KEGG   ORTHOLOGY: K22602
Entry
K22602                      KO                                     
Symbol
hpxW
Name
oxamate amidohydrolase [EC:3.5.1.126]
Pathway
map00230  Purine metabolism
map01100  Metabolic pathways
map01120  Microbial metabolism in diverse environments
Reaction
R11617  oxamate amidohydrolase
Brite
KEGG Orthology (KO) [BR:ko00001]
 09100 Metabolism
  09104 Nucleotide metabolism
   00230 Purine metabolism
    K22602  hpxW; oxamate amidohydrolase
 09180 Brite Hierarchies
  09181 Protein families: metabolism
   01002 Peptidases and inhibitors
    K22602  hpxW; oxamate amidohydrolase
Enzymes [BR:ko01000]
 3. Hydrolases
  3.5  Acting on carbon-nitrogen bonds, other than peptide bonds
   3.5.1  In linear amides
    3.5.1.126  oxamate amidohydrolase
     K22602  hpxW; oxamate amidohydrolase
Peptidases and inhibitors [BR:ko01002]
 Threonine peptidases
  Family T3: gamma-glutamyltransferase family
   K22602  hpxW; oxamate amidohydrolase
Other DBs
COG: COG0405
Genes
ENL: A3UG_08000
ECLG: EC036_15400
ECLN: ECNIH4_14590
EAU: DI57_10815
EKB: BFV64_08030
ENO: ECENHK_08050
EEC: EcWSU1_01577(ywrD)
ELG: BH714_03980
ERN: BFV67_07630
ECLS: LI67_009105
ECHG: FY206_09245(hpxW)
ESH: C1N69_08115(hpxW)
EPT: HWQ17_04710(hpxW)
ECHU: RQP59_08315(hpxW)
ENF: AKI40_4038(ggt)
EBG: FAI37_21530(hpxW)
ENZ: G0034_07870(hpxW)
EHU: D5067_0014790(hpxW)
EMOR: L6Y89_07735(hpxW)
EQU: OM418_07730(hpxW)
EPU: QVH39_08130(hpxW)
EDY: F0320_07440(hpxW)
EAX: AAHF05_07915(hpxW)
ENTE: GXP72_08200(hpxW)
ENHK: EnteroDNA1_00030(ywrD_1)
ENTC: NWV12_07585(hpxW)
KPN: KPN_01768
KPU: KP1_2816
KPP: A79E_2466
KPR: KPR_2435
KPJ: N559_2533
KPX: PMK1_04107(ywrD)
KPNU: LI86_12615
KPNK: BN49_2857
KVA: Kvar_2544
KPE: KPK_2602
KOX: KOX_16795
KOE: A225_2207
EAE: EAE_19155
EAR: CCG30051
KLW: DA718_17815(hpxW)
KAR: LGL98_12235(hpxW)
KGR: JJJ10_17740(hpxW)
KPAS: LUW96_17405(hpxW)
KLC: K7H21_17455(hpxW)
REE: electrica_03267(ywrD)
KLP: GUC22_16715(hpxW)
KLX: GQR96_12290(hpxW)
CLAP: NCTC11466_03691(ywrD)
KOR: AWR26_16030(hpxW)
ICP: ICMP_513(ggt)
SBW: TGUWTKB_0820(ggt)
PVJ: LMA04_04765(hpxW)
SUPE: P0H77_09000(hpxW)
FPUL: ACBV55_04075(ggt)
PSTS: E05_03740
YEY: Y11_21711
SPE: Spro_0930
SRL: SOD_c07840(ywrD)
SPLY: Q5A_004175(ywrD)
SMAF: D781_1713
SFJ: SAMEA4384070_0960(ywrD)
SOF: NCTC11214_00572(ywrD)
SRHZ: FO014_01655(hpxW)
SGRI: SGBXF1_00852(ywrD)
SERT: TAN611_1833(hpxW)
RAA: Q7S_04405
