurJV3_3409
SMZSMD_3561(amn)
SFOEK5L94_18610
SPAQSTNY_R35880
SLMBIZ42_06470
STENCCR98_17520
STEMCLM74_17755
STESMG068_17410
SINCDAIF1_34940(amn)
SGENRKE57_17585
SOUPDM29_03695
SARCPDM28_15815
SCYCAB1723_11630
STEJFQS62_018635
STEOPEM_14445
STEZACEPA4_16780
SLABAB9L18_03430
PMEXH4W19_14415
PJPLAG73_19135
PSSEOY559_01410
LABLA76x_4527
LAQGLA29479_2576
LCPLC55x_0582
LGULG3211_0568
LEZGLE_4802
LEMLEN_0483
LYTDWG18_11550
LSOLGOY17_17400
LAUXLA521A_34950
LYARDV84_09275
LAREHIV01_015605
LHXLYSHEL_14630
LCASLYSCAS_14630
LYJFKV23_01555
LMBC9I47_2986
LSFI8J32_003290
LSXH8B22_06050
LUMCNR27_00925
LUSE5843_13595
LUGFPZ22_06195
LFXLU699_10770
LUJBGP89_03700
THESFHQ07_09885
THEHG7079_02535
TCNH9L16_03600
TBVH9L17_11280
THEXICG51_000962
XBCELE36_01715
FSGLQ771_00345
FEDLQ772_00805
RHDR2APBS1_3496
RGLCS053_03040
RTHLRK53_04010
DJICH75_17035
DJAHY57_20570
DTXATSB10_25130
DYEEO087_13585
DCSISN74_17390
DTLH8F01_06885
DTADYST_02283
DYGDYGSA30_02210
DKYACN9MB_03665
DKOI596_144
LRZBJI69_05195
LPYFIV34_02115
LANHKR767_08980
LFLIM816_16855
LAEGL2Y94_19265
LAEOL2Y97_02045
LAESL2Y96_02320
XBAC7S18_18980
TAMNN4264_05705
PREPCA10_08250(amn)
PFUWKF707C_7630
POJPtoMrB4_09630(amn)
PLALFXN65_03775(amn)
PAEPA3970(amn)
PAEVN297_4100(amn)
PAEIN296_4100(amn)
PAUPA14_12490
PAGPLES_10051(amn)
PAFPAM18_0969(amn)
PNCNCGM2_5169
PAEBNCGM1900_0993
PDKPADK2_04470
PSGG655_04825
PRPM062_20990
PAEPPA1S_04975
PAERPA1R_gp1861
PAEMU769_04985
PAELT223_04925
PAESSCV20265_1006
PAEUBN889_04415(amn)
PAEGAI22_28640
PAECM802_4098(amn)
PAEOM801_3966(amn)
SECHB18_02895
PCQPcP3B5_09230(amn)
PMUIG4G71_28615(amn)
PNTG5B91_04155(amn)
PAPPSPA7_1138(amn)
PPAAB7D75_04890(amn)
PPUPP_4779(amn)
PPFPput_4655
PPGPputGB1_4833
PPWPputW619_0641
PPTPPS_4619
PPBPPUBIRD1_4562
PPIYSA_03670
PPXT1E_4925(amn)
PPUHB479_23345
PPUTL483_29005
PPUNPP4_48450(amn)
PPUDDW66_5010
PFVPsefu_0791
PMONX969_22780
PMOTX970_22415
PPJRK21_05759
PORAPT59_05405
PPSLBJP27_20120
PMOLCLJ08_16025(amn)
PALDLU682_026085(amn)
PIXRIN61_08640(amn)
PMOSO165_026965
PSTPSPTO_4795
PSBPsyr_4337
PSYRN018_22490
PSPPSPPH_4379(amn)
PSAVPSA3335_23705
PAMGBKM19_025460(amn)
PCIPCH70_44470
PAVLBKM03_25195(amn)
PVDCFBP1590__4679(amn)
PCABJGS08_02810(amn)
PCOFPOR16_03330(amn)
PTREI9H09_20590(amn)
PSYIMME58_22250(amn)
PASTN015_23035(amn)
PLIJKQP88_21135(amn)
PFUVNLK61_09590(amn)
PFLPFL_5424(amn)
PPRCPFLCHA0_c53940(amn)
PPROPPC_5393
PFEPSF113_5131(amn)
PZAHU749_026055(amn)
PFNHZ99_13445
PFOPfl01_4942(amn)
PFSPFLU_5396(amn)
PFCPflA506_4682(amn)
PPZH045_17370
PFBVO64_2261
PMANOU5_4241
PTVAA957_18135
PCGAXG94_11520
PVRPverR02_27620
PAZOAYR47_03065
POIBOP93_22670
PRXHRH33_23510(amn)
PMEDE3Z27_24590(amn)
PKRAYO71_26565
PMUDNCTC8068_04616(amn)
PTOLI7845_25315(amn)
PMABU0037_27085(amn)
PBREQDY63_25770(amn)
PFWPF1751_v1c48120(amn)
PFFPFLUOLIPICF711890
PFXA7318_24305
PENPSEEN4799(amn)
PLULFOB45_21375(amn)
PBAPSEBR_a4936
PBCCD58_25840
PPUUPputUW4_04755(amn)
PDRH681_03535
PSVPVLB_03215
PSKU771_27750
PKCPKB_0804(amn)
PCHEY04_28045
PCZPCL1606_08430
PCPJM49_04220
PCHPC4K32_5502
PFZAV641_03095
PLQAA042_06670
PALKPSAKL28_06710
PRHLT40_19250
PSWLK03_08375
PPVNJ69_15520
PSESPSCI_2603
PSEMTO66_27485
PSECCCOS191_4733(amn)
PPSYAOC04_00080
PSOSPOS17_5382
PFKPFAS1_15040
PANRA7J50_5111
PSETTHL1_875
PSILPMA3_02755
PYMAK972_0532
PKEDLD99_25145(amn)
PUMHGP31_27500(amn)
PGGFX982_00911
PPSHG5J76_06025(amn)
PGYAWU82_16845(amn)
PSEJHNQ25_05815(amn)
PVKEPZ47_25955(amn)
PEZHWQ56_25270(amn)
PBZGN234_22210(amn)
PMAOPMYSY11_3506(amn)
PATAJWU58_04370(amn)
PDWBV82_4908(amn)
PZEHU754_026410(amn)
PMOEHV782_025500(amn)
PSEPC4K39_4225
PPIIQL104_27575(amn)
PVWHU752_004705(amn)
PTRTHU722_0025895(amn)
PXAKSS93_06450(amn)
PSAMHU731_012040(amn)
PTZHU718_026690(amn)
PQIKH389_23490(amn)
PSHHHU773_024385(amn)
PXNHU772_003160(amn)
PHVHU739_025375(amn)
PPRGHU725_002935(amn)
PANHHU763_021370(amn)
PASGKSS96_25140(amn)
PFAKKSS94_03315(amn)
PMUYKSS95_24505(amn)
PMAMKSS90_03205(amn)
PAZEKSS91_25285(amn)
PALVKSS97_25280(amn)
PCASLOY40_25165(amn)
PORYEJA05_03440(amn)
PWZJ7655_19215(amn)
PTKEXN22_24140(amn)
PTWTUM18999_09950(amn)
PIEHU724_024640(amn)
PWYHU734_022865(amn)
PTAENCTC10697_00647(amn)
PGFJ0G10_27020(amn)
PCAVD3880_19395(amn)
PJUL1P09_22065(amn)
PPHNHU825_02605(amn)
PIZLAB08_R53480(amn)
PPEGKUA23_26280(amn)
PSIINF676_23590(amn)
PSIHLOY51_03460(amn)
PFITKJY40_26460(amn)
PASILG197_01565(amn)
PKMPZ739_24590(amn)
PNBNK667_31670(amn)
PSOAPSm6_29620(amn)
PTAIICN73_09815(amn)
PKKQQ992_24850(amn)
PHYGJTY93_23110(amn)
PHOMKJF94_22860(amn)
PCUCPSH97_24380(amn)
PTRLOU419_03960(amn)
PPAELDL65_07400(amn)
PPAOK3169_26510(amn)
PRHZCRX69_07705(amn)
PSJYAA098_03200
PSKUKUIN1_43350(amn)
PSHSJJN09_22445(amn)
PHEFPSH57_03680(amn)
PSLPBHQ29_03045
PLISNN484_12675(amn)
PLAUI0D68_12790(amn)
PSNCC0058_28450(amn)
PFOUOZ911_25535(amn)
PBEJPSH84_24725(amn)
PKVQYQ93_25550(amn)
PSMTMT1_0977
PSKPKU43P_46970(amn)
