KEGG   ORTHOLOGY: K01518
Entry
K01518                      KO                                     
Symbol
NUDT2
Name
bis(5'-nucleosidyl)-tetraphosphatase [EC:3.6.1.17]
Pathway
map00230  Purine metabolism
map00240  Pyrimidine metabolism
map01100  Metabolic pathways
Reaction
R00184  P1,P4-bis(5'-adenosyl)-tetraphosphate adenylohydrolase
R00969  P1,P4-bis(5'-uridyl)-tetraphosphate uridylohydrolase
R01232  P1,P4-bis(5'-guanosyl)-tetraphosphate guanylylhydrolase
R02805  P1,P4-bis(5'-nucleosyl)-tetraphosphate nucleotidohydrolase
Disease
H02463  Syndromic intellectual developmental disorder
Brite
KEGG Orthology (KO) [BR:ko00001]
 09100 Metabolism
  09104 Nucleotide metabolism
   00230 Purine metabolism
    K01518  NUDT2; bis(5'-nucleosidyl)-tetraphosphatase
   00240 Pyrimidine metabolism
    K01518  NUDT2; bis(5'-nucleosidyl)-tetraphosphatase
Enzymes [BR:ko01000]
 3. Hydrolases
  3.6  Acting on acid anhydrides
   3.6.1  In phosphorus-containing anhydrides
    3.6.1.17  bis(5'-nucleosyl)-tetraphosphatase (asymmetrical)
     K01518  NUDT2; bis(5'-nucleosidyl)-tetraphosphatase
Other DBs
GO: 0004081
Genes
HSA: 318(NUDT2)
PTR: 465056(NUDT2)
PPS: 100971204(NUDT2)
GGO: 101152305(NUDT2)
PON: 100457720(NUDT2)
PPYG: 129044676(NUDT2)
NLE: 100585591(NUDT2)
HMH: 116475028(NUDT2)
SSYN: 129490249(NUDT2)
MCC: 701795(NUDT2)
MCF: 102144582(NUDT2)
MNI: 105485679(NUDT2)
CSAB: 103219273(NUDT2)
CATY: 105590062(NUDT2)
PANU: 101012330(NUDT2)
TGE: 112608093(NUDT2)
MLEU: 105539664(NUDT2)
RRO: 104680000(NUDT2)
RBB: 108542177(NUDT2)
TFN: 117099055(NUDT2)
PTEH: 111536796(NUDT2)
CANG: 105517824(NUDT2)
CJC: 100391999(NUDT2)
SBQ: 101041101(NUDT2)
CIMI: 108314192(NUDT2)
ANAN: 105724548(NUDT2)
CSYR: 103273491(NUDT2)
MMUR: 105874358(NUDT2)
LCAT: 123646201(NUDT2)
ERUF: 138387365(NUDT2)
PCOQ: 105820604(NUDT2)
OGA: 100959596(NUDT2)
MMU: 66401(Nudt2)
MCAL: 110293240(Nudt2)
MPAH: 110338907(Nudt2)
RNO: 297998(Nudt2)
MCOC: 116095839(Nudt2)
ANU: 117708899(Nudt2)
ASYL: 127680671(Nudt2)
MUN: 110547105(Nudt2)
CGE: 100769146(Nudt2)
MAUA: 101844845(Nudt2)
PROB: 127224534(Nudt2)
PLEU: 114703240(Nudt2)
PMAV: 102929149(Nudt2)
MORG: 121458439(Nudt2)
MFOT: 126509922
AAMP: 119803077 119826791(Nudt2)
CNL: 130888021(Nudt2)
NGI: 103741578(Nudt2)
HGL: 101699878(Nudt2)
CPOC: 100721527(Nudt2)
CCAN: 109686494(Nudt2)
DORD: 105993363(Nudt2)
DSP: 122122490(Nudt2)
DMER: 138818060(Nudt2)
PLOP: 125365242(Nudt2)
NCAR: 124964549
MMMA: 107147842(Nudt2)
ITI: 101964663(Nudt2)
OCU: 100343183
OPI: 101525497(NUDT2) 101525854
OCZ: 121144772(NUDT2)
TUP: 102486667(NUDT2)
GVR: 103606253(NUDT2)
CFA: 474746(NUDT2)
CLUD: 112649875(NUDT2)
VVP: 112927541(NUDT2)
VLG: 121495458(NUDT2)
NPO: 129494538(NUDT2)
AML: 100480031(NUDT2)
UMR: 103667047(NUDT2)
UAH: 113260512(NUDT2)
UAR: 123781242(NUDT2)
ELK: 111146086
LLV: 125083967
MPUF: 101676772(NUDT2)
MNP: 132024654(NUDT2)
MLK: 131812428(NUDT2)
NVS: 122917517(NUDT2)
ORO: 101367590(NUDT2)
EJU: 114218271(NUDT2)
ZCA: 113933944(NUDT2)
MLX: 118018012(NUDT2)
NSU: 110581541(NUDT2)
LWW: 102748665(NUDT2)
FCA: 101082099(NUDT2)
PYU: 121034586(NUDT2)
PCOO: 112871761(NUDT2)
PBG: 122474900(NUDT2)
PVIV: 125150027(NUDT2)
LRUF: 124525918
LGF: 123593538(NUDT2)
AJU: 106975853
PTG: 102968333(NUDT2)
PPAD: 109252028(NUDT2)
PUC: 125918926
PLEZ: 122205587(NUDT2)
HHV: 120241745(NUDT2)
BTA: 768044(NUDT2)
BOM: 102273937(NUDT2)
BIU: 109563186(NUDT2)
BBUB: 102400876(NUDT2)
BKE: 129650420(NUDT2)
BBIS: 104988695(NUDT2)
CHX: 102169758(NUDT2)
OAS: 101123091(NUDT2)
BTAX: 128052602(NUDT2)
CSUM: 138081442(NUDT2)
CCAD: 122431815(NUDT2)
MREE: 136176802(NUDT2)
OVR: 110145604(NUDT2)
MBEZ: 129556952(NUDT2)
SSC: 397577(NUDT2)
CFR: 102521003(NUDT2)
CBAI: 105078758(NUDT2)
CDK: 105085587(NUDT2)
VPC: 102534467(NUDT2)
BACU: 103006665(NUDT2)
BMUS: 118896506(NUDT2)
LVE: 103079666(NUDT2)
OOR: 101278417(NUDT2)
LALB: 132523731(NUDT2)
GMF: 115840187(NUDT2)
DDP: 132427443(NUDT2)
DLE: 111163157(NUDT2)
PCAD: 102988464(NUDT2)
PSIU: 116754929(NUDT2)
PPHC: 136124749(NUDT2)
NASI: 112405447(NUDT2)
ECB: 100054044(NUDT2)
EPZ: 103564364(NUDT2)
EAI: 106841396(NUDT2)
MYB: 102259354(NUDT2)
MYD: 102754972(NUDT2)
MMYO: 118653338 118667381(NUDT2)
MLF: 102429432(NUDT2)
MDT: 132212082(NUDT2) 132224316
MYUM: 139021099(NUDT2)
PKL: 118716397(NUDT2)
EFUS: 103286621(NUDT2)
DRO: 112304497(NUDT2)
SHON: 118979874(NUDT2)
AJM: 119053824(NUDT2)
PDIC: 114498659(NUDT2)
PHAS: 123820020(NUDT2)
MMF: 118629709(NUDT2)
PPAM: 129078392(NUDT2)
HAI: 109371792(NUDT2)
RFQ: 117031977(NUDT2)
PALE: 102896710(NUDT2)
PGIG: 120612906(NUDT2)
PVP: 105306425(NUDT2)
RAY: 107502797(NUDT2)
MJV: 108395430(NUDT2)
TOD: 119231863(NUDT2)
SARA: 101545181(NUDT2)
SFUM: 130026289(NUDT2)
SETR: 126009654(NUDT2)
LAV: 100657619(NUDT2)
TMU: 101361419
ETF: 101645769(NUDT2)
DNM: 101425616(NUDT2)
MDO: 100021241(NUDT2)
GAS: 123231041(NUDT2)
SHR: 100923669(NUDT2)
AFZ: 127540977
PCW: 110194532(NUDT2)
TVP: 118830602(NUDT2)
PBRV: 138172216(NUDT2)
MLAO: 141495370(NUDT2)
OAA: 100088234(NUDT2)
TACU: 119925769(NUDT2)
GGA: 427399(NUDT2)
MGP: 100549295(NUDT2)
CJO: 107305739(NUDT2)
TPAI: 128074662(NUDT2)
LMUT: 125687431(NUDT2)
NMEL: 110389297(NUDT2)
APLA: 101790344(NUDT2)
AACU: 137848249(NUDT2)
ACYG: 106045165(NUDT2) 125181766
CATA: 118257693(NUDT2)
AFUL: 116500658(NUDT2)
TGU: 100225183(NUDT2)
LSR: 110484147(NUDT2)
SCAN: 103820656(NUDT2)
PMOA: 120500081(NUDT2)
OTC: 121345269(NUDT2)
PRUF: 121350460(NUDT2)
ATRC: 139589345(NUDT2)
GFR: 102037058(NUDT2)
FAB: 101813659(NUDT2)
OMA: 130265229(NUDT2)
PHI: 102108717(NUDT2)
PMAJ: 107216319(NUDT2)
CCAE: 111941034(NUDT2)
CCW: 104686550(NUDT2)
CBRC: 103623837(NUDT2)
ACOE: 138103142(NUDT2)
ETL: 114060147(NUDT2)
ZAB: 106629169(NUDT2)
ZLE: 135459412(NUDT2)
ACHL: 103809706(NUDT2)
SVG: 106859078(NUDT2)