ECA: ECA3497
PATR: EV46_17315
PATO: GZ59_35110
PCT: PC1_3315
PEC: W5S_3607
PVZ: OA04_35780(ggtB)
PARL: PEC302110_30800(hpxW)
DDQ: DDI_3227
EAM: EAMY_0856(ggt3)
EAY: EAM_0868
ETA: ETA_26240(ggt)
EPY: EpC_27490(ggt)
EPR: EPYR_02985(ggt)
EBI: EbC_08570(ggt)
ERJ: EJP617_19850(ggt)
EGE: EM595_0850(ggt2)
PAM: PANA_0858(ggt)
PLF: PANA5342_3449(ggt7)
PAJ: PAJ_0193(ggt)
PVA: Pvag_0252(ggt1)
HHS: HHS_08180(ggt)
PSTW: DSJ_19490
TPTY: NCTC11468_02971(ywrD)
PMAK: PMPD1_0995
XCC: XCC0291(ggt)
XCB: XC_0301
XCA: xcc-b100_0316(ggt1)
XCP: XCR_4221(ggt)
XCV: XCV0314(ggt1)
XAX: XACM_0290(ggt)
XAC: XAC0305(ggt)
XCI: XCAW_00706(ggt)
XFU: XFF4834R_chr02790(ggt1)
XPH: XppCFBP6546_10355(XppCFBP6546P_10355)
XEU: XSP_000311(ggt)
XHD: LMG31886_03380(hpxW)
XDY: NYR95_01765(ggt)
PSD: DSC_09835
VCH: VC_A0558
VCS: MS6_A0607
VCI: O3Y_16153
VSR: Vspart_04150(ywrD)
VPL: SA104470976_03323(ywrD)
PSES: PSCI_5245
PMY: Pmen_3832
EMO: DM558_09430(ggt)
MBS: MRBBS_1211(ywrD) MRBBS_2959(ywrD) MRBBS_3820(ywrD)
PEA: PESP_b0383(ggt)
PART: PARC_b0285(ggt)
PAGA: PAGA_b0401(ggt)
AMAL: I607_07370
AMAE: I876_07640
AMAO: I634_07760
AMAD: I636_08175
AMAI: I635_08105
AMAG: I533_07635
AMAC: MASE_07260
AAUS: EP12_08165
PAT: Patl_2054
PIN: Ping_2425
CJA: CJA_0575
TCX: Tcr_1413
AEH: Mlg_2047
GAI: IMCC3135_13465(ywrD_1)
HBP: HPTD01_17
ALCA: ASALC70_01606(ywrD_2)
ADI: B5T_03892
TAU: Tola_1957
SVA: SVA_0806
CDIZ: CEDIAZO_00583(hpxW)
REH: H16_A0784(ggt2a)
CNC: CNE_1c07960(ggtA)
CPAU: EHF44_25205(ggt)
COX: E0W60_09580(ggt)
CUPE: KLP38_27115(ggt)
CUPP: CTP10_R42090(ggt)
CUPA: LPA45_22400(ggt)
BGP: BGL_2c05070(ywrD)
BXE: Bxe_B1050
BXB: DR64_6370
BPH: Bphy_4543
PDIO: PDMSB3_1746.1(hpxW) PDMSB3_2060.1(hpxW)
PNU: Pnuc_0445
POH: DPM16_07050(ggt)
PTRP: DCO17_09190(ggt)
PARD: DN92_09425
PLG: NCTC10937_02925(ywrD_4)
CABA: SBC2_57290(ywrD_2)
CABK: NK8_66700
BPAR: BN117_3811(ggt)
BPA: BPP0885(ggt)
BBH: BN112_2465(ggt)
BBR: BB0978(ggt)
BBM: BN115_0937(ggt)
BBX: BBS798_0952(ggt)
ODI: ODI_R4100
HYB: Q5W_24690
LCH: Lcho_3809
MMS: mma_0601(ggt2) mma_2541(ggt3) mma_2912(ggt5)
HSE: Hsero_3781(ggt)
HRB: Hrubri_3752(ggt)
OFO: BRW83_0666(ywrD)
BBAG: E1O_25000
SEME: MIZ01_0927
SLAC: SKTS_29660
DSU: Dsui_0417
BPRC: D521_1842
AGC: BSY240_10
AVI: Avi_2100(ggt)
RTR: RTCIAT899_PC01410(ggt3)
KAI: K32_36680
BAUT: QA635_15810(ggt)
BBRA: QA636_16320(ggt)
BPAH: QA639_29255(ggt)
OCA: OCAR_4626(ggt3) OCAR_5746(ggt) OCAR_6970(ggt4)
