KEGG   ORTHOLOGY: K18447
Entry
K18447                      KO                                     
Symbol
NUDX14
Name
ADP-sugar diphosphatase [EC:3.6.1.21]
Pathway
map00051  Fructose and mannose metabolism
map00230  Purine metabolism
map00500  Starch and sucrose metabolism
map01100  Metabolic pathways
map01110  Biosynthesis of secondary metabolites
Reaction
R00951  ADP-glucose glucose-1-phosphohydrolase
R01885  
R02677  ADPmannose sugarphosphohydrolase
Brite
KEGG Orthology (KO) [BR:ko00001]
 09100 Metabolism
  09101 Carbohydrate metabolism
   00051 Fructose and mannose metabolism
    K18447  NUDX14; ADP-sugar diphosphatase
   00500 Starch and sucrose metabolism
    K18447  NUDX14; ADP-sugar diphosphatase
  09104 Nucleotide metabolism
   00230 Purine metabolism
    K18447  NUDX14; ADP-sugar diphosphatase
Enzymes [BR:ko01000]
 3. Hydrolases
  3.6  Acting on acid anhydrides
   3.6.1  In phosphorus-containing anhydrides
    3.6.1.21  ADP-sugar diphosphatase
     K18447  NUDX14; ADP-sugar diphosphatase
Other DBs
GO: 0019144
Genes
ATH: AT4G11980(NUDX14)
ALY: 9308707
CRB: 17882379
CSAT: 104707490 104718007 104737206
EUS: EUTSA_v10028825mg
BRP: 103839915
BNA: 106367020 111199711
BOE: 106313762
RSZ: 108825631
THJ: 104806355
CPAP: 110817583
CIT: 102620274
MINC: 123212545
TCC: 18606404
GRA: 105800250
HSYR: 120135219
DZI: 111305872
EGR: 104443751
PVU: 137808033
VRA: 106765661
VAR: 108342720
VUN: 114176972
VUM: 124821148
CCAJ: 109809425
APRC: 113850090
MTR: 11426348
TPRA: 123887236
CAM: 101493191
PSAT: 127074132
VVO: 131637628
LJA: 130715049
LANG: 109349988
PCIN: 129322296
FVE: 101291056
AANS: 126793196
PPER: 18776759
PMUM: 103337345
PAVI: 110773493
PDUL: 117627226
MDM: 114824351
MSYL: 126618402
PXB: 103962357
PCOX: 137723211
ZJU: 107433563
CSAV: 115716402
CSV: 101208090
CMO: 103482685
BHJ: 120068404
MCHA: 111004513
CMAX: 111468947
CMOS: 111430183
CPEP: 111808124
RCU: 8272470
MEAN: 126677116
HBR: 110645498
MESC: 110617220
POP: 7465820
PEU: 105132201
PNZ: 133702166
JRE: 109010805
CILL: 122281205
CAVE: 132173607
QSU: 112021249
CSAA: 142612636
TWL: 119980619
VVI: 100241091
VRI: 117906951
SLY: 101256314
SPEN: 107028363
SOT: 102598696(aspP)
SSTN: 125878223
SDUL: 129889941
CANN: 107866998
LBB: 132635014
NSY: 104219747
NTO: 104084675
NAU: 109219938
INI: 109153314
ITR: 116027592
SIND: 105164172
OEU: 111372968
EGT: 105956224
SSPL: 121796402
SMIL: 131026367
SHIS: 125192585
APAN: 127257538
PEBU: 140828838
PTAB: 142542850
HAN: 110867672
ECAD: 122578775
LSV: 111898920
CCAV: 112521473
DCR: 108206244
AGRV: 141667743
RVL: 131336427
AEW: 130753338
DLT: 127812954
BVG: 104892392
SOE: 110784367
MOF: 131164168
NNU: 104590946
MING: 122081719
TSS: 122651267
OSA: 4339996
OBR: 102715117
OGL: 127775455
BDI: 100823727
TUA: 125520974
HVG: 123407541
LPER: 127311487
LRD: 124668302
SBI: 8069051
ZMA: 100277024
SVS: 117852805
PHAI: 112888880
PAUA: 133926158
TANG: 140770152
PDA: 103723649