MMEA: 130575622(NUDT2)
HRT: 120765751(NUDT2)
SATI: 136373680(NUDT2)
CFAI: 136288131(NUDT2)
CCIC: 134056444(NUDT2)
FPG: 101924519(NUDT2)
FCH: 102057462(NUDT2)
CCRI: 104154907(NUDT2)
NNT: 104400027(NUDT2)
SHAB: 115600881(NUDT2)
ACUN: 113489663(NUDT2)
SURA: 141937481(NUDT2)
TALA: 104367338(NUDT2)
ACHC: 115336634(NUDT2)
HALD: 104319071(NUDT2)
HLE: 104832906(NUDT2)
AGEN: 126035952
HHAR: 128136853(NUDT2)
BBUT: 142027047(NUDT2)
GCL: 127027569
CSTI: 104562606(NUDT2)
LDI: 104352976(NUDT2)
DPUB: 104307802(NUDT2)
PPUS: 135193135(NUDT2)
AVIT: 104267018(NUDT2)
BRHI: 104500396(NUDT2)
EGZ: 104133822(NUDT2)
NNI: 104017972(NUDT2)
PCRI: 104024248(NUDT2)
PCAO: 104046049(NUDT2)
PADL: 103923258(NUDT2)
AFOR: 103906351(NUDT2)
FGA: 104082884(NUDT2)
CBOR: 142076031(NUDT2)
GSTE: 104250717(NUDT2)
CBOY: 140650587(NUDT2)
MAME: 142402600(NUDT2)
CLV: 102090406(NUDT2)
CNIC: 136001990(NUDT2)
MUI: 104543019(NUDT2)
PGUU: 104457804(NUDT2)
PLET: 104624009(NUDT2)
EHS: 104510714(NUDT2)
CMAC: 104473235(NUDT2)
CUCA: 104056542(NUDT2)
TEO: 104369944(NUDT2)
BREG: 104642651(NUDT2)
GAME: 129199972(NUDT2)
OHA: 104337949(NUDT2)
ACAR: 104517763(NUDT2)
CPEA: 104385355(NUDT2)
CVF: 104290615(NUDT2)
RTD: 128902854(NUDT2)
CRID: 134508350(NUDT2)
LMIC: 141736192(NUDT2)
NARQ: 141477106(NUDT2)
AAM: 106493695(NUDT2)
AROW: 112974596(NUDT2)
NPD: 112947372(NUDT2)
TGT: 104566545(NUDT2)
DNE: 112987800(NUDT2)
SCAM: 104152002(NUDT2)
ASN: 102378006(NUDT2)
AMJ: 102575786(NUDT2)
CPOO: 109307782(NUDT2)
GGN: 109297969(NUDT2)
PSS: 102448176(NUDT2)
CIZ: 142013885(NUDT2)
CMY: 102936506(NUDT2)
CCAY: 125636873(NUDT2)
LKP: 140911086(NUDT2)
NDS: 141987171(NUDT2)
DCC: 119856150(NUDT2)
CPIC: 101952762(NUDT2)
TST: 117886595(NUDT2)
CABI: 116824510(NUDT2)
MRV: 120408480(NUDT2)
ACS: 100565132(nudt2)
ASAO: 132766823(NUDT2)
PVT: 110080485(NUDT2)
SUND: 121924178(NUDT2)
PBI: 103055787(NUDT2)
PMUR: 107298975(NUDT2)
CTIG: 120320211(NUDT2)
TSR: 106555387(NUDT2)
PGUT: 117659798(NUDT2)
PCAE: 139313386(NUDT2)
APRI: 131192639(NUDT2)
PTEX: 113444938(NUDT2)
NSS: 113425389(NUDT2)
VKO: 123030273(NUDT2)
PMUA: 114606354(NUDT2)
PRAF: 128423611(NUDT2)
ZVI: 118077353(NUDT2)
HCG: 128346450(NUDT2)
GJA: 107122912(NUDT2) 107125474
STOW: 125436618(NUDT2)
EMC: 129334807(NUDT2)
XLA: 100049779(nudt2.S) 108707300
XTR: 448765(nudt2)
NPR: 108797456(NUDT2)
RTEM: 120925594(NUDT2)
ACAT: 141131186(NUDT2)
PADS: 140332296(NUDT2)
BBUF: 120992298(NUDT2)
BGAR: 122924819(NUDT2)
DTC: 141056390(NUDT2)
PWL: 138267402(NUDT2)
MUO: 115461830(NUDT2)
GSH: 117356377(NUDT2)
DRE: 436595(nudt2)
CCAR: 109045220 109054174(nudt2)
CAUA: 113038843(nudt2)
CGIB: 127986638
PTET: 122326521(nudt2)
LROH: 127152283(nudt2)
GRF: 141292852(nudt2)
OMC: 131528477(nudt2)
RKG: 130090711(nudt2)
MAMB: 125252162(nudt2)
CIDE: 127503576
CERY: 137012092(nudt2)
TROS: 130570408(nudt2)
TDW: 130408252(nudt2)
MANU: 129423847(nudt2)
PDAB: 135721646(nudt2)
IPU: 108278969
IFU: 128622281(nudt2)
PHYP: 113535629(nudt2)
SMEO: 124397863(nudt2)
TFD: 113646425(nudt2)
TVC: 132860519(nudt2)
CGAR: 128507834(nudt2)
NGRA: 132895183(nudt2)
TRN: 134330312(nudt2)
AMEX: 103027026(nudt2)
CMAO: 118819711(nudt2)
EEE: 113573439(nudt2)
CHAR: 122131814(nudt2)
SPIL: 134100744(nudt2)
ASAD: 121679536(nudt2)
TRU: 101079847(nudt2)
TFS: 130524439(nudt2)
LCO: 104928938(nudt2)
NCC: 104941147(nudt2)
TBEN: 117475571(nudt2)
CGOB: 115008456(nudt2)
PGEO: 117446905(nudt2)
GACU: 117561889(nudt2)
EMAC: 134882444(nudt2)
ELY: 117256602(nudt2)
EFO: 125893981(nudt2)
PLEP: 121953633(nudt2)
SLUC: 116034765(nudt2)
ECRA: 117944022(nudt2)
ESP: 116688551(nudt2)
PFLV: 114554646(nudt2)
GAT: 120834604(nudt2)
PPUG: 119193926(nudt2)
AFB: 129105334(nudt2)
CLUM: 117730543(nudt2)
PSWI: 130208743(nudt2)
CANA: 137796621(nudt2)
CVE: 137879350(nudt2)
MSAM: 119886827(nudt2) 119890904
SCHU: 122864128(nudt2)
CUD: 121507186(nudt2)
SPUL: 138606314(nudt2)
LMIX: 132977565(nudt2)
HTC: 141788921(nudt2)
ALAT: 119021951(nudt2)
ASTR: 137595445(nudt2)
MZE: 101464848(nudt2)
ONL: 100691256(nudt2)
OAU: 116326528(nudt2)
OLA: 101167782(nudt2)
OML: 112144648(nudt2)
CSAI: 133449500(nudt2)
XMA: 102237226(nudt2)
XCO: 114135263(nudt2)
XHE: 116710235(nudt2)
PRET: 103464996(nudt2)
PFOR: 103139584(nudt2)
PLAI: 106949156(nudt2)
PMEI: 106931326(nudt2)
GAF: 122834419(nudt2)
PPRL: 129358505(nudt2)
CVG: 107087980(nudt2)
CTUL: 119778558(nudt2)
GMU: 124856137(nudt2)
NFU: 107385477(nudt2)
KMR: 108239825(nudt2)
ALIM: 106523571(nudt2)
NWH: 119412207(nudt2)
AOCE: 111581206(nudt2)
EJA: 138204326(nudt2)
BFRE: 138628833(nudt2)
MCEP: 125006322(nudt2)
CSEM: 103386417(nudt2)
POV: 109629183(nudt2)
SSEN: 122768031(nudt2)
SSOE: 131461217(nudt2)
HHIP: 117762239(nudt2)
HSP: 118104700(nudt2)
PPLT: 128449237(nudt2)
SMAU: 118309324(nudt2)
LCF: 108899692
SDU: 111221872(nudt2)
SLAL: 111670920(nudt2)
XGL: 120807364(nudt2)
HCQ: 109522578(nudt2)
SSCV: 125977675(nudt2)
SBIA: 133507801(nudt2)
PEE: 133408290(nudt2)
PTAO: 133483380(nudt2)
BPEC: 110166722(nudt2)
ENY: 140372446 140372447(nudt2)
MALB: 109956140(nudt2)
BSPL: 114856310(nudt2)
SJO: 128356284(nudt2)
SSCO: 133977369(nudt2)
TTY: 137181882(nudt2)
GMH: 115556768(nudt2)
SASA: 106583421(nudt2)
STRU: 115150209(nudt2)
OTW: 112254934(nudt2)
OMY: 110528456(nudt2)
OGO: 124027662(nudt2)
ONE: 115143264(nudt2)
OKI: 109891368(nudt2)
OKE: 118400544(nudt2)
OMM: 135541474(nudt2)
OCLA: 139414429
SALP: 111970424(nudt2)
SNH: 120064633(nudt2)
SFON: 129815216(nudt2)
CCLU: 121578049(nudt2)
ELS: 105016785(nudt2)
OEP: 134017677(nudt2)
SFM: 108931196
PKI: 111843780(nudt2)
AANG: 118212079(nudt2)
AROT: 135240155(nudt2)
CCOG: 133105677(nudt2)
LOC: 102683637(nudt2)
PSPA: 121304784 121307145(nudt2)
PSEX: 120532829(nudt2)
CMK: 103180986(nudt2)
RTP: 109934791(nudt2)
CPLA: 122555456(nudt2)
CPUN: 140478976(nudt2)