OCG: OCA5_c11190(ggt3) OCA5_c22620(ggt4) OCA5_c33200(ggt5)
OCO: OCA4_c11190(ggt3) OCA4_c22610(ggt4) OCA4_c32680(ggt5)
VGO: GJW-30_1_02477(ywrD_2)
TALZ: RPMA_25425
BOS: BSY19_42
XAU: Xaut_0189
AZC: AZC_4049
MET: M446_4891
MNO: Mnod_1832
MOR: MOC_1083
MAQU: Maq22A_1p37245(ggt)
MIND: mvi_05360
MECL: CLZ_04545 CLZ_21535(ggt)
MEHY: MHY1_02142(ywrD)
BBAR: RHAL1_03571(hpxW)
PHL: KKY_2375
PLEO: OHA_2_00015(ywrD)
HDI: HDIA_4118(ywrD_2)
MMED: Mame_02855(ywrD_1)
ASTD: ATDW_24850
KVL: KVU_1141(ggt) KVU_PA0258
KRO: BVG79_01383(ggt)
CID: P73_4040
ROT: FIV09_12575(ywrD2)
PMAU: CP157_01988(hpxW)
LIT: FPZ52_11590(ggt)
SPHI: TS85_03595
SSAN: NX02_01490
SMAZ: LH19_05570
SWI: Swit_1433
SPHD: HY78_19400
SPAG: sphantq_04363(hpxW)
ALB: AEB_P2954
GOX: GOX1295
GOH: B932_0814
GOY: GLS_c13810(ywrD)
GDI: GDI1996(ggt)
GDJ: Gdia_0219
GXY: GLX_26960
GXL: H845_639
KSC: CD178_00376(ywrD)
APK: APA386B_133(ggt)
ASZ: ASN_2432(ggt) ASN_3552(ggt)
SHUM: STHU_48700(ggt_8)
SVC: STVA_48850(ggt_8)
RRU: Rru_A3318
RRF: F11_17005
MGRY: MSR1_29420(ywrD)
MAGX: XM1_0602
MAGN: WV31_11540
MAG: amb4309
TXI: TH3_11380
TTB: MACH01_14050(ggt_2)
AFR: AFE_0785(ggt)
ACU: Atc_m029
ABU: Abu_0961(ggt)
ADZ: ADFLV_0956(ggt)
ARC: ABLL_1026
AMOL: AMOL_1572(ggt)
HEBR: AEBR_2498(ggt)
AANA: AANAER_0045(ggt)
DDS: Ddes_2027
DEF: CNY67_01975(ggt)
DVM: DvMF_3118
CLIH: KPS_003573
BGY: BGLY_4251
BACQ: DOE78_15690(ggt)
BCIR: C2I06_01440(ggt)
BKW: BkAM31D_03225(ywrD_1)
BKO: CKF48_06320(ggt)
LYG: C1N55_01830(ggt)
BCK: BCO26_0887(ywrD)
BBE: BBR47_55520(ywrD)
BAGR: BA6348_04535(ggt)
BCOP: JD108_21170(ggt)
ASED: IRT44_04585(ggt)
PSAB: PSAB_06740
PRI: PRIO_1618(ywrD)
PSON: JI735_16205(ggt)
PDH: B9T62_01970(ggt)
PALB: EJC50_00070(ggt)
PRZ: GZH47_00635(ggt)
PLYC: GXP70_15645(ggt)
PSOP: KP014_10505(ggt)
PTRI: KDC22_06710(ggt)
PTJ: JRJ22_05850(ggt)
PPAB: KET34_17920(ggt)
PAUB: PUR_14030(ywrD)
COH: EAV92_12860(ggt)
MAIC: MAIC_12170(ggt)
MTY: MTOK_34180(ggt_1)
MARZ: MARA_25930(ggt_2)
MHEV: MHEL_35260(ggt)
MANY: MANY_51590(ggt)
RRT: 4535765_03820(ywrD_2)
RFA: A3L23_00931(ywrD)
RHS: A3Q41_02422(ywrD)
MOO: BWL13_00319(ywrD_1)
GRY: D7I44_07435(ggt)
ACTN: L083_5367
AFS: AFR_16955
CWO: Cwoe_5039
CTHE: Chro_5193
NPH: NP_1844A(ggt)
NMG: Nmag_3026(ggt1)
 » show all
Reference
  Authors
Pope SD, Chen LL, Stewart V
  Title
Purine utilization by Klebsiella oxytoca M5al: genes for ring-oxidizing and -opening enzymes.