PBAMNUH87_21185(amn)
PDEUQEP73_01890(amn)
PQEOSC50_02440(amn)
PBENV6W80_05465(amn)
PSDTNH234_26070(amn)
PBEZSBP02_17300(amn)
PCAAV6L78_07280(amn)
PBUBV6B39_07175(amn)
PSMLV6P94_06320(amn)
PSMZV6L79_06195(amn)
PSIVLZ023_08225(amn)
PSWOSD196_03710(amn)
PMORPMm318_A04930(amn)
PTHVCE140_24325(amn)
PSSXDCC84_29840(amn)
PAGBAWM79_07470
PSNSCI807_02400(amn)
PSRUCCX46_26130(amn)
PSNYACPFMA_03680(amn)
PSMDK5R88_17020(amn)
PIMOQ460_22045(amn)
PBABAAEO81_04005(amn)
PSYQHXW90_27615(amn)
PMYPmen_3750
PMKMDS_4068
PPSEBN5_0779
PALLUYA_19610
PKHJLK41_20875(amn)
PTYJWV26_05860(amn)
PHFNLY38_21230(amn)
PCHEQYM18_03440(amn)
PSAPST_3742(amn)
PSZPSTAB_3703
PSRPSTAA_3833(amn)
PSCA458_02760
PSJPSJM300_17055
PSHPsest_0542
PSTTCH92_18620
PSTUUIB01_02465
PSEDDM292_00530(amn)
PCHLLLJ08_02635(amn)
PBMCL52_18015
PKGLW136_02630(amn)
SDEGGOM96_07990(amn)
PZDKQ248_07855(amn)
AVNAvin_09370
AVLAvCA_09370
AVDAvCA6_09370
ACXAchr_32360
HPEGEAO82_19000(amn)
HAESLO767_00860(amn)
PDENF1C79_29010(amn)
HARRHV822_10935(amn)
PNNKEM63_02545(amn)
PPHABVH74_07605
HASMQAO71_14025(amn)
PALCA0T30_05285
PCAMHNE05_14750(amn)
PBAUOS670_15315(amn)
SHAILMH63_14475
NAXHC341_11400
WMAWM2015_2088
GAIIMCC3135_08045(amn)
SALNSALB1_1657
CCAHDWG20_14595
PSENH8B_2451
IODEJO50_07170
IFLC1H71_19085
JEUBJP62_09790
JESJHS3_23240(amn)
JWKR0382_001420
CARIFNU76_03100
CKSH9L41_11955
RSORSp0214(amn)
RSEF504_3652
RPUCDC45_18675
RNCGO999_23065
RSLRPSI07_mp0158(amn)
RSNRSPO_m00199(amn)
RSMCMR15_mp10181(amn)
RSYRSUY_35460
RSGJK151_04965
RPIRpic_3922
RPFRpic12D_4036
RPJN234_21260
RMNTK49_19985
RINACS15_5640(amn)
RWEKOL96_03560
REHH16_B0070(amn)
CNCCNE_2c00640(amn)
CUHBJN34_20405
REUReut_B5425
RMERmet_5885(amn)
CTIRALTA_B0070(amn)
CBWRR42_s0072
CGDCR3_3047(amn)
CCUPBKK81_21500
CUPBKK80_20365
CUUBKK79_25595
CPAUEHF44_22110
COXE0W60_06385
CCAMM5D45_18105
CCAXKZ686_20375
CUKKB879_18100
CNANA2G96_31420
CUPRIC580_15710
CUPEKLP38_23080
CUPPCTP10_R35030
CUPALPA45_25880
BMABMAA0309(amn)
BMVBMASAVP1_1489(amn)
BMLBMA10229_1684(amn)
BMNBMA10247_A0341(amn)
BMAZBM44_3387(amn)
BMALDM55_3425(amn)
BMAEDM78_4732(amn)
BMAQDM76_4122(amn)
BMAIDM57_13900
BMAFDM51_4045(amn)
BMABBM45_4223(amn)
BPSBPSS1777(amn)
BPMBURPS1710b_A0857(amn)
BPLBURPS1106A_A2416(amn)
BPDBURPS668_A2553(amn)
BPRGBP346_B1855(amn)
BPSEBDL_5175(amn)
BPSMBBQ_4358(amn)
BPSUBBN_5238(amn)
BPSDBBX_4341(amn)
BPZBP1026B_II1907(amn)
BPQBPC006_II2382
BPKBBK_4504(amn)
BPSHDR55_3486(amn)
BPSABBU_4238(amn)
BPSOX996_5763(amn)
BUTX994_5324(amn)
BTEBTH_II0602(amn)
BTQBTQ_3896(amn)
BTJBTJ_4929(amn)
BTZBTL_5720(amn)
BTDBTI_5212(amn)
BTVBTHA_4488(amn)
BTHEBTN_5384(amn)
BTHMBTRA_5659(amn)
BTHADR62_5521
BTHLBG87_3351(amn)
BOKDM82_6048(amn)
BOCBG90_4617(amn)
BUUWS70_26310
BSAVWS86_27985
BHGI6G56_26880
BUDAQ610_29350
BVIBcep1808_4245
BVEAK36_4453(amn)
BURBcep18194_B2227
BCMBcenmc03_3658
BCHBcen2424_3869
BCJBCAM0901
BCENDM39_4280(amn)
BCEWDM40_3878(amn)
BCEOI35_4814
BAMBamb_3237
BACBamMC406_3766
BMJBMULJ_03639(amn)
BMUBmul_4876
BMKDM80_4047(amn)
BMULNP80_3835(amn)
BCTGEM_4883
BCEDDM42_4186(amn)
BCEPAPZ15_19935
BDLAK34_4550(amn)
BPYRABD05_17300
BCONNL30_07850
BUBBW23_4636(amn)
BDFWI26_18100
BLATWK25_21980
BTEIWS51_02780
BSEMWJ12_24470
BPSLWS57_09560
BMECWJ16_23465
BSTGWT74_23685
BSTLBBJ41_32195
BANNJFN94_22100
BARINLX30_33985
BAENL3V59_34280
BSERR0290_24150
BGLbglu_2g16160
BGUKS03_4324(amn)
BUGBC1001_4942
BGFBC1003_4552
BGDbgla_2g21410
BGOBM43_5814(amn)
BYIBYI23_B011240
BUKMYA_3953
BULBW21_4749(amn)
BUQAC233_25225
BGPBGL_2c21610(amn)
BPLAbpln_2g21830
BUMAXG89_20290
BUIAX768_23200
BURKDM992_30135
BURTBTHE68_28250(amn)
BURMGJG85_28715
BURFBsp3421_002883
BUVFPJ27_08135
BXEBxe_B2838
BXBDR64_5167(amn)
BPHBphy_4414
BGEBC1002_5262
BPXBUPH_01507
BPYBphyt_6793
BUZAYM40_22375
BFNOI25_5250(amn)
BCAIK788_0001014
PSPWBJG93_20760
PARABTO02_20285
PARBCJU94_29475
PHSC2L64_31660
PTERC2L65_28390
PGPCUJ91_30980
PCJCUJ87_26925
PTSCUJ90_24590
PCAFDSC91_002825
PMEGFNZ07_06430
PTROG5S35_22475
PGISI6I06_17525
PACPFAZ97_22025
PACSFAZ98_17870
PEWKZJ38_35965
PDIOPDMSB3_0216.1(amn)
PBRYNDK50_35200
PSAAQEN71_17860
PKFRW095_16350
PBONQS306_09600
PPAIE1956_15555
PHUNU0042_04685
PLADPPGU16_51550(amn)
PAZZPBP221_36360
BRHRBRH_01052
PPKU875_18130
PPNODA70_10635
PPNMLV28_20425
PRBX636_15995
PPULRO07_14765
PSPUNA29_22420
PAPISG18_14590
PVEUC34_05905
POXMB84_10320
PTXABW99_20035
PFGAB870_16930
PNRAT302_01180
PANDDRB87_05295
PFIBPI93_022350
PCOMNTU39_06815
PANNPanNE5_03960(amn)
PANXOYT13_05160
PLGNCTC10937_04759(amn)
MCYSMCB1EB_0968
MYCOMPB2EB_0804(amn)
CABASBC2_56790(amn)
BUOBRPE64_BCDS12240(amn)
CABKNK8_31100
BUEBRPE67_BCDS15010
TVLFAZ95_37480
TCARU0034_27245
RANDACQUFY_12210
BPEBP1583(amn)
BPCBPTD_1565(amn)
BPETB1917_1506(amn)
BPEUQ425_17630(amn)
BPARBN117_2700(amn)
BPABPP3000(amn)
BBHBN112_0768(amn)
BBRBB2966(amn)
BBMBN115_2182(amn)
BBXBBS798_2795(amn)
BPTBpet2253(amn)
BAVBAV1952(amn)