HOC: 132818611(nudt2)
SCAU: 119962723(nudt2)
LERI: 129695604(nudt2)
HAKA: 140737673(nudt2)
PMRN: 116940213(NUDT2)
LRJ: 133350682(NUDT2)
BFO: 118410414
CLEP: 143447491
LPIC: 129260975
AJJ: 139978250
ARUN: 117296073
AAMU: 139941533
AFIL: 140159630
AJC: 117118070
SKO: 100371369
PFLL: 139121076
DME: Dmel_CG31713(Datp)
DER: 6541522
DSE: 6611887
DSI: Dsimw501_GD11976(Dsim_GD11976)
DAN: 6496976
DSR: 110183217
DPO: 4817435
DPE: 6589271
DMN: 108162604
DWI: 6642607
DGR: 6562399
DAZ: 108610808
DNV: 115562645
DHE: 111603945
DVI: 6633962(Datp)
CCAT: 101458320
BOD: 106623267
BDR: 105223747
AOQ: 129247795
ALUD: 128863411
TDA: 119689481
SCAC: 106086895
LCQ: 111688415
LSQ: 119600804
CVJ: 135950998(Apf)
GFS: 119640545
ECOE: 129948015
CLON: 129619089
AGA: 1277476
ACOZ: 120955684
AARA: 120900671
AMER: 121595364
ASTE: 118509891
AMAP: 126560510
AFUN: 125761172
AMOU: 128300554
AMRS: 128715850
AALI: 118456389
ADAR: 125950458
ACOS: 131261961
AAG: 5573956
AALB: 109621853
ASUA: 134213502
CPII: 120423117
CBRI: 134830808
BCOO: 119070885
LLL: 129789977
PPAP: 129805687
AME: 724681
ACER: 108003652
ALAB: 122720699
ADR: 102679883
AFLR: 100869962
BIM: 100743272
BBIF: 117213058
BVK: 117236196
BVAN: 117158026
BHUN: 126869622
BTER: 100645111
BAFF: 126919283
BPYO: 122567814
BPAS: 132910889
FVI: 122532175
CCAL: 108622608
OBB: 114879097
OLG: 117600881
NMEA: 116433221
CGIG: 122399812
MPHA: 105837502
AEC: 105154300
ACEP: 105618775
ACOC: 108695154
MZT: 108722951(Apf)
CCOA: 108779891
TCZ: 108770131
TSEP: 108753679
PBAR: 105430835
VEM: 105561993
COBS: 139106452(Apf)
TLN: 139808482(Apf)
HST: 105183962
DQU: 106745139
CFO: 105256553
FEX: 115242606
PMEC: 138940117(Apf)
LHU: 105675125(Datp)
PGC: 109859244
OBO: 105276354
PCF: 106786781
PFUC: 122522930
VPS: 122629828
VCRB: 124425336
VVE: 124949043
NVI: 100117701
CSOL: 105359353
LHT: 122497909
LBD: 127281833
MDL: 103568904
CGLO: 123260000
CTYP: 141524799(Apf)
FAS: 105264694
DAM: 107038214
AGIF: 122849053
CINS: 118070236
VCAN: 122415083
CCIN: 107271802
DSM: 124407524
NPT: 124214175(Apf)
NFB: 124178432
NLO: 107219914
NVG: 124301384
AROA: 105683264
TCA: 658593
TMOL: 138124364(Datp)
DPA: 109538612
ESIM: 136408748(Apf)
EFOR: 136350643(Apf)
SOY: 115884960
RFG: 143196484(Datp)
AGRG: 126735408
ATD: 109602210
CSET: 123309412
HAXR: 123674009
LDC: 111502668
NVL: 108565952
OTU: 111429147
BMOR: 101741900
BMAN: 114253193
MSEX: 115454892
BANY: 112052881
MJU: 123875661
NIQ: 126774690
VCD: 124537279
MCIX: 123661500
PMAC: 106715802
PPOT: 106102441
PXU: 106114116
BPHI: 137921579(Datp)
PRAP: 110994451
PBX: 123715900
PNAP: 125048708
ZCE: 119832032
CCRC: 123698913
LSIN: 126978022
AAGE: 121737116
HAW: 110371218(datP)
HZE: 124638141
TNL: 113505248
SLIU: 111356184
OFU: 114357504
ONU: 135079737
ATRA: 106137249
GMW: 113521926
PXY: 105390704
PGW: 126374475
CSTB: 134749261
CFUM: 141434646(Datp)
CCRN: 123297711
API: 100164487
DNX: 107168462
AGS: 114123408
RMD: 113553176
DVT: 126896334
BTAB: 109042310
DCI: 103511012
HHAL: 106686478(Apf)
NLU: 111060252
LDA: 142321576(Datp)
HVI: 124360700
FOC: 113209989
TPAL: 117647794
CSEC: 111865764
PAME: 138696822(Datp)
SGRE: 126266896
BROR: 134540482
IEL: 124165057
HAMR: 139692779(Datp)
DMK: 116925148
DPZ: 124349593
AFRA: 136031375
PVM: 113822959(Datp)
PJA: 122247620
PMOO: 119568047
HAME: 121879132
PCLA: 123769815(Datp)
CQD: 128699616(Datp)
PTRU: 123503804
ESN: 127002687
PORN: 139757082(Datp)
HAZT: 108664899
OOT: 143022918(Datp)
EAF: 111697162
LSM: 121126411(Datp)
CEL: CELE_Y37H9A.6(ndx-4)
CBR: CBG_13634(Cbr-ndx-4)
BMY: BM_BM6409(Bma-ndx-4)
TSP: Tsp_08826
PCAN: 112553481
BARL: 143287499
BGT: 106068560
HRF: 124117455
HRJ: 124289006
CANU: 128189468
CVN: 111135133
OED: 125664781
PMAX: 117334180
YBA: 132552094
MMER: 123565784
RPHI: 132746917
DPOL: 127877637
OBI: 106872785
OSN: 115223230
LJP: 135473722
LLON: 135483964
NVE: 5502066
EPA: 110243084
ATEN: 116299953
AMIL: 114959385
MCAZ: 138032710
MFOO: 137991121
PDAM: 113672949
SPIS: 111321736
DGT: 114535854
HMG: 100200531
RES: 135687003
PLAG: 39740511(PADL01_0519600)
PMAL: PMUG01_10024000(Ap4AH)
PBRS: 92371278(MKS88_003191)
TAN: TA07740
TPV: TP04_0303
CPV: cgd3_1950
MMAI: sS8_1576
MCAU: MIT9_P1523
NOC: Noc_1415
AEH: Mlg_2766
HHA: Hhal_1059
TBN: TBH_C0663
TEE: Tel_03045
SLIM: SCL_0076
CGD: CR3_4394(mutT)
SAT: SYN_03150
WCH: wcw_1373
MIN: Minf_0419(mutT)
MKC: kam1_578
MEAP: MTHMO_0645
RBA: RB2978
PSL: Psta_4141
PIR: VN12_15900(ndx1)
RUL: UC8_49690(mutT4)
AHEL: Q31a_62270
AAGG: ETAA8_66730(mutT4)
PLM: Plim_3496
FMR: Fuma_04506(mutT)
PBOR: BSF38_01662(mutT4)
AGV: OJF2_16300(mutT4)
TPLA: ElP_22320(mutT4)
LJH: LJP_0715
LAC: LBA0465(mutT)
LAD: LA14_0493
LAF: SD55_0492
LGA: LGAS_0791
LHE: lhv_0501
LHL: LBHH_1627
LHV: lhe_0506
LHD: HUO_09620
LAM: LA2_02490
LKE: WANG_1192
LRE: Lreu_1639
LRF: LAR_1530
LRT: LRI_0349
LFE: LAF_1667
LFF: LBFF_1842
LBH: Lbuc_1841
LHIL: G8J22_02122(ndx1)
LBR: LVIS_1780
PPE: PEPE_0383
PPEN: T256_02005
HHW: NCTC503_00145(MutT)
RCH: RUM_04020
CCEL: CCDG5_0433
BFI: CIY_19060
MFR: MFE_05870
MFP: MBIO_0857
MARG: MARG145_0692(idi)
MHO: MHO_0930
MCAN: MCAN360_0541(idi)
MHYV: MHSN_02355
CYA: CYA_2163
CYB: CYB_2747
LET: O77CONTIG1_03305(mutT4)
CHON: NIES4102_21770(rppH)
FIS: FIS3754_27270(rppH)
TTH: TT_C1859
MOX: DAMO_2802(Nudt)
MEMA: MMAB1_3339
CDIV: CPM_0431
ABI: Aboo_0905
NMR: Nmar_1417
NCT: NMSP_0328
TAA: NMY3_02118(ndx1) NMY3_03349(mutT4)
NFN: NFRAN_0755(mutT) NFRAN_2909(ndx)
NCV: NCAV_0928
NDV: NDEV_1711
NBV: T478_0358
MARH: Mia14_0108
 » show all
Reference
  Authors
Abdelghany HM, Gasmi L, Cartwright JL, Bailey S, Rafferty JB, McLennan AG
  Title
Cloning, characterisation and crystallisation of a diadenosine 5',5"'-P(1),P(4)-tetraphosphate pyrophosphohydrolase from Caenorhabditis elegans.