  Journal
J Bacteriol 191:1006-17 (2009)
DOI:10.1128/JB.01281-08
  Sequence
[kox:KOX_16795]
Reference
  Authors
Hicks KA, Ealick SE
  Title
Biochemical and structural characterization of Klebsiella pneumoniae oxamate amidohydrolase in the uric acid degradation pathway.
  Journal
Acta Crystallogr D Struct Biol 72:808-16 (2016)
DOI:10.1107/S2059798316007099
  Sequence
[kpn:KPN_01768]
LinkDB

KEGG   ENZYME: 3.5.1.126
Entry
EC 3.5.1.126                Enzyme                                 
Name
oxamate amidohydrolase;
HpxW
Class
Hydrolases;
Acting on carbon-nitrogen bonds, other than peptide bonds;
In linear amides
Sysname
oxamate amidohydrolase
Reaction(IUBMB)
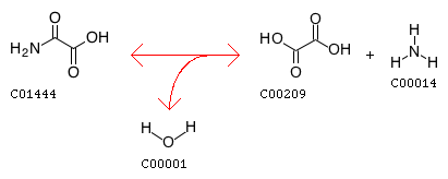
oxamate + H2O = oxalate + NH3 [RN:R11617]
Reaction(KEGG)
R11617
Substrate
oxamate [CPD:C01444];
H2O [CPD:C00001]
Product
oxalate [CPD:C00209];
NH3 [CPD:C00014]
Comment
The enzyme has been characterized from the bacterium Klebsiella pneumoniae.
History
EC 3.5.1.126 created 2017
Pathway
ec00230  Purine metabolism
ec01100  Metabolic pathways
ec01120  Microbial metabolism in diverse environments
Orthology
K22602  oxamate amidohydrolase
Genes
ENLA3UG_08000
ECLGEC036_15400
ECLNECNIH4_14590
EAUDI57_10815
EKBBFV64_08030
ENOECENHK_08050
EECEcWSU1_01577(ywrD)
ELGBH714_03980
ERNBFV67_07630
ECLSLI67_009105
ECHGFY206_09245(hpxW)
ESHC1N69_08115(hpxW)
EPTHWQ17_04710(hpxW)
ECHURQP59_08315(hpxW)
EASEntas_1505
ENRH650_20070
ENXNI40_007535
ENFAKI40_4038(ggt)
LNICWR52_04245
EBGFAI37_21530(hpxW)
ENDA4308_12745
ENZG0034_07870(hpxW)
EHUD5067_0014790(hpxW)
EMORL6Y89_07735(hpxW)
ENBELK40_08430
EQUOM418_07730(hpxW)
EPUQVH39_08130(hpxW)
EDYF0320_07440(hpxW)
EAXAAHF05_07915(hpxW)
ENTEGXP72_08200(hpxW)
ENHKEnteroDNA1_00030(ywrD_1)
ENTCNWV12_07585(hpxW)
KPNKPN_01768
KPUKP1_2816
KPMKPHS_27170
KPPA79E_2466
KPHKPNIH24_14735
KPZKPNIH27_13050
KPVKPNIH29_13670
KPWKPNIH30_13980
KPYKPNIH31_12975
KPGKPNIH32_13825
KPCKPNIH10_13500
KPQKPR0928_13525
KPTVK055_0721
KPOKPN2242_11720
KPRKPR_2435
KPJN559_2533
KPID364_09060
KPAKPNJ1_02724