BHOD560_3668(amn)
BHMD558_3640
BHZACR54_02212(amn)
BTRMSAMEA390648703169(amn)
BBROBAU06_14370
BFZBAU07_12000
BPDZBBN53_10740
BOHAKI39_13755
BGMCAL15_13800
BOJCBF45_11895
BGVCAL12_15200
AXYAXYL_03359(amn)
AXONH44784_045311
AXNAX27061_2707
AXXERS451415_02689(amn)
ADTAPT56_14880
AISBUW96_06770
ASWCVS48_19535
ACHRC2U31_20930
ACHBDVB37_12785
ADYHLG70_06100
ACHOH4P35_12490
AMUIPE062_09180
APESFOC84_28630
AAEGRA224_16335
ASELRAS12_06020
ACHMV6V88_12975
ACHAKYT87_13495
AVHWHX56_20450
ACHHABFG95_00170
ACHJLN047_12905
ACPDACM1PE_12530
PUTPT7_3009
PUSCKA81_14235
POLLOEG81_00235
AKATKWG_17150
AMIMMIM_c12390(amn)
AALNQ3V95_05575
CDNBN940_01256
CGINABRZ00_05020
AFAUZ73_10065
AFQAFA_00590
AAQUD3M96_00485
AAMMFE795_00510
ALCNMID00_07450
ODIODI_R3071
OURCEQ07_07785
OUEI6G29_11785
PIGEGT29_04050
PACRFXN63_07840
KGYEHF36_12150
PARKLSG25_15410
PUDG9Q38_04305
RFRRfer_3569
RSBRS694_18650
RACRA876_01960
RHYRD110_25870
RHFEUB48_19150
RHGEXZ61_03005
RHOAHZ993_17015
RHOBHTY51_13070
RLHMIZ03_0972
RHOFAB3G31_21475
POLBpro_0642
PNAPnap_3545
POSDT070_04170
POOF7R28_05275
PVACHC248_00361(amn)
AJSAjs_3709
ACKC380_21445
ACRABSY15_1961(amn)
ACIDCBP33_02195
ACIPCBP36_02600
ACINCBP34_02160
ACISCBP35_16340
ACIOEAG14_19195
ARADKI609_02880
ATEMPQV96_18085
ACIQACDW_06310
ACIVEXV95_19995
ASAHAVXHC19_42830
AFACACN9MJ_03325
AAVAave_4246
AAAAcav_4136
AMONH9L24_17850
VEIVeis_1155
DACDaci_1201
DELDelCs14_5315
DTSBI380_18595
DHKBO996_06130
DLAI6G47_18525
VAPVapar_4957
VPEVarpa_5638
VPDVAPA_1c51450
VAAAX767_07655
VBOCKY39_30615
VAMC4F17_21055
VAZH7F35_09530
VAVIG196_28410
VAERZE79_28390
VAXH7F36_08255
VAWSFB74_30860
CTTCtCNB1_4305
CTESO987_25600
CSERCCO03_03275
COFFOZ74_10945
CAQTKAQ61_14640
CODOLAD35_20570
CTEZCT3_37420(amn)
AANTHUK68_01645
CRJQMY55_21330
CENPM9799_10035
COMBMJ205_17750
CSQUN4T19_18910
CPISHS961_04775
CSENACQYWY_18095
ADNAlide_0567
ADKAlide2_0532
RTARta_34610(amn)
OTKC6570_00995
OTDJ1M35_18960
LIHL63ED372_00084(amn)
LIMILINBF2_02450(amn)
LIMTLTEGF4_02350(amn)
LIMMLMORI2_02460(amn)
HYRBSY239_270(amn)
HYBQ5W_17305
HYLLPB072_20765
HYCE5678_19805
HPSEHPF_03310(amn)
HYNF9K07_05265
HTNKI616_23755
HCZG9Q37_13300
HYYJNX00_18150
HYDRSOM08_18305
HYDAABSY19_17670
DPYBA022_12490
DIHG7047_20015
DAERH9K75_09520
DRGH9K76_02360
DLSP4826_10460
DIJHND92_16635
DIMK2L43_16220
DISI3K84_15685
DIADtpsy_0485
SIMPC6571_09530
MELMC7H73_00050
MELAC6568_06310
MJELVC68_02370
CBAASRAA_1881(amn)
CBABSMCB_0211
HGRDW355_00480
BWNACI3EV_01470
STHMIS481_15265
PBHAAW51_4732(amn)
SAQAOMP39_12850
MPTMpe_A3401
METPC1M51_06840
RGERGE_43800(amn)
RBNRBXJA2T_01740
KIAG8A07_24515
PKTAT984_16065
PAQAK9V56_004330
PAISPFX98_03990
SNNEWH46_01955
SMIOCATMQ487_08650(amn)
IDCLRM40_02890
ATERMW290_16080
LCHLcho_3701
RGUA4W93_25745
JAGGJA_3665(amn)
JABVN23_05695
JAZYQ44_05380
JALBZG29_22145
JSVCNX70_22585
JASFJQ89_11945
JLVG3257_22875
JAHJAB4_045060(amn)
JRIP9875_23025
JAEOPV09_22770
HSEHsero_3931(amn)
HSZACP92_19610
HHTF506_01745
HRBHrubri_3894
HEEhmeg3_04240
HHFE2K99_20185
HFRG5S34_21420
HEWHBDW_40340
CFUCFU_0496(amn)
CARELT85_0552
CPRACPter91_0576(amn)
MNRACZ75_02265
MASYDPH57_02995
MENYLSQ66_11685
MASZC9I28_18995
MALIEYF70_08820
MUMFCL38_09930
MFLAGO485_05515
MPLIE1742_06315
PLUEEWM63_23140
DUGHH213_28955
DZOSR858_08875
EHBE7V67_016875
NOKFAY22_01635
GLCJQN73_06270
TINTint_1032
THITHI_1288(amn)
AONDEH84_02055
XYKGT347_10680
XYGR9X41_20495
TTWLCC91_13220
ETBN7L95_11000
PCAZACMDW7_07720
NTBACHFB9_09240
AZOazo0116(amn)
AOAdqs_0126
AZRCJ010_00600
TMZTmz1t_0088
THUAC731_014210
THAUC4PIVTH_1382(amn)
THKCCZ27_20965
THAGCKCBHOJB_00096(amn)
ACOMCEW83_14645
ATWC0099_14060
KCICKCE_0346
KCTCDEE_0530
KBLCKBE_00404
KBTBCUE_0514
KDECDSE_0527
KGAST1E_0579
KONCONE_0503
KSOCKSOR_00267(amn)
PACAID47_08740
CAQIM40_04575
NAFGQ61_02865
HECHYD_7020(amn)
CIPFZC35_00980
CPRIFZC34_01395
NABUFZC36_01605
MLOmll7714
MLNA9174_27550
MCIMesci_4856
MCICA4R28_02795
MOPMesop_5356
MAMMesau_04916
MAMOA6B35_12725
MESWA9K65_026750
MESMEJ066_18615
MESPC1M53_00670
MHUAMCHK_1166
MJREB229_27810
MERDEB233_24215
MESRFGU64_23120
MOHIHQ72_26330
MMEILRP31_26610
MESJMJ8_21070
MESILGH82_09980
MESULHFGNBLO_005247
MESSABSY17_18020
MEWSQAZ47_26870
MEWMQAZ22_26970
MEAAACG873_06230
NIYFQ775_12650
NKIKW403_14845
NRHT8J41_18560
NTUNTH_03440(amn)
MESOBSQ44_09340
MESMeso_0916
CHEAPVE73_16525
AAKAA2016_4664
AMIHCO731_04385(amn)
AMISAmn_17850
ANJAMD1_4364(amn)
AMION7E70_023230
PHTBLM14_12315
PHYLHB779_11290
PMELLLE53_009230
PPEDLLE51_008110
RPODE0E05_05670
ORMHTY61_09085
OSTABWH87_04575
AMAXABWH92_13815
KMNHW532_09255
SMESMc02386(amn)
SMKSinme_0756
SMQSinmeB_0664
SMXSM11_chr0706(amn)
SMIBN406_00701(amn)
SMEGC770_GR4Chr1049
SMELSM2011_c02386(amn)
SMERDU99_05400
SMDSmed_0658
RHINGR_c08030
SFHSFHH103_00738(amn)
SFDUSDA257_c07740(amn)
SIXBSY16_1822(amn)
SAMESAMCFNEI73_Ch1115(amn)
SINOSS05631_c07810
ESJSJ05684_c06760
EAKEKH55_0680
EMXFKV68_05705