  Journal
Biochim Biophys Acta 1550:27-36 (2001)
DOI:10.1016/S0167-4838(01)00263-1
  Sequence
[hsa:318]
LinkDB

KEGG   ORTHOLOGY: K26955
Entry
K26955                      KO                                     
Symbol
NUDT25, NUDX25
Name
bis(5'-nucleosidyl)-tetraphosphatase [EC:3.6.1.17]
Pathway
map00230  Purine metabolism
map00240  Pyrimidine metabolism
Reaction
R00184  P1,P4-bis(5'-adenosyl)-tetraphosphate adenylohydrolase
R00969  P1,P4-bis(5'-uridyl)-tetraphosphate uridylohydrolase
R01232  P1,P4-bis(5'-guanosyl)-tetraphosphate guanylylhydrolase
R02805  P1,P4-bis(5'-nucleosyl)-tetraphosphate nucleotidohydrolase
Brite
KEGG Orthology (KO) [BR:ko00001]
 09100 Metabolism
  09104 Nucleotide metabolism
   00230 Purine metabolism
    K26955  NUDT25, NUDX25; bis(5'-nucleosidyl)-tetraphosphatase
   00240 Pyrimidine metabolism
    K26955  NUDT25, NUDX25; bis(5'-nucleosidyl)-tetraphosphatase
Enzymes [BR:ko01000]
 3. Hydrolases
  3.6  Acting on acid anhydrides
   3.6.1  In phosphorus-containing anhydrides
    3.6.1.17  bis(5'-nucleosyl)-tetraphosphatase (asymmetrical)
     K26955  NUDT25, NUDX25; bis(5'-nucleosidyl)-tetraphosphatase
Other DBs
GO: 0004081
Genes
ATH: AT1G30110(NUDX25)
ALY: 9329662
CRB: 17898263
CSAT: 104741604 104757353 104777037
EUS: EUTSA_v10008899mg
BRP: 103828908 103835238 103840430
BNA: 106356271 106360006 106367362 106370538 106375943 111214017
BOE: 106294628 106320525 106335528
RSZ: 108818636 108828937 108851682 108859629
THJ: 104812672 104814304
CPAP: 110813424
CIT: 102608969
PVY: 116127374
TCC: 18609779
GRA: 105780712
GAB: 108480791
EGR: 104433199
RARG: 115728316
VRA: 106776922
VAR: 108335145
VUN: 114169069
VUM: 124841633
CCAJ: 109810139
APRC: 113869614
MTR: 11419267
TPRA: 123902629
CAM: 101500961
PSAT: 127096624
LJA: 130737647
FVE: 101300614
AANS: 126790924
RCN: 112195818
PPER: 18791021
PMUM: 103341599
PDUL: 117616753
PXB: 103931866
ZJU: 107429324
MNT: 21400351
CSAV: 115701385
HLP: 133822693
CSV: 101222119
CMO: 103495074
BHJ: 120080883
MCHA: 111018292
CMAX: 111488683
CMOS: 111446990
CPEP: 111796169
RCU: 8258196
MEAN: 126679835
MESC: 110600721
JRE: 109002545
CAVE: 132180034
AGLU: 133876808
QSU: 112025488
QLO: 115973499
CSAA: 142605497
VVI: 100247306
VRI: 117925880
SLY: 101250796
SPEN: 107018912
SOT: 102584046
SSTN: 125867384
SDUL: 129873907
CANN: 107847953
LBB: 132642084
NSY: 104250010
NTO: 104085848
NAU: 109235146
INI: 109156705
ITR: 116024947
EGT: 105964136
SMIL: 130986497
APAN: 127261625
HPUM: 140874932
HAN: 110915252
ECAD: 122598454
LSV: 111898194
CCAV: 112522692
CSIN: 114261222
RVL: 131300898
AEW: 130765462
DLT: 127798120
BVG: 104896698
ATRI: 130808942
SLAF: 141643913
MOF: 131153177
NNU: 104609945
MING: 122079071
TSS: 122652808
MSIN: 131251480
CJF: 131052171
 » show all
Reference
  Authors
Szurmak B, Wyslouch-Cieszynska A, Wszelaka-Rylik M, Bal W, Dobrzanska M
  Title
A diadenosine 5',5''-P1P4 tetraphosphate (Ap4A) hydrolase from Arabidopsis thaliana that is activated preferentially by Mn2+ ions.