KPSKPNJ2_02678
KPXPMK1_04107(ywrD)
KPBFH42_04875
KPNEKU54_012680
KPNULI86_12615
KPNKBN49_2857
KVAKvar_2544
KPEKPK_2602
KPKA593_23635
KVDKR75_21560
KVQSP68_02345
KQUAVR78_17785
KQVB8P98_13730
KOXKOX_16795
KOEA225_2207
KOYJ415_20745
KOMHR38_15315
KMIVW41_04100
KOKKONIH1_10795
KOCAB185_25340
EAEEAE_19155
EARCCG30051
KLLBJF97_11070
KLWDA718_17815(hpxW)
KARLGL98_12235(hpxW)
KGRJJJ10_17740(hpxW)
KPASLUW96_17405(hpxW)
KLCK7H21_17455(hpxW)
KLMBWI76_10560
REEelectrica_03267(ywrD)
KLPGUC22_16715(hpxW)
KLXGQR96_12290(hpxW)
RORRORB6_09670
RONTE10_10900
RAODSD31_16305
CNTJT31_08165
CEMLH23_09555
CENLH86_09610
CLAPNCTC11466_03691(ywrD)
PGELG71_23955
KSAC813_25260
KORAWR26_16030(hpxW)
KRDA3780_08260
KCOBWI95_10265
KOTEH164_17795
KPSEIP581_04510
KOBHF650_05015
KOOO9K67_19900
KOUC0557_08660
KCAAAEY27_17485
KASKATP_42120
KLUK7B04_03265
KCYRIN60_21050
KGNGY169_21870
ICPICMP_513(ggt)
BUFD8682_10845
BAGEBADSM9389_33110
BFTMNO13_19510
BSELRHD99_19455
SBWTGUWTKB_0820(ggt)
SGOEA8O29_018470
KINAB182_20525
PDZHHA33_23050
METYMRY16398_45550
IZHFEM41_12050
PVJLMA04_04765(hpxW)
SUPEP0H77_09000(hpxW)
MPHGMPHASIOC01_004396
FPULACBV55_04075(ggt)
EBCC2U52_02120
EBUCUC76_02295
PSTSE05_03740
YEYY11_21711
YEFFORC2_3198
YEEYE5303_37011
YHID5F51_14430
YELLC20_06955
YASN0H69_20260
YKIHRD70_21840
SPESpro_0930
SRRSerAS9_0853
SRLSOD_c07840(ywrD)
SRYM621_04325
SPLYQ5A_004175(ywrD)
SRSSerAS12_0853
SRASerAS13_0853
SMAFD781_1713
SLQM495_03935
SERSSERRSCBI_04040
SRZAXX16_3410
SERMCLM71_08290
SQUE4343_11850
SFJSAMEA4384070_0960(ywrD)
SOFNCTC11214_00572(ywrD)
SURIJ0X03_19520
SRHZFO014_01655(hpxW)
SENPKHA73_04150
SNEMNLX84_04135
SGRISGBXF1_00852(ywrD)
SERBQEP77_18715
SERTTAN611_1833(hpxW)
RAHRahaq_0931
RACEJHW33_21370
RAQRahaq2_0998
RAAQ7S_04405
RVCJ9880_12320
RBONQNM34_04785
RIUI2123_06660
GQUAWC35_07755
EAMEGXP68_16260
RBADH2866_03315
RCBO1V66_00120
ROUAB3G37_05040
CARUP0E69_15860
NIGC1N62_13315
SERASer39006_007570
SERQCWC46_07565
PRODPCO85_17925
ECAECA3497
PATREV46_17315
PATOGZ59_35110
PCTPC1_3315
PCCPCC21_033160