ENUPYH37_003280
EGIPZN02_000078
SKMPZL22_004661
STEGQA637_03415
SCHPRB548_04025
EADOV14_2070
EAHFA04_03890
ECAAJ3R84_03810
ENPJVX98_16720
EAWACEP9W_08715
ATUAtu1006(amn)
ATAAWN88_24640
AGRAGROH133_04986(amn)
ATFAch5_09280(amn)
ARAIACN9MK_03225(amn)
AGCBSY240_1327(amn)
AGTEYD00_03350(amn)
ALFCFBP5473_10400(amn)
ARUIG6M88_12345(amn)
AVQHRR99_04425(amn)
AVVRvVAT039_26710(amn)
AVFRvVAR031_13920(amn)
ASALCFBP5507_03195(amn)
RIRBN877_I0990(amn)
RPUSCFBP5875_03765(amn)
ACUCKZ699_03675(amn)
ALEGCFBP4996_03405(amn)
AGRCGSF67_03735(amn)
AGRZA6U84_03155(amn)
AVIAvi_1414(amn)
RETRHE_CH01327(amn)
RECRHECIAT_CH0001425(amn)
RELREMIM1_CH01334(amn)
REPIE4803_CH01370(amn)
REIIE4771_CH01418(amn)
RLERL1478(amn)
RLTRleg2_0963
RLGRleg_1114
RLBRLEG3_15955
RLURLEG12_16185
RTRRTCIAT899_CH05645(amn)
RHLLPU83_1298(amn)
RGARGR602_CH01250(amn)
RHNAMJ98_CH01365(amn)
RPHAAMC79_CH01380(amn)
RHXAMK02_CH01370(amn)
RHVBA939_14240
RHKKim5_CH01496(amn)
REZAMJ99_CH01444(amn)
RJGCCGE525_06900
RHRCKA34_08790
RGRFZ934_03315(amn)
RADCO657_05140
ROYG3A56_05785(amn)
RIIFFM53_005645
RHIDFFM81_014300
RBQJ2J99_07025(amn)
RLNJ0663_15545
RBANJ2J98_06640
RRGJ3P73_08325
RLSHB780_31430
RROSD4A92_13995
RAWNE851_17095
RSULN2599_04045
RLWRlegWSM1455_05620
RRHOPR018_03670
RTUPR017_03825
RCTPYR68_05070
ARAArad_1540(amn)
AROB0909_08345(amn)
RBWRLCC275e_05645
RIFU5G49_001145
RHIZQMO80_001224
RHIBI8E17_03740
RHIAACO34A_07640
RHIYBLX90_03315
RHIWKQ933_04085(amn)
RBINPO860_05010
RHIPNE852_06840(amn)
NGLRG1141_CH09160
NGGRG540_CH09340
NEOCYG48_03280(amn)
NENNCHU2750_08930(amn)
NPMQEO92_04435(amn)
RHTNT26_0957(amn)
RFVRFYW14_01143
SHZshn_05720
SZOK8M09_04810
SOJK6301_04210
SSUMQ9314_05210
SHINLHJ69_01250
ABAWD5400_16450
PDESFE840_010415
HOEIMCC20628_01083
HOAXABWH89_10665
ASITN7E02_21935(amn)
KAIK32_17760(amn)
BMEBMEI1318
BMELDK63_85(amn)
BMIBMEA_A0661(amn)
BMZBM28_A0638
BMGBM590_A0641
BMWBMNI_I0627
BMEEDK62_775(amn)
BMFBAB1_0647(amn)
BMBBruAb1_0642(amn)
BMCBAbS19_I06070
BAABAA13334_I02950
BABODK55_650(amn)
BABRDO74_1239(amn)
BABTDK49_411(amn)
BABBDK48_1467(amn)
BABUDK53_638(amn)
BABSDK51_820(amn)
BABCDO78_556(amn)
BMSBR0623(amn)
BSIBS1330_I0619(amn)
BSFBSS2_I0605(amn)
BSUIBSSP1_I1083(amn)
BSUPBSPT1_I1093(amn)
BSUVBSPT2_I1079(amn)
BSUCBSSP2_I0635(amn)
BMTBSUIS_A0653(amn)
BSZDK67_1547(amn)
BSVBSVBI22_A0619(amn)
BSWIY71_03180
BSGIY72_02910
BOVBOV_0622(amn)
BCSBCAN_A0639(amn)
BSKBCA52141_I0710
BOLBCOUA_I0623(amn)
BCARDK60_700(amn)
BCASDA85_02960
BMRBMI_I622(amn)
BPPBPI_I660(amn)
BPVDK65_733(amn)
BVLBF3285c1_0125(amn)
BRUBFS01_03080
BRJBKD03_07720
OINIAR37_06265
BIOBR141012304_12016(amn)
OANOant_2656
OAHDR92_2137(amn)
OPSA8A54_02745
BPSNNIK97_00645
BRUCLJ361_03355
BRUBGRI33_02920
OCRHGK82_02820
OCLGTN27_03295
OCCKMS41_02995
OCHCES85_0658(amn)
PSCQKHQ08_06240
PSXFLDL70_04280
BJAbll7912(amn)
BJUBJ6T_86020
BJPRN69_41540
BRABRADO2347(amn)
BBTBBta_2704(amn)
BRSS23_08740(amn)
AOLS58_52520
BRCBCCGELA001_33380
BRADBF49_4086
BICLMTR13_13820
BROBRAD285_4993(amn)
BRKCWS35_30165
BOTCIT37_07225
BRQCIT40_28490
BGQX265_33645
BGZXH91_32095
BSYMCIT39_27500
BBETF8237_19275
BARHWN72_44970
BVZBRAD3257_8321(amn)
BELBE61_43770
BDGLPJ38_00965
BSEPHAP48_0045765
BQBJ4P68_0004990
BBANJ4G43_048105
BCANBcanWSM471_05400
BAUTQA635_17250
BBRAQA636_17840
BGKIC762_23160
BCOUIC761_33660
BPAHQA639_27490
BXNI3J27_04130
BRAZLRP30_39795
BOYLQG66_12600
BRAYML401_30985
BRAIFJV43_13060
BRAANL528_41790
BLUPAB3L03_14440
BGEAACP2YP_04170
BGEPACP2YO_17710
BRANRX330_32935
BRABRX331_14455
NHANham_0980
TRBHB776_27455
TARDRSO67_21245
BVVBHK69_05165
BVESQO058_18060
BOPAXW83_21440
BOSBSY19_396(amn)
BOIBLM15_19115
BOFFQV39_18475
BOWNWE53_20540
BOSERMR04_30210
STARG3545_28615
LNEFZC33_34235
APRAG3A50_10235
MEAMex_1p0535(amn)
MDIMETDI0691(amn)
MEXMext_0708
MCHMchl_0721
MPOMpop_0681
MZAB2G69_10305
METQMSPGM_06040(amn)
MRDMrad2831_0454
METM446_4233
MNOMnod_4743
MORMOC_0610(amn)
METAY590_02610
MAQUMaq22A_c16625(pfs)
MPHYMCBMB27_05634
MEEDA075_26350
METDC0214_03095
METXA3862_28685
METSDK389_00090 DK389_31800
METIDK427_25150
MMESMMSR116_16295
MTEADK419_14700
MINDmvi_48800(amn)
MOGMMB17_14705
MTADM6G65_14055
MECLCLZ_03075
MFUJABC766_07010
MENIGU700_03075
MENSLOK46_02495
MOCBB934_18960
MIVC4E04_06450
MICOGDR74_13475
MTEZHPT29_007315
MLDU0023_02190
RHJHZY79_00945
CHELAL346_01945
CDQBOQ54_12775
FILBN1229_v1_0986(amn)
FIYBN1229_v1_0990(amn)
PHLKKY_1578
PEMOF122_09840
PNFV6617_08960
DEQXM25_09045
DEIC4375_17930
DEAFPZ08_05245
DSALK1X15_08245
DEVOH4N61_08235
DNPN8A98_20070
DOYJI749_11335
DRHJI748_06220
DRPPSQ90_16490
DEVDGHV40_09645
DRIQOV41_10970
DPVACE4RL_12260
MMYRMXMO3_01970
YTIFNA67_12775
MHARL1P08_04200
PLEOOHA_1_01794(amn)
HDIHDIA_1132(amn)
MEYTM49_18405
MAADAZF01_11985
MMEDMame_03527(amn)
MLUTJET14_12715
AUAM673_14505
AALAIGS74_15655
AALMLUX29_17675
AUZSa4125_12880(amn)
AUBLXB15_12570
JAVOXU80_17355
PSINCAK95_20495