  Journal
Acta Biochim Pol 55:151-60 (2008)
  Sequence
[ath:AT1G30110]
LinkDB

KEGG   ENZYME: 3.6.1.17
Entry
EC 3.6.1.17                 Enzyme                                 
Name
bis(5'-nucleosyl)-tetraphosphatase (asymmetrical);
bis(5'-guanosyl)-tetraphosphatase;
bis(5'-adenosyl)-tetraphosphatase;
diguanosinetetraphosphatase (asymmetrical);
dinucleosidetetraphosphatase (asymmetrical);
diadenosine P1,P4-tetraphosphatase;
dinucleoside tetraphosphatase;
1-P,4-P-bis(5'-nucleosyl)-tetraphosphate nucleotidohydrolase
Class
Hydrolases;
Acting on acid anhydrides;
In phosphorus-containing anhydrides
Sysname
P1,P4-bis(5'-nucleosyl)-tetraphosphate nucleotidohydrolase
Reaction(IUBMB)
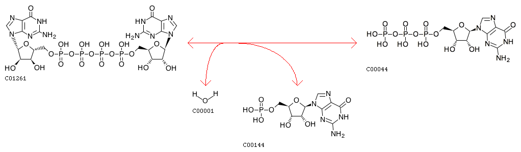
P1,P4-bis(5'-guanosyl) tetraphosphate + H2O = GTP + GMP [RN:R01232]
Reaction(KEGG)
R01232;
(other) R00184 R00969 R02805
Substrate
P1,P4-bis(5'-guanosyl) tetraphosphate [CPD:C01261];
H2O [CPD:C00001]
Product
GTP [CPD:C00044];
GMP [CPD:C00144]
Comment
Also acts on bis(5'-xanthosyl)-tetraphosphate and, more slowly, on bis(5'-adenosyl)-tetraphosphate and bis(5'-uridyl)-tetraphosphate [cf. EC 3.6.1.41 bis(5'-nucleosyl)-tetraphosphatase (symmetrical)]
History
EC 3.6.1.17 created 1972, modified 1976, modified 1986
Pathway
ec00230  Purine metabolism
ec00240  Pyrimidine metabolism
ec01100  Metabolic pathways
Orthology
K01518  bis(5'-nucleosidyl)-tetraphosphatase
K26955  bis(5'-nucleosidyl)-tetraphosphatase
Genes
HSA318(NUDT2)
PTR465056(NUDT2)
PPS100971204(NUDT2)
GGO101152305(NUDT2)
PON100457720(NUDT2)
PPYG129044676(NUDT2)
NLE100585591(NUDT2)
HMH116475028(NUDT2)
SSYN129490249(NUDT2)
MCC701795(NUDT2)
MCF102144582(NUDT2)
MTHB126937430 126963246
MNI105485679(NUDT2)
CSAB103219273(NUDT2)
CATY105590062(NUDT2)
PANU101012330(NUDT2)
TGE112608093(NUDT2)
MLEU105539664(NUDT2)
RRO104680000(NUDT2)
RBB108542177(NUDT2)
TFN117099055(NUDT2)
PTEH111536796(NUDT2)
CANG105517824(NUDT2)
CJC100391999(NUDT2)
SBQ101041101(NUDT2)
CIMI108314192(NUDT2)
ANAN105724548(NUDT2)
CSYR103273491(NUDT2)
MMUR105874358(NUDT2)
LCAT123646201(NUDT2)
ERUF138387365(NUDT2)
PCOQ105820604(NUDT2)
OGA100959596(NUDT2)
MMU66401(Nudt2)
MCAL110293240(Nudt2)
MPAH110338907(Nudt2)
RNO297998(Nudt2)
MCOC116095839(Nudt2)
ANU117708899(Nudt2)
ASYL127680671(Nudt2)
MUN110547105(Nudt2)
CGE100769146(Nudt2)
MAUA101844845(Nudt2)
PROB127224534(Nudt2)
PLEU114703240(Nudt2)
PMAV102929149(Nudt2)
MORG121458439(Nudt2)
MFOT126509922
AAMP119803077 119826791(Nudt2)
CNL130888021(Nudt2)
NGI103741578(Nudt2)
HGL101699878(Nudt2)
CPOC100721527(Nudt2)
CCAN109686494(Nudt2)
DORD105993363(Nudt2)
DSP122122490(Nudt2)
DMER138818060(Nudt2)
PLOP125365242(Nudt2)
NCAR124964549
MMMA107147842(Nudt2)
ITI101964663(Nudt2)
OCU100343183
OPI101525497(NUDT2) 101525854
OCZ121144772(NUDT2)
TUP102486667(NUDT2)
GVR103606253(NUDT2)
CFA474746(NUDT2)
CLUD112649875(NUDT2)
VVP112927541(NUDT2)
VLG121495458(NUDT2)
NPO129494538(NUDT2)
AML100480031(NUDT2)
UMR103667047(NUDT2)
UAH113260512(NUDT2)
UAR123781242(NUDT2)
ELK111146086
LLV125083967
MPUF101676772(NUDT2)
MNP132024654(NUDT2)
MLK131812428(NUDT2)
NVS122917517(NUDT2)
ORO101367590(NUDT2)
EJU114218271(NUDT2)
ZCA113933944(NUDT2)
MLX118018012(NUDT2)
NSU110581541(NUDT2)
LWW102748665(NUDT2)
FCA101082099(NUDT2)
PYU121034586(NUDT2)
PCOO112871761(NUDT2)
PBG122474900(NUDT2)
PVIV125150027(NUDT2)
LRUF124525918
LGF123593538(NUDT2)
AJU106975853
PTG102968333(NUDT2)
PPAD109252028(NUDT2)
PUC125918926
PLEZ122205587(NUDT2)
HHV120241745(NUDT2)
BTA768044(NUDT2)
BOM102273937(NUDT2)
BIU109563186(NUDT2)
BBUB102400876(NUDT2)
BKE129650420(NUDT2)
BBIS104988695(NUDT2)
CHX102169758(NUDT2)
OAS101123091(NUDT2)
BTAX128052602(NUDT2)
CSUM138081442(NUDT2)
ODA120860322 120866378
CCAD122431815(NUDT2)
MREE136176802(NUDT2)
OVR110145604(NUDT2)
MBEZ129556952(NUDT2)
SSC397577(NUDT2)
CFR102521003(NUDT2)
CBAI105078758(NUDT2)
CDK105085587(NUDT2)
VPC102534467(NUDT2)
BACU103006665(NUDT2)
BMUS118896506(NUDT2)
LVE103079666(NUDT2)
OOR101278417(NUDT2)
LALB132523731(NUDT2)
GMF115840187(NUDT2)
DDP132427443(NUDT2)
DLE111163157(NUDT2)
PCAD102988464(NUDT2)
PSIU116754929(NUDT2)
PPHC136124749(NUDT2)
NASI112405447(NUDT2)
ECB100054044(NUDT2)
EPZ103564364(NUDT2)
EAI106841396(NUDT2)
MYB102259354(NUDT2)
MYD102754972(NUDT2)
MMYO118653338 118667381(NUDT2)
MLF102429432(NUDT2)
MDT132212082(NUDT2) 132224316
MYUM139021099(NUDT2)
PKL118716397(NUDT2)
EFUS103286621(NUDT2)
DRO112304497(NUDT2)
SHON118979874(NUDT2)
AJM119053824(NUDT2)
PDIC114498659(NUDT2)
PHAS123820020(NUDT2)
MMF118629709(NUDT2)
PPAM129078392(NUDT2)
HAI109371792(NUDT2)
RFQ117031977(NUDT2)
PALE102896710(NUDT2)
PGIG120612906(NUDT2)
PVP105306425(NUDT2)
RAY107502797(NUDT2)
MJV108395430(NUDT2)
TOD119231863(NUDT2)
SARA101545181(NUDT2)
SFUM130026289(NUDT2)
SETR126009654(NUDT2)
LAV100657619(NUDT2)
TMU101361419
ETF101645769(NUDT2)
DNM101425616(NUDT2)
MDO100021241(NUDT2)
GAS123231041(NUDT2)
SHR100923669(NUDT2)
AFZ127540977
PCW110194532(NUDT2)
TVP118830602(NUDT2)
PBRV138172216(NUDT2)
MLAO141495370(NUDT2)
OAA100088234(NUDT2)
TACU119925769(NUDT2)
GGA427399(NUDT2)
MGP100549295(NUDT2)
CJO107305739(NUDT2)
TPAI128074662(NUDT2)
LMUT125687431(NUDT2)
NMEL110389297(NUDT2)
APLA101790344(NUDT2)
AACU137848249(NUDT2)
ACYG106045165(NUDT2) 125181766
CATA118257693(NUDT2)
AFUL116500658(NUDT2)
TGU100225183(NUDT2)
LSR110484147(NUDT2)
SCAN103820656(NUDT2)
PMOA120500081(NUDT2)
OTC121345269(NUDT2)
PRUF121350460(NUDT2)
ATRC139589345(NUDT2)
GFR102037058(NUDT2)
FAB101813659(NUDT2)
OMA130265229(NUDT2)
PHI102108717(NUDT2)
PMAJ107216319(NUDT2)
CCAE111941034(NUDT2)
CCW104686550(NUDT2)
CBRC103623837(NUDT2)
ACOE138103142(NUDT2)
ETL114060147(NUDT2)
ZAB106629169(NUDT2)
ZLE135459412(NUDT2)
ACHL103809706(NUDT2)
SVG106859078(NUDT2)
MMEA130575622(NUDT2)
HRT120765751(NUDT2)
SATI136373680(NUDT2)
CFAI136288131(NUDT2)
CCIC134056444(NUDT2)
FPG101924519(NUDT2)
FCH102057462(NUDT2)
CCRI104154907(NUDT2)
NNT104400027(NUDT2)
SHAB115600881(NUDT2)
ACUN113489663(NUDT2)
SURA141937481(NUDT2)
TALA104367338(NUDT2)
ACHC115336634(NUDT2)
HALD104319071(NUDT2)