EGU: 105054694
MUS: 135610738
DCT: 110093164
PEQ: 110037556
AOF: 109821948
MSIN: 131233137
ACAK: 137934357
NCOL: 116263144
CJF: 131064177
PPP: 112291990
NCR: NCU11186
NTE: NEUTE1DRAFT74174(NEUTE1DRAFT_74174)
SMP: 10810042(SMAC4_01239)
RTHE: 98124744(VTJ83DRAFT_3694)
TATV: 25781188(TrAtP1_012060)
TASP: 36612688(TrAFT101_010833)
MAW: 19248684(J3458_020950)
MAJ: MAA_10300
MBRN: 26244229(NUDT14)
CMT: CCM_06625
PLJ: 28888328(PLICBS_003532)
CDET: 87944510(CDEST_08007)
MBE: MBM_00318
PPSF: 300792303(PFLUO_LOCUS6266)
CPW: 9694854(D8B26_005761)
ABE: ARB_07091
TVE: TRV_06852
ADAC: 96084199(ACET3X_003877) 96085497(ACET3X_005175)
DFA: DFA_06098
TVA: 4768483(TVAGG3_0181010) 5466877(TVAGG3_0175630)
SSAO: 94295138(SS50377_21115)
GDI: GDI2517
GDJ: Gdia_0760
GXY: GLX_04130
GXL: H845_1445
KSC: CD178_02756(nudF_2)
FSC: FSU_2838
LBY: Lbys_0668
DFE: Dfer_1953
FAE: FAES_0683
 » show all
Reference
  Authors
Munoz FJ, Baroja-Fernandez E, Moran-Zorzano MT, Alonso-Casajus N, Pozueta-Romero J
  Title
Cloning, expression and characterization of a Nudix hydrolase that catalyzes the hydrolytic breakdown of ADP-glucose linked to starch biosynthesis in Arabidopsis thaliana.
  Journal
Plant Cell Physiol 47:926-34 (2006)
DOI:10.1093/pcp/pcj065
  Sequence
[ath:AT4G11980]
LinkDB

KEGG   ENZYME: 3.6.1.21
Entry
EC 3.6.1.21                 Enzyme                                 
Name
ADP-sugar diphosphatase;
ADP-sugar pyrophosphatase;
adenosine diphosphosugar pyrophosphatase
Class
Hydrolases;
Acting on acid anhydrides;
In phosphorus-containing anhydrides
Sysname
ADP-sugar sugarphosphohydrolase
Reaction(IUBMB)
ADP-sugar + H2O = AMP + alpha-D-aldose 1-phosphate [RN:R03570]
Reaction(KEGG)
R03570 > R00951 R01885 R02677;
(other) R00881 R01054
Substrate
ADP-sugar [CPD:C01469];
H2O [CPD:C00001]
Product
AMP [CPD:C00020];
alpha-D-aldose 1-phosphate [CPD:C00991]
Comment
Has a specificity that is distinct from that of UDP-sugar diphosphatase (EC 3.6.1.45).
History
EC 3.6.1.21 created 1972, modified 1999
Pathway
ec00051  Fructose and mannose metabolism
ec00230  Purine metabolism
ec00500  Starch and sucrose metabolism
ec01100  Metabolic pathways
ec01110  Biosynthesis of secondary metabolites
Orthology
K18447  ADP-sugar diphosphatase
Genes
ATHAT4G11980(NUDX14)
ALY9308707
CRB17882379
CSAT104707490 104718007 104737206
EUSEUTSA_v10028825mg
BRP103839915
BNA106367020 111199711
BOE106313762
RSZ108825631
THJ104806355
CPAP110817583
CIT102620274
CICCICLE_v10021310mg
PVY116108948 116116957
MINC123212545
TCC18606404
GRA105800250
GHI107890672 107896491
HSYR120135219
DZI111305872
EGR104443751
RARG115731914 115746444
GMX100809537 100818255
GSJ114412123 114412124
PVU137808033
VRA106765661
VAR108342720
VUN114176972
VUM124821148
CCAJ109809425
APRC113850090
MTR11426348
TPRA123887236
CAM101493191
PSAT127074132
VVO131637628
LJA130715049
ADU107484489 107487257
AIP107611869 107627251 107630418