NOHG5V57_00210
PSFPSE_1587(amn)
PPHRAPZ00_00860
LAPACP90_22755
LABRCHH27_25830
LABPFJ695_26285
LABTFIU93_00500(amn)
LAGGB0E33_06185
RPOPK1718_22565
RAGGQUB73_23130
SIWGH266_18460
PHRC6569_16430
PSTGE8M01_14950
PAQTE8L99_08050
LIZLGH83_09650
MFLGABS361_13580
CCRCC_0264
CCSCCNA_00265
CAKCaul_4704
CSECseg_3892
CHQAQ619_01210
CMBCSW64_19335
CFHC1707_07770
CAUFCSW63_21240
CAUBAMEJIAPC_00736(amn)
PZUPHZ_c0353(amn)
PHBHYN04_01170
CAULKCG34_07415
PHEYO4N75_20150
BSBBresu_0655
BRDJL11_02405
BNEDA69_13325
BRGA4249_14555
BRLBZG35_03260
BVCCEP68_09815
BDMEQG53_02985
BRFE4M01_05580
BREVE7T10_00785
BMEDGYM46_06315
BVYNCTC9239_00032(amn)
BNDKWG56_16455
BPONIFE19_00180
BGOEIFJ75_19105
BVITJIP62_07955
BALBM8231_15740
BFQJX001_00815
BRESE4341_00790
BREAHZ989_00885
BBULU0030_14490
BREUFKQ52_15935
BSTAACETK8_19780
BIRACETKC_01795
BRENKKHFBJBL_02605(amn)
AEXAstex_0359
ASTIQ1W73_02680
ASTDATDW_02650
ASTMMMA231_00373(amn)
TSVDSM104635_02859(amn)
APAHKB221_01575
SILSPO3745(amn)
SITTM1040_2800
RUAD1823_14355
RUTFIU92_16795(amn)
RCONK3740_18675
RUYNOR97_15065
JANJann_0337
JOVP8627_08195
RDERD1_0604(amn)
RLIRLO149_c000680(amn)
RPONG3256_18005
RFUROLI_005280(amn)
DSHDshi_3289(amn)
KVLKVU_2323
KVUEIO_2837
KROBVG79_02430(amn)
PGAPGA1_c34250(amn)
PGLPGA2_c32460(amn)
PGDGal_03492
PHPPhaeoP97_03326(amn)
PPICPhaeoP14_03232(amn)
PHQD1820_12095
PHAEN1037_00385
OATOAN307_c01240(amn)
OAROA238_c47120(amn)
OTMOSB_31100(amn)
OCTFTO60_15570
LMDMETH_20430
LEJETW24_19465
LAQUR2C4_18405
LEVETW23_19805
LCAEK3721_17915
LEIMK3557_18465
CIDP73_0305
CMARIMCC12053_1856
CEHCEW89_12445
CBAKDA792_16295
MALGMALG_03311
CONTQ29_17285
YPACCEW88_11300
YANAYJ57_04680
TPROGa0080559_TMP1164
PABYGa0080574_TMP3118
SUAMBOO69_00420
SULZC1J03_22145
SULIC1J05_19845
SULDB5M07_01325
SPOTG6548_02580
SMEDJNX03_12875
SINLDSM14862_00243(amn)
SFAVPL335_01105
SUALKDD17_14325
SDUBR1T39_11505
SULBIV89_003197
SULYABM428_02400
SULPAADW22_02430
SUSQK3756_00720
SPSESULPSESMR1_03043(amn)
TOMBWR18_17365
RMMROSMUCSMR3_02406(amn)
ROKRAK1035_0777
RIDRIdsm_04787(amn)
ROMEI983_00540
ROHFIU89_01505(amn)
RPELN7U68_11835
RPHCRZ517_02345
RRLRZS32_006320
AHTANTHELSMS3_02101(amn)
SAGUCDO87_04545
SSTLABFK29_17440
SAGZQNI11_04420
THAACFI11_00850
OCDFHY55_00970
ROTFIV09_01615(amn)
RMHLVO79_14875
MALUKU6B_42200(amn)
TGLHFZ77_10860
TMDKUV46_06950
HATRC74_07240
PALXGQA70_15795
LSALKBK07_14265
LALGLentiSH36_02628(amn)
TRYQF118_18820
PLCGRVY76_10110
MARUFIU81_14930(amn)
RMAIMACH21_01390(amn)
ASCAQEZ52_01770
ACLDACIRQ6_17835
SEOHACMUJL_11540
MATGACMVPR_14035
BOOE2K80_16405
RPOHABWH90_16205
RSPRSP_1387
RSHRsph17029_0054
RSQRsph17025_2794
RSKRSKD131_2785
CAZTLV780_14060
RBLB6K69_09625
FYTQF092_12320
PDEPden_0404
PAMIJCM7686_0236
PYEA6J80_08285
PCONB0A89_04630
PZHCX676_12505
PAROCUV01_04400
PARUCYR75_12015
PAMNJCM7685_2780(amn)
PMUTDPM13_06400
PARSDRW48_05845
PARREOJ32_02350
PAAKFIU66_13615
PKDF8A10_16470
PPANESD82_19780
PLIAE4191_00065
PSANHGN31_07000
PMAUCP157_00013(amn)
PMEHJWJ88_09965
PSEWJHW44_01125
PSAPJHX88_02105
PFISJHX87_12405
PAEXJHW48_00760
PSTLJHW45_02685
PALPJHW40_00050
PVERE3U25_18500
PAEZPAE61_01275
PALSPAF20_00055
PDIMPAF18_00045
PFEOE3U26_06900
PHOIACLISE_13440
PTPRCA23_c04540(amn)
RSUNHU_03963(amn)
RHMB5V46_00805
RHCRGUI_2670
RHOVACK8CO_08985
RMBK529_013735
TSCOR1T40_17030
DAAAKL17_4259
DONBSK21_13630
MALCQQG91_13690
RBZB9057_13280
THWBMG03_18775
TECAKL02_019145
TLBRPE78_06515
LVSLOKVESSMR4R_03626(amn)
YPHYAABB29_19770
YAGAABB28_14595
YRHAABB31_03955
GEHHYN69_17085
GFUKM031_10780
TAWEI545_10145
SALOEF888_00660
SEDIEBB79_20145
PPSOQPJ95_08325
HMLHmaOT1_12265
PSEBEOK75_08445
LITFPZ52_01010
PPRUFDP22_13520
PAEDG5B38_12170
PAMOBAR1_01005
POZI0K15_11350
MONG8E03_00010
PALWPSAL_026280(amn)
PSHQF3W81_15815
PPAFI8N54_00160
PGVSL003B_3370
CACTHZ995_05525
THASC6Y53_14750
HDHG5B40_13210
CMAGCBW24_00490
FAPGR316_09055
GCEKYE46_02355
GYJAADW23_04325
NSMJO391_17385
ACROK3J57_14680
AALKLGT41_0003565
AMYLQBD29_16595
AMAQGO499_16430
RHOCQTA57_06135
PBAEP8S53_04070
RBGBG454_15975
LVRT8T21_10650
BOSGGKR98_11565
MANHLA6_005211(amn)
FAQG5B39_05585
SINRO5O51_14955
RCPRCAP_rcc00250(amn)
RHPLPB142_01875
RBXI3V23_08625
MMRMmar10_0408
GAKX907_0691
GABYAB6B38_00400
HYTHXX25_09160
OAXABWI01_05800
FRBAB6B37_07990
APOPAB6B39_05130
HNEHNE_1294(amn)
HBAHbal_0833
CBOTATE48_05020
HBCAEM38_14770
NARSaro_1413
NPPPP1Y_AT21154
NPNJI59_18915
NREBES08_01780
NOVTQ38_007135
NOTC7W88_10530
NORFA702_00410
NGFFRF71_10420
NDRHT578_20550
NHUMPQ457_11455
NOLNSDW_24260
NCPU0041_16050
NOVOIM701_10315
NOVBACFFDA_16150
SPHMG432_16490
STAXMC45_04735
SPHITS85_06350
SSANNX02_12965
SNJA7E77_14270
SMYBJP26_07620
SPANAWL63_13345
SKRBRX40_16360
SPLMBXU08_02075
SPLKAV944_12640
SPKCKC8_05485
SPHCCVN68_01600
SPHFDM480_12315
SPHAD3Y57_05605
SPAUDRN02_005545
SRHIH9L12_03510
SLANGV829_11635
SPAPH3Z74_07690
SXAFMM02_10555
SPAIFPZ24_09410
SPIIG7077_00905