HLE104832906(NUDT2)
AGEN126035952
HHAR128136853(NUDT2)
BBUT142027047(NUDT2)
GCL127027569
CSTI104562606(NUDT2)
LDI104352976(NUDT2)
DPUB104307802(NUDT2)
PPUS135193135(NUDT2)
AVIT104267018(NUDT2)
BRHI104500396(NUDT2)
EGZ104133822(NUDT2)
NNI104017972(NUDT2)
PCRI104024248(NUDT2)
PCAO104046049(NUDT2)
PADL103923258(NUDT2)
AFOR103906351(NUDT2)
FGA104082884(NUDT2)
CBOR142076031(NUDT2)
GSTE104250717(NUDT2)
CBOY140650587(NUDT2)
MAME142402600(NUDT2)
CLV102090406(NUDT2)
CNIC136001990(NUDT2)
MUI104543019(NUDT2)
PGUU104457804(NUDT2)
PLET104624009(NUDT2)
EHS104510714(NUDT2)
CMAC104473235(NUDT2)
CUCA104056542(NUDT2)
TEO104369944(NUDT2)
BREG104642651(NUDT2)
GAME129199972(NUDT2)
OHA104337949(NUDT2)
ACAR104517763(NUDT2)
CPEA104385355(NUDT2)
CVF104290615(NUDT2)
RTD128902854(NUDT2)
CRID134508350(NUDT2)
LMIC141736192(NUDT2)
NARQ141477106(NUDT2)
AAM106493695(NUDT2)
AROW112974596(NUDT2)
NPD112947372(NUDT2)
TGT104566545(NUDT2)
DNE112987800(NUDT2)
SCAM104152002(NUDT2)
ASN102378006(NUDT2)
AMJ102575786(NUDT2)
CPOO109307782(NUDT2)
GGN109297969(NUDT2)
PSS102448176(NUDT2)
CIZ142013885(NUDT2)
CMY102936506(NUDT2)
CCAY125636873(NUDT2)
LKP140911086(NUDT2)
NDS141987171(NUDT2)
DCC119856150(NUDT2)
CPIC101952762(NUDT2)
TST117886595(NUDT2)
CABI116824510(NUDT2)
MRV120408480(NUDT2)
ACS100565132(nudt2)
ASAO132766823(NUDT2)
PVT110080485(NUDT2)
SUND121924178(NUDT2)
PBI103055787(NUDT2)
PMUR107298975(NUDT2)
CTIG120320211(NUDT2)
TSR106555387(NUDT2)
PGUT117659798(NUDT2)
PCAE139313386(NUDT2)
APRI131192639(NUDT2)
PTEX113444938(NUDT2)
NSS113425389(NUDT2)
VKO123030273(NUDT2)
PMUA114606354(NUDT2)
PRAF128423611(NUDT2)
ZVI118077353(NUDT2)
HCG128346450(NUDT2)
GJA107122912(NUDT2) 107125474
STOW125436618(NUDT2)
EMC129334807(NUDT2)
XLA100049779(nudt2.S) 108707300
XTR448765(nudt2)
NPR108797456(NUDT2)
RTEM120925594(NUDT2)
ACAT141131186(NUDT2)
PADS140332296(NUDT2)
BBUF120992298(NUDT2)
BGAR122924819(NUDT2)
DTC141056390(NUDT2)
PWL138267402(NUDT2)
MUO115461830(NUDT2)
GSH117356377(NUDT2)
DRE436595(nudt2)
SRX107739745 107754633
SANH107661859 107665228
SGH107579639 107584670 107600925 107600926
CCAR109045220 109054174(nudt2)
CAUA113038843(nudt2)
CGIB127986638
PTET122326521(nudt2)
LROH127152283(nudt2)
GRF141292852(nudt2)
OMC131528477(nudt2)
PPRM120490613 120490632
RKG130090711(nudt2)
MAMB125252162(nudt2)
CIDE127503576
CERY137012092(nudt2)
MASI127428813 127430937
TROS130570408(nudt2)
TDW130408252(nudt2)
MANU129423847(nudt2)
PDAB135721646(nudt2)
IPU108278969
IFU128622281(nudt2)
PHYP113535629(nudt2)
SMEO124397863(nudt2)
TFD113646425(nudt2)
TVC132860519(nudt2)
CGAR128507834(nudt2)
NGRA132895183(nudt2)
TRN134330312(nudt2)
AMEX103027026(nudt2)
CMAO118819711(nudt2)
EEE113573439(nudt2)
CHAR122131814(nudt2)
SPIL134100744(nudt2)
ASAD121679536(nudt2)
TRU101079847(nudt2)
TFS130524439(nudt2)
TNGGSTEN00020159G001
LCO104928938(nudt2)
NCC104941147(nudt2)
TBEN117475571(nudt2)
CGOB115008456(nudt2)
PGEO117446905(nudt2)
GACU117561889(nudt2)
EMAC134882444(nudt2)
ELY117256602(nudt2)
EFO125893981(nudt2)
PLEP121953633(nudt2)
SLUC116034765(nudt2)
ECRA117944022(nudt2)
ESP116688551(nudt2)
PFLV114554646(nudt2)
GAT120834604(nudt2)
PPUG119193926(nudt2)
AFB129105334(nudt2)
CLUM117730543(nudt2)
PSWI130208743(nudt2)
CANA137796621(nudt2)
CVE137879350(nudt2)
MSAM119886827(nudt2) 119890904
SCHU122864128(nudt2)
CUD121507186(nudt2)
SPUL138606314(nudt2)
LMIX132977565(nudt2)
HTC141788921(nudt2)
ALAT119021951(nudt2)
ASTR137595445(nudt2)
MZE101464848(nudt2)
ONL100691256(nudt2)
OAU116326528(nudt2)
OLA101167782(nudt2)
OML112144648(nudt2)
CSAI133449500(nudt2)
XMA102237226(nudt2)
XCO114135263(nudt2)
XHE116710235(nudt2)
PRET103464996(nudt2)
PFOR103139584(nudt2)
PLAI106949156(nudt2)
PMEI106931326(nudt2)
GAF122834419(nudt2)
PPRL129358505(nudt2)
CVG107087980(nudt2)
CTUL119778558(nudt2)
GMU124856137(nudt2)
NFU107385477(nudt2)
KMR108239825(nudt2)
ALIM106523571(nudt2)
NWH119412207(nudt2)
AOCE111581206(nudt2)
EJA138204326(nudt2)
BFRE138628833(nudt2)
MCEP125006322(nudt2)
CSEM103386417(nudt2)
POV109629183(nudt2)
SSEN122768031(nudt2)
SSOE131461217(nudt2)
HHIP117762239(nudt2)
HSP118104700(nudt2)
PPLT128449237(nudt2)
SMAU118309324(nudt2)
LCF108899692
SDU111221872(nudt2)
SLAL111670920(nudt2)
XGL120807364(nudt2)
HCQ109522578(nudt2)
SSCV125977675(nudt2)
SBIA133507801(nudt2)
PEE133408290(nudt2)
PTAO133483380(nudt2)
BPEC110166722(nudt2)
ENY140372446 140372447(nudt2)
MALB109956140(nudt2)
BSPL114856310(nudt2)
SJO128356284(nudt2)
SSCO133977369(nudt2)
TTY137181882(nudt2)
GMH115556768(nudt2)
SASA106583421(nudt2)
STRU115150209(nudt2)
OTW112254934(nudt2)
OMY110528456(nudt2)
OGO124027662(nudt2)
ONE115143264(nudt2)
OKI109891368(nudt2)
OKE118400544(nudt2)
OMM135541474(nudt2)
OCLA139414429
SALP111970424(nudt2)
SNH120064633(nudt2)
SFON129815216(nudt2)
CCLU121578049(nudt2)
ELS105016785(nudt2)
OEP134017677(nudt2)
SFM108931196
PKI111843780(nudt2)
AANG118212079(nudt2)
AROT135240155(nudt2)
CCOG133105677(nudt2)
LOC102683637(nudt2)
PSPA121304784 121307145(nudt2)
ARUT117403958 117962531
PSEX120532829(nudt2)
CMK103180986(nudt2)
RTP109934791(nudt2)
CPLA122555456(nudt2)
CPUN140478976(nudt2)
HOC132818611(nudt2)
SCAU119962723(nudt2)
LERI129695604(nudt2)
HAKA140737673(nudt2)
PMRN116940213(NUDT2)
LRJ133350682(NUDT2)
BFO118410414
BBEL109482408 109482409
CLEP143447491
SPU756144 756973
LPIC129260975
LVG121416051 121416150
AJJ139978250
ARUN117296073
AAMU139941533
AFIL140159630
AJC117118070
SKO100371369
PFLL139121076
DMEDmel_CG31713(Datp)
DER6541522
DSE6611887
DSIDsimw501_GD11976(Dsim_GD11976)
DYADyak_GE10149
DAN6496976
DSR110183217
DPO4817435
DPE6589271
DMN108162604
DWI6642607
DGR6562399
DMODmoj_GI11018
DAZ108610808
DNV115562645
DHE111603945
DVI6633962(Datp)
CCAT101458320
BOD106623267
BDR105223747
AOQ129247795
ALUD128863411
TDA119689481
MDE101901313 131805053
SCAC106086895
LCQ111688415
LSQ119600804
CVJ135950998(Apf)
GFS119640545
ECOE129948015
CLON129619089
HIS119651576 119651585
AGA1277476
ACOZ120955684
AARA120900671
AMER121595364
ASTE118509891
AMAP126560510