AHF112703682 112721361 112721811 112740421 112748680 112772472 112776270 112794890 112794950
LANG109349988
PCIN129322296
QSAO6P43_034169
FVE101291056
AANS126793196
RCN112173207 112173229 112175345 112181382 112197565
PPER18776759
PMUM103337345
PAVI110773493
PDUL117627226
MDM114824351
MSYL126618402
PXB103962357
PCOX137723211
ZJU107433563
CSAV115716402
HLP133778292 133792084 133823871
CSV101208090
CMO103482685
BHJ120068404
MCHA111004513
CMAX111468947
CMOS111430183
CPEP111808124
RCU8272470
MEAN126677116
HBR110645498
MESC110617220
POP7465820
PEU105132201
PNZ133702166
JRE109010805
CILL122281205
CAVE132173607
AGLU133854762 133854763
QSU112021249
QLO115970046 115971182
CSAA142612636
TWL119980619
VVI100241091
VRI117906951
SLY101256314
SPEN107028363
SOT102598696(aspP)
SSTN125878223
SDUL129889941
CANN107866998
LBB132635014
NTA107800527 107828096
NSY104219747
NTO104084675
NAU109219938
INI109153314
ITR116027592
SIND105164172
OEU111372968
EGT105956224
SSPL121796402
SMIL131026367
SHIS125192585
APAN127257538
PEBU140828838
PTAB142542850
CARB113703070 113706215
HAN110867672
BHW143548801 143548802 143606597 143623837 143636783
ECAD122578775
LSV111898920
CCAV112521473
DCR108206244
AGRV141667743
CSIN114267622 114274461
RVL131336427
AEW130753338
DLT127812954
BVG104892392
SOE110784367
CQI110702548 110719410
ATRI130800508 130803878
SLAF141587310 141638534
MOF131164168
NNU104590946
MING122081719
TSS122651267
PSOM113274972 113274974 113304531
OSA4339996
DOSAOs06g0129700
OBR102715117
OGL127775455
BDI100823727
ATS109756643 109785867
TDC119287997 119330761
TAES123088218 123112486 123150239 123156455 123170483
TUA125520974
HVG123407541
LPER127311487
LRD124668302
SBI8069051
ZMA100277024
MFLO136508467 136527411
SITA101777735 101784855
SVS117852805
PVIR120669623 120702470
PHAI112888880
PAUA133926158
TANG140770152
PDA103723649
EGU105054694
MUS135610738
ZOF122035905 122037109
DCT110093164
PEQ110037556
AOF109821948
MSIN131233137
ACAK137934357
NCOL116263144
ATR105421714 18421322 18436604
CJF131064177
SMOSELMODRAFT_103175 SELMODRAFT_236667
PPP112291990
SLBAWJ20_1306
NCRNCU11186
NTENEUTE1DRAFT74174(NEUTE1DRAFT_74174)
SMP10810042(SMAC4_01239)
PANPODANSg4036
PBELQC761_115640
PPSDQC762_115640
PPSPQC763_115640
PPSAQC764_115640
TTTTHITE_2112728
MTMMYCTH_2297296
CTHRCTHT_0004240
RTHE98124744(VTJ83DRAFT_3694)
TMNUCRPA7_2849
FGRFGSG_11699
FPUFPSE_06923
FPOAFPOAC1_000175
FVNFVRRES_00299
FVRFVEG_00202
FOXFOXG_01293
NHENECHADRAFT_40647
FFCNCS54_00745800
FKRNCS57_00786600
FMUJ7337_001746
TRETRIREDRAFT_110293
TRRM419DRAFT_86440
TATV25781188(TrAtP1_012060)
TASP36612688(TrAFT101_010833)
MAW19248684(J3458_020950)
MAJMAA_10300
MBRN26244229(NUDT14)
PCHMVFPPC_10106
CMTCCM_06625
AMUSLMH87_011826
PLJ28888328(PLICBS_003532)
PTKZJDV02_000316
VDAVDAG_02673
CFJCFIO01_09782
CLUPCLUP02_08967
CHIGCH63R_07330
CDET87944510(CDEST_08007)
SAPOSAPIO_CDS10098
ELAUCREL1_2814
PFYPFICI_02325 PFICI_09735
SSLSS1G_03417
BFUBCIN_08g01920
MBEMBM_00318