SSING7078_03625
SARIH5J25_06740
SCHYGVO57_11730
SSUAFPZ54_01595
SBINSBA_ch1_24510(amn)
SAERNEF64_12005
SMORLHA26_08910
SGLCM1K48_04705
SQONMP03_05210
SCABLZK98_14520
SRADLLW23_14465
SHANPPZ50_13665
SNAPPQ455_09410
SNOSK8P63_14300
SDONM9980_03485
SSAGKV697_03880
SABIPBT88_18365
SAAPE2E30_04085
SPNBO3305_02065
SPCLF9288_15745
SPRROIM94_04920
SPMBOKW87_04855
SPSOG4G27_08465
CIJWG74_13400
SPHJBSL82_12465
ACOBP0Y56_03005
SSAARPR59_09710
SPZRG5C33_09840
ACOARB602_07525
SALSala_0167
SPHKSKP52_17990(amn)
SPHPLH20_16480
SMAGAN936_16255
SMAZLH19_18735
STERAOA14_02695
SGISGRAN_3472(amn)
SPHQBWQ93_13145
SPHOC3E99_12165
SPHXE5675_02830
SINAKNJ79_15900
SPEGSPYCW_2779
SPFDSPYCA_0225
SPBSL7H23_13350
SPUSKEC45_16370
SPOGEEB18_013375
SPYFEAO27_17390
SPJJV6U71_16685
SPHUSPPYR_0137(amn)
SWISwit_2669
SPHDHY78_12165
RDICMV14_02445
SJPSJA_C1-16870(amn)
SINBSIDU_06195
SCHSphch_0737
SSYSLG_23640(amn)
SYBTZ53_18925
SBDATN00_13795
SPMIK663_07675
SPHBEP837_00188
SPHRBSY17_2970(amn)
SPHTK426_13170
SHYDCJD35_13075
SYAA6768_08700
SCLOSCLO_1007090
SPYGYGS_C1P1116
SUFLFIL70_07295
SBARH5V43_05765
SAMISAMIE_1012850
SPPHKFK14_11630
SPAGsphantq_03566(amn)
SPCAGL174_04930
SPRSEGM87_05975
SPJSNUH86_05980
SPWTN6H05_15980
SPTASj15T_08330(amn)
SPHGAZE99_02780
SFLASPHFLASMR4Y_01818(amn)
SPHYCHN51_02780
SPHLLPB140_08190
SLAAEUU25_05165
PARJJ4G78_14340 J4G78_14345
PHAOHF685_15145
BLASBSY18_290(amn)
BFWB5J99_10460
PALGHFP57_03980
PARPHFP51_04940
SFLVIC614_08110
SMATWJT74_06100
SMICSmB9_12660(amn)
SPHSETR14_25150
SANDH3309_10100
POQKZX46_07950
PMEAKTC28_03220
AEPAMC99_01394
ALBAEB_P1568
ALHG6N82_14790
ARUEQQX03_06735
ALTNLBX01_13005
ALTCP7228_12480
AAYWYH_00232(amn)
AMXAM2010_652
PMASNCF86_06720
ANHA6F65_01473(amn)
ADOA6F68_02377(amn)
TFVIDJ81_10315
CNAAB433_11910
CMANA9D14_10240
ERYCP97_06215
EGNBMF35_a0044
EFVCHH26_07160
QCINCF85_07325
QSPL1F33_10570
QSOIRL76_06840
QARK3148_13360
QGEK3136_00445
QPSK3166_05170
QXIK3162_00455
QPRSD421_09670
ELIELI_07375
ELQGa0102493_112288
ERKCD351_11245
ERRDVR09_10960
ERFFIU90_11315(amn)
EMVHQR01_10700
PNSA9D12_13235
ERYTKDC96_03675
ERYZF7D01_00800
ERYSLY632_07440
ERQPS060_12805
PORLBG023_112154
PHZCHX26_12005
POTE2E27_10195
PORCCBR61_11745
AFLVQQW98_10580
BMAAT8S45_03080
PAUIWAB17_10865
EBKPF049_10195
GDIGDI0519
GDJGdia_1488
GXYGLX_20990
GXLH845_2875
KNAB0W47_08000
KEUS101446_02584
KSCCD178_00806(amn)
KREGWK63_01450
KOILV478_06985
KSUACM0P6_11050
ASZASN_2751(amn)
APERA0U91_11485
ATOCIW82_17575
ABGAsbog_01843
KBAA0U89_03530
NCHA0U93_11050
EBLAJGUZn3_18030(amn)
LCKHN018_08435
KHAIFJ82_15070
RAPRHOA_1730(amn)
KDPN5W20_04765
NGUQN315_13015
RGIRGI145_04610
ROSCTJ15_12785
RMUCFOB66_06415
AZLAZL_007780(amn)
ALIAZOLI_0689(amn)
ABSAZOBR_200189(amn)
ABQABAZ39_12405
ABFAMK58_02460
ATIAL072_00445
AHUA6A40_02945
AZTTSH58p_09540
AZMDM194_02595
AZZDEW08_09200
AOZHUE56_19855
AARED3093_11375
AZSE6C72_07890
AZPE6C67_31590
ADJACIU1J_01175
NAOY958_10965
NCBC0V82_06515
SKTIGS68_17985
SMUCJL100_008010
SROEJL101_007890
RCERC1_3927(amn)
ACRUHHL28_12400
HTQFRZ44_10840(amn)
HADHFRZ61_11070(amn)
TXITH3_02945
THACCSC3H3_03260
TIIDY252_18355
THAIIT893_03060
TLUR1T41_11575
TTBMACH01_06200(amn)
THGOM9H61_09830
THADIT971_02700
THART8K17_20290
TMOTMO_c0408
HFLPUV54_05800
HFOABFZ83_11710
SNEANBZ79_19385
PCAPcar_2626
DVEDESUT3_09410
DOVDSCO28_31710
DWDDSCW_27710(amn)
DALKDSCA_25990(amn)
DVRDvar_76170
PRUELVJ94_03075
BBABd1233(amn)
BBATBdt_1221(amn)
BBWBDW_04235
BBACEP01_16130
BDCDOE51_05665
BDZDOM22_14210
BDKHW988_13195
BREYMNR06_06850
BEXA11Q_1038
MAIMICA_1501(amn)
MANA11S_1436
BMXBMS_3236
HAXBALOs_2862(amn)
BSTOC0V70_17460
SBFJCM31447_312600
PIJQEJ31_09320
SAQIAXG55_02180
CTRCT_751(amn)
CTDCTDEC_0751(amn)
CTFCTDLC_0751(amn)
CTRDSOTOND1_00805
CTROSOTOND5_00803
CTRTSOTOND6_00803
CTACTA_0820(amn)
CTYCTR_7551(amn)
CRACTO_0820
CTRQA363_00812
CTRXA5291_00811
CTRZA7249_00810
CTRPL11322_00799
CTLJL1115_00799
CTLXL1224_00799
CTLLL1440_00802
CTBCTL0120(amn)
CTRRL225667R_00800
CTLFCTLFINAL_00645
CTLICTLINITIAL_00645
CTLCTLon_0120(amn)
CTRUL2BUCH2_00798
CTRLL2BLST_00798
CTRVL2BCV204_00798
CTRML2BAMS1_00798
CTLAL2BAMS2_00798
CTLML2BAMS3_00798
CTLSL2BAMS4_00798
CTLZL2BAMS5_00799
CTLCL2BCAN1_00800
CTLNL2BCAN2_00797
CTLBL2B795_00798
CTLQL2B8200_00798
CTOCTL2C_825
CTRNL3404_00798
CTJJALI_7561(amn)
CTZCTB_7561(amn)
CTGE11023_03970
CTKE150_04005
CSWSW2_7631(amn)
CESESW3_7631(amn)
CTRBBOUR_00807
CTRESOTONE4_00802
CTRSSOTONE8_00809
CTECEC599_7901(amn)
CFSFSW4_7631(amn)
CFWFSW5_7631(amn)
CTFWSWFP_8251(amn)
CTRFSOTONF3_00803
CTCHO173_04195
CTNG11074_03975
CTQG11222_04000
CTVCTG9301_03990
CTWG9768_03980
CTRGSOTONG1_00804
CTRIBN197_7611(amn)
CTRABN442_7611(amn)
CTRHSOTONIA1_00806
CTRJSOTONIA3_00806
CTRKSOTONK1_00803
CTJTCTJTET1_04175
CTCFCTRC69_04010
CTFSCTRC342_04205
CTHFCTRC852_04220
CTCJCTRC943_03975
CTHJCTRC953_03965
CTMJCTRC966_03985
CTTJCTRC971_03985
CTJSCTRC122_04125