AFUN125761172
AMOU128300554
AMRS128715850
AALI118456389
ADAR125950458
ACOS131261961
AAG5573956
AALB109621853
ASUA134213502
CQUCpipJ_CPIJ003519
CPII120423117
CBRI134830808
CNS116341551 116341593 116351956
BCOO119070885
LLL129789977
PPAP129805687
AME724681
ACER108003652
ALAB122720699
ADR102679883
AFLR100869962
BIM100743272
BBIF117213058
BVK117236196
BVAN117158026
BHUN126869622
BTER100645111
BAFF126919283
BPYO122567814
BPAS132910889
FVI122532175
CCAL108622608
OBB114879097
OLG117600881
MGEN117221589 117221590
NMEA116433221
CGIG122399812
MPHA105837502
AEC105154300
ACEP105618775
ACOC108695154
MZT108722951(Apf)
CCOA108779891
TCZ108770131
TSEP108753679
PBAR105430835
VEM105561993
COBS139106452(Apf)
TLN139808482(Apf)
HST105183962
DQU106745139
CFO105256553
FEX115242606
PMEC138940117(Apf)
LHU105675125(Datp)
PGC109859244
OBO105276354
PCF106786781
PFUC122522930
VPS122629828
VCRB124425336
VVE124949043
NVI100117701
CSOL105359353
TPRE106650894 106654969
LHT122497909
LBD127281833
MDL103568904
CGLO123260000
CTYP141524799(Apf)
FAS105264694
DAM107038214
AGIF122849053
CINS118070236
VCAN122415083
CCIN107271802
DSM124407524
NPT124214175(Apf)
NFB124178432
NLO107219914
NVG124301384
AROA105683264
TCA658593
TMOL138124364(Datp)
DPA109538612
ESIM136408748(Apf)
EFOR136350643(Apf)
SOY115884960
RFG143196484(Datp)
AGRG126735408
ATD109602210
CSET123309412
HAXR123674009
AGB108905043 111692992
LDC111502668
DVV114338550 114338552
NVL108565952
PPYR116158745 116182759
OTU111429147
BMOR101741900
BMAN114253193
MSEX115454892
DPLKGM_214333
BANY112052881
MJU123875661
NIQ126774690
VCD124537279
MCIX123661500
PMAC106715802
PPOT106102441
PXU106114116
BPHI137921579(Datp)
PRAP110994451
PBX123715900
PNAP125048708
ZCE119832032
CCRC123698913
LSIN126978022
AAGE121737116
HAW110371218(datP)
HZE124638141
TNL113505248
SLIU111356184
OFU114357504
ONU135079737
ATRA106137249
GMW113521926
PXY105390704
PGW126374475
CSTB134749261
CFUM141434646(Datp)
CFEL113370351 113370355 113371571
CCRN123297711
API100164487
DNX107168462
AGS114123408
RMD113553176
ACOO126833687 126842436 126845095 126847656
DVT126896334
BTAB109042310
DCI103511012
CLEC106662726 106663629 106666860 106666862
HHAL106686478(Apf)
NLU111060252
LDA142321576(Datp)
HVI124360700
MQU128992322 128992529 129004009
PHUPhum_PHUM202300
FOC113209989
TPAL117647794
ZNE110837483 110837489
CSEC111865764
PAME138696822(Datp)
SGRE126266896
BROR134540482
IEL124165057
HAMR139692779(Datp)
FCD110844934 110846021 110858643
DMK116925148
DPZ124349593
AFRA136031375
PVM113822959(Datp)
PJA122247620
PMOO119568047
HAME121879132
PCLA123769815(Datp)
CQD128699616(Datp)
PTRU123503804
ESN127002687
MNZ135204101 135204102
PORN139757082(Datp)
HAZT108664899
OOT143022918(Datp)
EAF111697162
LSM121126411(Datp)
PPOI119111952 119112497
CSCU111616147 111622491
PMEO129586173 129589138
CELCELE_Y37H9A.6(ndx-4)
CBRCBG_13634(Cbr-ndx-4)
CRQGCK72_001794
BMYBM_BM6409(Bma-ndx-4)
LOALOAG_12459
TSPTsp_08826
HROHELRODRAFT_164652
PCAN112553481
BARL143287499
BGT106068560
GAE121368762 121377048 121391491
HRF124117455
HRJ124289006
CANU128189468
CVN111135133
OED125664781
MYI110444206 110455017
PMAX117334180
YBA132552094
MMER123565784
RPHI132746917
DPOL127877637
MAEA128206964 128228755 128228798
OBI106872785
OSN115223230
LJP135473722
LLON135483964
NVE5502066
EPA110243084
ATEN116299953
AMIL114959385
MCAZ138032710
MFOO137991121
PDAM113672949
SPIS111321736
DGT114535854
HMG100200531
RES135687003
ATHAT1G30110(NUDX25)
ALY9329662
CRB17898263
CSAT104741604 104757353 104777037
EUSEUTSA_v10008899mg
BRP103828908 103835238 103840430
BNA106356271 106360006 106367362 106370538 106375943 111214017
BOE106294628 106320525 106335528
RSZ108818636 108828937 108851682 108859629
THJ104812672 104814304
CPAP110813424
CIT102608969
PVY116127374
MINC123213841 123215693
TCC18609779
GRA105780712
GHI107911549 121228296
GAB108480791
HSYR120118028 120134360 120145295 120179605 120197170 120211519
DZI111282489 111287452 111318045
EGR104433199
RARG115728316
GMX100306071 100790864
GSJ114419207 114425750
VRA106776922
VAR108335145
VUN114169069
VUM124841633
CCAJ109810139
APRC113869614
MTR11419267
TPRA123902629
CAM101500961
PSAT127096624
VVO131600308 131600318
LJA130737647
ADU107483420 107483428
AIP107638983 107639251
AHF112740369 112741650 112796330 112796723
LANG109339258 109359192
PCIN129284357 129310449
QSAO6P43_025837 O6P43_032604
FVE101300614
AANS126790924
RCN112195818
PPER18791021
PMUM103341599
PAVI110745084 110765378
PDUL117616753
MDM103402591 114820663
MSYL126595717 126606233
PXB103931866
PCOX137731893 137737166
ZJU107429324
MNT21400351
CSAV115701385
HLP133822693
CSV101222119
CMO103495074
BHJ120080883
MCHA111018292
CMAX111488683
CMOS111446990
CPEP111796169
RCU8258196
MEAN126679835
HBR110662952 110668769
MESC110600721
POP7459781 7488402
PEU105124926 105135464
PALZ118039843 118046384
PNZ133696491 133704590
JRE109002545
CILL122311995 122313545
CAVE132180034
AGLU133876808
QSU112025488
QLO115973499
CSAA142605497
TWL119990830 120001617
VVI100247306
VRI117925880
SLY101250796
SPEN107018912
SOT102584046
SSTN125867384
SDUL129873907
CANN107847953
LBB132642084
NTA107780279 107814470
NSY104250010
NTO104085848
NAU109235146
INI109156705
ITR116024947
SIND105156247 105160000
OEU111395213 111406138
EGT105964136
SSPL121746971 121751511 121778306 121780687
SMIL130986497
SHIS125187438 125211871
APAN127261625
HPUM140874932
PHUA140978763 140980361
PEBU140829832 140834315
PTAB142543112 142555391
CARB113717970 113720417
HAN110915252
BHW143530135 143609972 143611688
ECAD122598454
LSV111898194
CCAV112522692
DCR108202105 108205592
AGRV141667341 141674428 141697714
CSIN114261222
RVL131300898
AEW130765462
DLT127798120
BVG104896698
CQI110694412 110712772
ATRI130808942
SLAF141643913
MOF131153177
NNU104609945
MING122079071
TSS122652808
MSIN131251480
ACAK137957026 137960279
CJF131052171
SSLSS1G_02416
BFUBCIN_13g02790
GTRGLOTRDRAFT_49751
PFAPF3D7_0520600
PFHPFHG_03946
PREIPRSY57_0519700
PGABPGSY75_0520600
PLAG39740511(PADL01_0519600)
PYOPY17X_1238700