PSCOLY89DRAFT_657698 LY89DRAFT_676088
GLZGLAREA_02824 GLAREA_03588
AFMAFUA_5G08235
ACTACLA_012270
NFINFIA_079060
AORAO090701000747
ANGAn03g04500
AFVAFLA_005262
ALUCAKAW2_50821S
ACHEACHE_21389S
APUUAPUU_80166S
PCSN7525_004777
PDPPDIP_52080
POUPOX_a00385
PPSF300792303(PFLUO_LOCUS6266)
TMFEYB26_004418
TRGTRUGW13939_08259
CIMCIMG_05959
CPW9694854(D8B26_005761)
ABEARB_07091
TVETRV_06852
PBLPAAG_00500
PBNPADG_02184
AJEHCAG_08405
BGHBDBG_03746
PNOSNOG_13755
PTEPTT_10040 PTT_20075
BZECOCCADRAFT_34207 COCCADRAFT_4248
BSCCOCSADRAFT_37531
BORCOCMIDRAFT_88101
AALTCC77DRAFT_1015478 CC77DRAFT_933850
ADAC96084199(ACET3X_003877) 96085497(ACET3X_005175)
ARABEKO05_0007730 EKO05_0011330
NPAUCRNP2_1663 UCRNP2_9991
TMLGSTUM_00004853001
RIEOCT59_029513
DDIDDB_G0271376
DPPDICPUDRAFT_43149
DFADFA_06098
TETTTHERM_000421119
PTMGSPATT00013751001 GSPATT00018474001
NGRNAEGRDRAFT_31803
TVA4768483(TVAGG3_0181010) 5466877(TVAGG3_0175630)
GLAGL50803_004204
SSAO94295138(SS50377_21115)
GTTGUITHDRAFT_110363 GUITHDRAFT_110441 GUITHDRAFT_72961
GOYGLS_c22810
GDIGDI2517
GDJGdia_0760
GXYGLX_04130
GXLH845_1445
KNAB0W47_00465
KEUS101446_00578
KSCCD178_02756(nudF_2)
KREGWK63_07270
KOILV478_13220
ABGAsbog_00793
NCHA0U93_14060
KHAIFJ82_10030
FSUFisuc_2291
FSCFSU_2838
SLISlin_5285 Slin_5741
SRDSD10_07725 SD10_25465
SMONAWR27_24440
SPIRCWM47_15590
SPIKEXU85_01600
SPIBG8759_04015
STAEHNV11_00825 HNV11_00830
SOQLQ777_01560
SFOLH3H32_32435
SENFGJR95_27635
LBYLbys_0668
EOLEmtol_1178
ALSDJ013_08685
DFEDfer_1953
DSNHWI92_03355
DYCNFI80_09135
RSIRunsl_4356
RUNDR864_05070
RUPDTQ70_10300
FAEFAES_0683
FIBA6C57_09770
HYAHY04AAS1_1113
HHOHydHO_1113
HYSHydSN_1141
 » show all
Reference
1  [PMID:5686292]
  Authors
Rodriguez P, Bass ST, Hansen RG.
  Title
A pyrophosphatase from mammalian tissues specific for derivatives of ADP.
  Journal
Biochim Biophys Acta 167:199-201 (1968)
DOI:10.1016/0005-2744(68)90294-5
Other DBs
ExplorEnz - The Enzyme Database: 3.6.1.21
IUBMB Enzyme Nomenclature: 3.6.1.21
ExPASy - ENZYME nomenclature database: 3.6.1.21
BRENDA, the Enzyme Database: 3.6.1.21
CAS: 37289-32-0
LinkDB

KEGG   REACTION: R01885
Entry
R01885                      Reaction                               
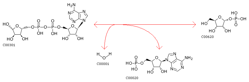
Definition
ADP-ribose + H2O <=> alpha-D-Ribose 1-phosphate + AMP
Equation
Reaction class
RC00002  C00020_C00301
Enzyme
Pathway
rn00230  Purine metabolism
rn01100  Metabolic pathways
Brite
Enzymatic reactions [BR:br08201]
 3. Hydrolase reactions
  3.6  Acting on acid anhydrides
   3.6.1  In phosphorus-containing anhydrides
    3.6.1.21
     R01885  ADP-ribose + H2O <=> alpha-D-Ribose 1-phosphate + AMP
IUBMB reaction hierarchy [BR:br08202]
 3. Hydrolase reactions
  3.6.1.21
   R03570  ADP-sugar <=> alpha-D-Aldose 1-phosphate
    R01885  ADP-ribose <=> alpha-D-Ribose 1-phosphate
Orthology
K18447  ADP-sugar diphosphatase [EC:3.6.1.21]
LinkDB

DBGET integrated database retrieval system