CTRCCTRC55_03985
CTRWCTRC3_04020
CTRYCTRC46_03990
CTCTCTW3_04215
CMUTC_0132
CMURY015_00705
CMNBB17_00725
CMMNC80_00680
CMGNC81_00695
CMXDNC_00695
CMZTAC_00705
CPNCPn_0894(amn)
CPACP_0972
CPJamn(amn)
CPTCpB0925
CLPCPK_ORF00305
CPMG5S_0139
CPECCPE3_0830
CPEOCPE1_0829
CPERCPE2_0830
CHPCPSIT_0921
CHBG5O_0913
CHSCPS0A_0943
CHICPS0B_0929
CHTCPS0D_0938
CHCCPS0C_0939
CHRCpsi_8561
CPSCB711_0992
CPSNB712_0932
CPSBB595_0995
CPSGB598_0928
CPSMB602_0931
CPSIB599_0929
CPSVB600_0989
CPSWB603_0934
CPSTB601_0934
CPSDBN356_8591
CPSAAO9_04485
CAVM832_06410
CCACCA_00874
CABCAB840
CABOAB7_9271
CFECF0142(amn)
CGZM787_001180
CHLAC834K_0895(amn)
CSUIChls_153(amn)
CBUEHBN95_01200
CSEEC10C_0866(amn)
CCRDH9Q19_01670
CPAAFI836_01955
CSAZCs308_0522
PCUPC_RS07325
PNLPNK_2076(amn)
PUVPUV_02920
NEYNCS13_1_0076
WCHwcw_0231(amn)
SNGSNE_A04080(amn)
RHAWRHABOEDO_001666
RPORRHAB15C_0001104
OTEOter_2079
OBGVerru16b_00078(amn)
VBHCMV30_03435
OLEK0B96_05080
SLOMPXH66_12085
ELUTCKA38_12590
AAQWK1X11_022220
TMVOH491_07000
OBTOPIT5_16270
OBAASA1KI_29260
VBAIMCC26134_08785
RMLFF011L_01830(amn)
MFFMFFC18_32170(amn)
ROLCA51_16610(amn)
RUVEC9_17100(amn)
RCFPoly24_21450(amn)
AHELQ31a_04800(amn)
RLCK227x_11380(amn)
SMAMMal15_12860(amn)
SNEPEnr13x_62270(amn)
SMAETBK1r_56480(amn)
LPAVPLANPX_1998
LLHI41_18250(amn)
AMUCPan181_16420(amn)
PNDPla175_33880(amn)
AMOBHG15A2_18800(amn)
BMEISpa11_18160(amn)
BGOKPr1d_19370(amn)
GESVT84_10515(amn)
GOGC1280_19385
GMSSOIL9_18630
FTJFTUN_6439
ULIETAA1_33660(amn)
SACISinac_3451
SINGV5E97_28155
TPLAElP_17990(amn)
TPXTurpa_3260
BTHBT_0888
BTHOBtheta7330_02518(amn)
BFRBF2395
BFSBF9343_2398
BFGBF638R_2438
BFBVU15_10565
BHLBache_2303
BXYBXY_04800
BOABovatus_00758(amn)
BCELBcellWH2_05369(amn)
BCACCGC64_13695
BCAEA4V03_08475
BZGC4H11_01845
BHFC3V43_03255
BISDXK01_015855
BUNBun01g_28120
BEGINE88_03838(amn)
BSTEK6V31_03240
BFEK6V30_16180
BNOK8P02_07405
BHUMJXR92_013350
BFCBacF7301_18235
BSALK6V25_15570
BFINBFINE_37300
BACEH1A11_07365
BDSACNOGP_15545
BZAACNOHN_17420
BVUBVU_3313
BDOEL88_09900
BDHGV66_17855
PCOPI6J50_06345
PGIPG_0948
PGNPGN_1002
PGTPGTDC60_0870
PAHPoras_1027
PCRENCTC12858_00771(amn)
PBTING2E5B_1040
PMUCING2E5A_1713
PETPEIBARAKI_5675
PSACPSM36_1871
PROJKDN43_12860
DYSG7050_04280
DYHG7051_04480
LFGABNK31_08690
PPNPalpr_0730
PDIBDI_1116
PARCCI960_09295
PMERINE87_00641(amn)
PGOLK6V26_09770
PJOLK449_07530
PFAINXY11_08760
PABCNEE14_003170
TFOBFO_2899
TOHBCB71_04635
BVSBARVI_01065
COPRCop2CBH44_05800
CFASCfast33896_04310
OSPOdosp_3564
BUYD8S85_08615
BVIRI6J59_07220
BFHF1611_01325
ALQC7Y71_003475
PCLRPC1C4_24380
TTZFHG85_03435
BLQL21SP5_00550(amn)
DORIFH5T_21760
DRCG0Q07_12910
MCOSGM418_17540
ANFAQPE_3280
HLAMK4L44_00810
HXYK5X82_09080
GHYACOIT5_02450
ASXCDL62_03070
ALKQM9189_09355
MBASALGA_1028
CPICpin_1527
CBAECOR50_09440
CHITFW415_23280
CHIHGWR21_23090
COYHF329_21490
CFILMYF79_07665
CHFKTO58_19420
CHORMKQ68_00635
CSACSIO70_08915
CPOLWJU16_17905
CHIMCK934_09390
CHIIUNH65_26190
NKONiako_5038
NSONIASO_12030
NIAA8C56_16915
NYNU0035_17520
NIJABDK00_014745
FLASY85_06880
FGGFSB75_05455
ARBA9P82_05190
ARKD6B99_10365
AGIFSB73_15770
ATEEK9M52_14955
ARACE0W69_005840
FLNFLA_0655
PSEGD3H65_16490
PGINFRZ67_17980
PGOFSB84_01010
FLSGLV81_11220
LACSH4075_08245
FEIK9M53_13845
FLPLK994_01665
FLCKJS93_10865
FLVKJS94_08250
SEDTTEGAF0_10940
THEOIMW88_01575
CBAMPIECOFPK_01145(amn)
SGNSGRA_3572(amn)
AUPAsAng_0050420
PCAUHWD63_08130
PHEPhep_3079
PEPAQ505_05880
PCMAY601_0242
PSTYBFS30_16130
PGSCPT03_11640
PEJFYC62_02360
PEKFFJ24_004195
PROEH9L23_05190
PEXIZT61_21150
PMUOLOK61_10520
PRKH9N25_04575
PGJQG516_08970
PEVKYH19_03915
PEDOAB3G38_11270
PSNPedsa_1865
SHGSph21_2927
SHTKO02_07280
SPHNBV902_18880
SMIZ4412673_01066(amn)
SPSCE2P86_03850
SPHZE3D81_11160
SPHEGFH32_13350
SPDRG6053_10275
SDJNCTC13534_03677(amn_1)
STHANCTC11429_04924(amn)
SSPII6J01_01560
SMUII6J00_07275
SSIYJVX97_12675
SFAEMUK51_11220
SBAMSCB77_06155
SOPPQ465_15950
SPRZVXM68_19145
SCNSolca_4177
SLASL2B55_02880
MUPA0256_12200
MUCMuYL_1945
MGOTMgSA37_03354(amn)
MUHHYN43_005400
MGINFRZ54_20240
MGKFSB76_27100
MRUBDEO27_005620
MGOSDIU38_014040
MMABHQ865_07830
MGIKGO620_004125
MDJLLH06_12510
MROBHH214_16955
MJJPQO05_19480
MSABSNE25_23805
MUYSNE26_13090
MUGINP83_10050
AGDFRZ59_05210
OLIFKG96_12045
SBXCA265_04280
CHUCHU_1998(amn)
SLISlin_0368
SRDSD10_05340
SMONAWR27_13805
SPIRCWM47_12425
SPIKEXU85_28080
SPIBG8759_28285
STAEHNV11_04755
SRHOHH216_10305
SOQLQ777_07370
SFOLH3H32_24225
SENFGJR95_14385
RHOZGXP67_18600
PSEZHME7025_01705
AANHG9X63_09110
ALENG9X62_09195
LBYLbys_1696
EOLEmtol_3320
EMZMB380_04165
ALSDJ013_07360
MAQALAG90_08205
DFEDfer_2420
DSNHWI92_09055
DYCNFI80_03315
DFQNFI81_09390
DCNMUK70_12260
DPFON006_16305
DENDACN9ML_14405
RSIRunsl_1016
RUNDR864_14125
RUPDTQ70_21735
FAEFAES_4508
FIBA6C57_24825
FLIFleli_0523
HSWHsw_1476
HYMN008_00935
HYDPK28_07965
HYEAM218_08350
HYGAUC43_16005