PCBPCHAS_1235900
PBEPBANKA_1235300
PVVPVVCY_1203620
PKNPKNH_1012300
PVXPVX_080215
PCYPCYB_102120
PMALPMUG01_10024000(Ap4AH)
PBRS92371278(MKS88_003191)
PRELPRELSG_1011200
PCOTPCOAH_00029560
TANTA07740
TPVTP04_0303
TOTTOT_040000595
BEQBEWA_005670
BBOBBOV_II002610 BBOV_II002850 BBOV_II002910
BMICBmR1_04g08620
BBIGBBBOND_0202780 BBBOND_0202820
CPVcgd3_1950
TGOTGME49_214780
BBESBESB_035350
NGRNAEGRDRAFT_49610 NAEGRDRAFT_76393
MEEFJWZ97_17525
MMAIsS8_1576
MSZEMSZNOR_4579
MCAUMIT9_P1523
NOCNoc_1415
NWRE3U44_14955
THIMKFB96_00810
AEHMlg_2766
HHAHhal_1059
HHKHH1059_24780
SSALSPISAL_01345
SPIUSPICUR_01430
SPIZGJ672_01365
SHAILMH63_01375
NAXHC341_00990
TBNTBH_C0663
TEETel_03045
WOCBA177_17835
ILVWMO13_00415
SLIMSCL_0076
RPJN234_36275
CGDCR3_4394(mutT)
CUUBKK79_31250
CPAUEHF44_10220
COXE0W60_30265
TSWVA613_14065
SATSYN_03150
VINAKJ08_0363
BDCDOE51_10590
BDZDOM22_12735
BDKHW988_11790
WCHwcw_1373
MINMinf_0419(mutT)
MKCkam1_578
MEAPMTHMO_0645
RBARB2978
PSLPsta_4141
PIRVN12_15900(ndx1)
RULUC8_49690(mutT4)
MFFMFFC18_49080
ROLCA51_04860
AHELQ31a_62270
LCREPla8534_20440
AAGGETAA8_66730(mutT4)
BVOPan97_18320
BREMPSR63_02390
SNEPEnr13x_69290
SMAETBK1r_71510
PLMPlim_3496
PEHSpb1_01810
PLSVT03_05490
FMRFuma_04506(mutT)
MRIMal4_01190
SCHLQJS52_24450
SSPEACGY09_05245
SINGV5E97_11625
PBORBSF38_01662(mutT4)
AGVOJF2_16300(mutT4)
TPLAElP_22320(mutT4)
BROCIPI25_05345
HBSIPV69_12890
UHLUABHE_002975
PSPCStrain318_000496
BREPM655_017480
PRUDCIC07_07585
LJFFI9785_468 FI9785_756
LJHLJP_0715
LJNT285_02145
LACLBA0465(mutT)
LADLA14_0493
LAFSD55_0492
LGALGAS_0791
LHElhv_0501
LHLLBHH_1627
LHRR0052_09395
LHVlhe_0506
LHDHUO_09620
LCRLCRIS_00471 LCRIS_01264
LAMLA2_02490
LAILAC30SC_02430
LAYLAB52_02280
LKEWANG_1192
LGLAO203_05065
LAMYB1745_02815 B1745_02820
LPWLpgJCM5343_03900(mutT) LpgJCM5343_07450(mutT)
LTAH1A07_03610
LUUH4B44_08950
LRELreu_1639
LRFLAR_1530
LRUHMPREF0538_20803
LRTLRI_0349
LRRN134_09020
LFELAF_1667
LFFLBFF_1842
LMULBLM1_00765
LORAYI71_10300 AYI71_15225
LVALV515_08205
LFNLF145_07630
LPONLP475_07335
LGASLG045_08685
LPASKZE55_08665
LPORPRK60_00750
LALOABC765_10250
LLEAYR59_03315
LFVLF543_01610
LBHLbuc_1841
LBNLBUCD034_1927
LPARFAM21731_01585
LCUPL11_006025
LKFDNL43_07905
LHILG8J22_02122(ndx1)
LBRLVIS_1780
LBKLVISKB_1764
LKOABN16_09235
LZYLZ3411_1793
LSUAH3M12_11925
LHOLOOC260_119360
LOLLACOL_0388
LNNF0161_02825
LPDAYR62_09120
PPEPEPE_0383
PPENT256_02005
PACIA4V11_08730
LHBD1010_11340
CAWQ783_09290
CARGRSJ17_06095
HHWNCTC503_00145(MutT)
CLOHMPREF0868_1086
RCHRUM_04020
RUCLCN94_05365
RUKA4V00_00475
CCELCCDG5_0433
CAPREQM14_14620
ACAEHYG86_15250
BFICIY_19060
TSGHLK68_09950
MSTREGN60_03180
MFRMFE_05870
MFMMfeM64YM_0702
MFPMBIO_0857
MARGMARG145_0692(idi)
MHOMHO_0930
MHOMMLBD4_00500
MCANMCAN360_0541(idi)
MPHODA803_01570
MHYVMHSN_02355
MCLODK849_02510
MPHCDMC14_001290
MALANCTC10135_00815
MSAINCTC10113_01173
CYACYA_2163
CYBCYB_2747
CMPCha6605_2948
LETO77CONTIG1_03305(mutT4)
LEPTJVX88_23410
SFRIRBJ76_20450
THEUHPC62_16340
TOGHNI00_19085
CHONNIES4102_21770(rppH)
OXYHCG48_09920
ONIOsc7112_1387
MICMic7113_2890
MPROBJP34_12340
CSGCylst_2891
CALTCal6303_1193
RIVRiv7116_6423
FISFIS3754_27270(rppH)
TTHTT_C1859
TANTKNN15_07855
AMOAnamo_1647
IPOIlyop_0521
BANABARAN1_1119
BIHBIP78_1315
SRGXF24_01035
MOXDAMO_2802(Nudt)
MEMMemar_2333
MBGBN140_2478
MEMAMMAB1_3339
MCHKMchiMG62_00640
MSUMOH143_05940
MRCR6Y96_01445
CDIVCPM_0431
ABIAboo_0905
ACFAciM339_0101
PAIPAE0252 PAE0714
PISPisl_0088 Pisl_0673
PCLPcal_0237 Pcal_2125
PASPars_2202 Pars_2356
PYRP186_0995 P186_2212
POGPogu_2509 Pogu_2686
TNETneu_1020 Tneu_1993
PYWPYWP30_01139 PYWP30_02258
TTNTTX_0860 TTX_1445
TUZTUZN_0609 TUZN_2151
NMRNmar_1417
NIRNSED_07780
NKRNKOR_07810
NIDNPIRD3C_2078
NINNADRNF5_0462
NIWNisw_06885
NCLC5F47_07520
NOXC5F49_07400
NUEC5F50_10715
NIPNsoK4_01170
NZTNZOSNM25_000358
NCTNMSP_0328
NICDSQ20_08345
NGANgar_c21350 Ngar_c34350
NVNNVIE_007940 NVIE_017110
NEVNTE_00652 NTE_02277
TAANMY3_02118(ndx1) NMY3_03349(mutT4)
NFNNFRAN_0755(mutT) NFRAN_2909(ndx)
NCVNCAV_0928
NDVNDEV_1711
CSYCENSYa_1469
CSUCSUB_C1592
NBVT478_0358
TAHSU86_008610
CCAINAS2_1107 NAS2_1117
MARHMia14_0108
 » show all
Reference
1  [PMID:6309793]
  Authors
Jakubowski H, Guranowski A.
  Title
Enzymes hydrolyzing ApppA and/or AppppA in higher plants. Purification and some properties of diadenosine triphosphatase, diadenosine tetraphosphatase, and phosphodiesterase from yellow lupin (Lupinus luteus) seeds.
  Journal
J Biol Chem 258:9982-9 (1983)
Reference
2  [PMID:181087]
  Authors
Vallejo CG, Lobaton CD, Quintanilla M, Sillero A, Sillero MA.
  Title
Dinucleosidasetetraphosphatase in rat liver and Artemia salina.
  Journal
Biochim Biophys Acta 438:304-9 (1976)
DOI:10.1016/0005-2744(76)90246-1
Reference
3  [PMID:4955726]
  Authors
Warner AH, Finamore FJ.
  Title
Isolation, purification, and characterization of P1,P4-diguanosine 5'-tetraphosphate asymmetrical-pyrophosphohydrolase from brine shrimp eggs.
  Journal
Biochemistry 4:1568-75 (1965)
DOI:10.1021/bi00884a016
Other DBs
ExplorEnz - The Enzyme Database: 3.6.1.17
IUBMB Enzyme Nomenclature: 3.6.1.17
ExPASy - ENZYME nomenclature database: 3.6.1.17
BRENDA, the Enzyme Database: 3.6.1.17
CAS: 37289-29-5
LinkDB

KEGG   REACTION: R01232
Entry
R01232                      Reaction                               
Name
P1,P4-bis(5'-guanosyl)-tetraphosphate guanylylhydrolase
Definition
P1,P4-Bis(5'-guanosyl) tetraphosphate + H2O <=> GTP + GMP
Equation
Reaction class
RC00002  C00044_C01261  C00144_C01261
Enzyme
Pathway
rn00230  Purine metabolism
rn01100  Metabolic pathways
Brite
Enzymatic reactions [BR:br08201]
 3. Hydrolase reactions
  3.6  Acting on acid anhydrides
   3.6.1  In phosphorus-containing anhydrides
    3.6.1.17
     R01232  P1,P4-Bis(5'-guanosyl) tetraphosphate + H2O <=> GTP + GMP
Orthology
K01518  bis(5'-nucleosidyl)-tetraphosphatase [EC:3.6.1.17]
K26955  bis(5'-nucleosidyl)-tetraphosphatase [EC:3.6.1.17]
Other DBs
RHEA: 22487
LinkDB

DBGET integrated database retrieval system