HYPA0257_19685
HYZAXW84_08160
HNVDDQ68_02545
HYHD3Y59_06780
HYJFHG12_00725
HRSHER32_17935
HBNGUY19_06040
HTSHMJ29_14755
HMTMTP16_16555
HTBMTX78_08345
HYKO9Z63_04575
HSKH4317_12345
HCWO3303_02830
HSBMWH26_05720
HAEIMUN82_11300
HCUMUN79_16070
HVLMUN86_07840
HCFMUN80_14505
PKOPKOR_15085
PACTCA264_04330
PONTC1N53_04680
RUFTH63_08645
RTIDC20_20235
RUDTH61_16140
NIBGU926_03920
ADDHUW48_14775
ASWUHUW51_23045
MTTFtrac_1028
MHAAQ3Y49_12365
MARPQYS47_02770
MSAAQYS49_15185
FBTD770_05635
CHRWKA713_07955
CHKD4L85_19675
FUVJR347_16470
FUALVD17_18115
REKN6H18_10905
RCGN7E81_16120
PRHOPZB74_09635
CNQPZB72_12520
RSRT7867_19310
FKIFK004_06185
FTEFluta_1330
FLUCHH17_18440
CRMK6119_02760
CHYDH4K34_06685
PTANCRYO30217_01094(amn)
SHYRLA303_02300
BBAUAEM51_06280
IALIALB_2166(amn)
MROMROS_1663
CPRVCYPRO_3090
CABYCabys_1543
PARHI5S86_04100(amn)
VCOPMM50RIKEN_03780
CGLCgl0095(Cgl0095)
CGBcg0124(amn)
CGUWA5_0094(Amn)
CGTcgR_0113
CGSC624_00545
CGGC629_00545
CGMcgp_0124(amn)
CGJAR0_00770
CGQCGLAR1_00775
CGXSB89_00525
CEFCE0099
CARcauri_0073(amn)
CPUCPFRC_00325(amn)
CPLCp3995_0065(amn)
CPGCP316_00380(amn)
CPPCpP54B96_0068(amn)
CPKCP1002_00325(amn)
CPQCPC231_00325(amn)
CPXCPI19_00325(amn)
CPZCpPAT10_0064(amn)
CORCp267_0072(amn)
COPCP31_00375(amn)
CODCp106_0064(amn)
COSCp4202_0063(amn)
COICPCIP5297_00380(amn)
COECP258_00380(amn)
COUCP162_00390(amn)
CPSECPTA_00588
CPSUCPTB_00944
CPSFCPTC_00605
CULCULC22_00092(amn)
CUCCULC809_00095(amn)
CUECULC0102_0086(amn)
CUNCul210932_0097(amn)
CUQCul210931_0094(amn)
CUZCul05146_0091(amn)
CUJCUL131002_0088(amn)
CUSCulFRC11_0093(amn)
CHNA605_00525
CCNH924_00530
CMDB841_00560
CCGCCASEI_01000
CVTB843_00435
CAXCATYP_00245
CIICIMIT_00385
CUVCUREI_00280
COADR71_1216(amn)
CDOCDOO_00500
CHMB842_00295
CSXCSING_00310(amn)
CMQB840_00490
CCJUL81_00375(amn)
CMVCMUST_00395(amn)
CEICEPID_00765
CTEDCTEST_00420
CUTCUTER_00290(amn)
CLWCLAC_00725
CDXCDES_00485
CSPWM42_1296(amn)
CSTACSTAT_00875
CCJZccrud_00550
CFKCFRA_00295
CPHOCPHO_00275
CFCCFLV_00730
CGVCGLAU_00255(amn)
CSTRCBE89_00555
CAQUCAQU_00235
CSPHCSPHI_00545
CAMGCAMM_00885
CMINNCTC10288_02476(amn)
CXEFOB82_06310
CEECENDO_00520(amn)
CSANE3227_03745(amn)
CRLNCTC7448_00881(amn)
CCHOCCHOA_00070(amn)
CSURN24_0123(amn)
CCYSSAMEA4530656_2459(amn)
CMATHBA49_07455(amn)
CYZC3B44_00315(amn)
CKFI6I12_00675(amn)
CLIAC3E79_00345(amn)
CAMCI6I65_08215
CGLUI6J20_08920(amn)
CSILCBE74_00435
CTUBI6I74_05650(amn)
CLUJIAU68_00275(amn)
CQNG7Y29_00300(amn)
CKWCKALI_00625(amn)
CCOECETAM_00775(amn)
COKCOCCU_00650(amn)
CMFGWO64_000355(amn)
CWKIA203_00955(amn)
CUWLH390_00235(amn)
CACCCACC_00325(amn)
CFYI6L56_09100
CHINJ5O04_00995(amn) J5O04_01075(amn)
CJHCJEDD_00310(amn)
CMASCMASS_00385(amn)
CIHUCIHUM_00265(amn)
CCOYCCOY_00280(amn)
CHADCHAD_00300(amn)
CFGCFREI_00205(amn)
CAQMCAQUA_00440(amn)
CAUICAURIS_00430(amn)
CFACCFAEC_00385(amn)
CFOUCFOUR_00280(amn)
CFEUCFELI_02030(amn)
CATRCATRI_00430(amn)
CDURCDUR_00320(amn)
CCOUCCONF_00470(amn)
CHANCHAN_00815(amn)
CAFECAFEL_00290(amn)
CGFCGUA_00500(amn)
CGOICGOTT_00330(amn)
CAPPCAPP_00275(amn)
CSUEQP029_04330(amn)
CBREQP027_00045(amn)
CPYRCYJ47_11780(amn)
CRIEAK829_09640
CIKH0194_06085(amn)
CGPKBP53_00370(amn)
CHESR3O64_00335(amn)
CORSPAB09_00545(amn)
CORERIU96_02520(amn)
CRHNQP973_000440(amn)
BFVC628_00610
NBRO3I_033155
NTPCRH09_20705
NOZDMB37_12180
NAHF5544_15755
NWLNWFMUON74_34810(amn)
NIEKV110_23260
NVUV7968_40980
DTMBJL86_0658
LXXLxx11960(amn)
LXYO159_13120
LEIFHF024_10150
LSEF1C12_02865
NROK8W59_18225
ACTWF7P10_23470
PSEAWY02_28110
PSEEFRP1_14620
PSEHXF36_14885
PSEQAD006_22285
PECQAD017_01870
PHHAFB00_22995
PAUTPdca_40870
PALQPaSha_26480
ACTYOG774_15185
SNASnas_3407
ATQGH723_12885
LEPVJ4558_22515
OCYOSSY52_19410
 » show all
Reference
1  [PMID:13428783]
  Authors
HURWITZ J, HEPPEL LA, HORECKER BL.
  Title
The enzymatic cleavage of adenylic acid to adenine and ribose 5-phosphate.
  Journal
J Biol Chem 226:525-40 (1957)
Other DBs
ExplorEnz - The Enzyme Database: 3.2.2.4
IUBMB Enzyme Nomenclature: 3.2.2.4
ExPASy - ENZYME nomenclature database: 3.2.2.4
BRENDA, the Enzyme Database: 3.2.2.4
CAS: 9025-45-0
LinkDB

KEGG   REACTION: R00182
Entry
R00182                      Reaction                               
Name
AMP phosphoribohydrolase
Definition
AMP + H2O <=> Adenine + D-Ribose 5-phosphate
Equation
Reaction class
RC00063  C00020_C00147
RC00318  C00020_C00117
Enzyme
Pathway
rn00230  Purine metabolism
rn01100  Metabolic pathways
rn01232  Nucleotide metabolism
Brite
Enzymatic reactions [BR:br08201]
 3. Hydrolase reactions
  3.2  Glycosylases
   3.2.2  Hydrolysing N-glycosyl compounds
    3.2.2.4
     R00182  AMP + H2O <=> Adenine + D-Ribose 5-phosphate
Orthology
K01241  AMP nucleosidase [EC:3.2.2.4]
K06966  pyrimidine/purine-5'-nucleotide nucleosidase [EC:3.2.2.10 3.2.2.-]
Other DBs
RHEA: 20132
LinkDB

DBGET integrated database retrieval system