PWAPecwa_3471
PPARA8F97_01270
PECW5S_3607
PWSA7983_13230
PPOABJK05_11540
PBRAB5S52_05135
PPUJE2566_16665
PARII2D83_05260
PAQUDMB82_0004835
PVZOA04_35780(ggtB)
PPAVLOZ86_16175
PQUIG609_004250
PPOOLW347_16765
PCACOI450_00810
PACBM9782_18960
PARLPEC302110_30800(hpxW)
PPEUDUT67_04770
DDDDda3937_00911
DZEDd1591_0875
DDCDd586_3270
DZCW909_15640
DSOA4U42_04240
CEDLH89_17405
DFNCVE23_17420
DDQDDI_3227
DAQDAQ1742_03478
DICDpoa569_0003038
DLCO1Q98_15905
DADV6C41_03095
DDADd703_0905
BGJAWC36_00905
BRBEH207_04185
BNGEH206_04615
BIZHC231_04800
LPOPI6N93_03305
SLIGGTU79_22140
EAMEAMY_0856(ggt3)
EAYEAM_0868
ETAETA_26240(ggt)
EPYEpC_27490(ggt)
EPREPYR_02985(ggt)
EBIEbC_08570(ggt)
ERJEJP617_19850(ggt)
EPECI789_14170
ERWIGN242_16845
ERPLJN55_04435
EPIQ3V30_16980
ERWEGKQ23_19150
ETORIN69_04860
EGEEM595_0850(ggt2)
PAMPANA_0858(ggt)
PLFPANA5342_3449(ggt7)
PAJPAJ_0193(ggt)
PAQPAGR_g3342
PVAPvag_0252(ggt1)
PAGGAL522_08215
PAOPat9b_0797
KLNLH22_18230
PANTPSNIH1_08950
PANPPSNIH2_13765
HHSHHS_08180(ggt)
PCKBMSBPS_0452
PAGCBEE12_10955
PSTWDSJ_19490
PALHB1H58_02810
PANSFCN45_04075
PEYEE896_15330
PDISD8B20_03905
PERLAC65_03145
PJIKTJ90_15190
PANOOJ965_17065
KPIEN5580_14555
PALFK6R05_14915
PPHOCTZ24_04135
PDIPKFZ74_15925
PANEP6287_04175
PAMTIAI47_15280
PANZNR302_04305
PPHIACF2G4_18415
PGZC2E15_05000
PCDC2E16_04925
MHANK6958_04690
TCIA7K98_15610
TPTYNCTC11468_02971(ywrD)
TATUEFZ10_11350
PMAKPMPD1_0995
XCCXCC0291(ggt)
XCBXC_0301
XCAxcc-b100_0316(ggt1)
XCPXCR_4221(ggt)
XCVXCV0314(ggt1)
XAXXACM_0290(ggt)
XACXAC0305(ggt)
XCIXCAW_00706(ggt)
XCTJ151_00424
XCJJ158_00421
XCUJ159_00421
XCNJ169_00420
XCWJ162_00420
XCRJ163_00420
XCMJ164_00420
XCFJ172_00415
XFUXFF4834R_chr02790(ggt1)
XAOXAC29_01565
XGMKFS84_15710
XVEBJD12_14150
XPEBJD13_15505
XHRXJ27_17275
XGABI317_22450
XPHXppCFBP6546_10355(XppCFBP6546P_10355)
XVAC7V42_01430
XANAC801_01350
XARXB05_15235
XHYFZ025_14220
XEUXSP_000311(ggt)
XHDLMG31886_03380(hpxW)
XPRMUG10_08775
XDYNYR95_01765(ggt)
XASHEP74_00977
XINQ7W82_18275
XAIHEP75_00997
XAZXSP_000315
XTSAB3X08_05325
XMDAB3X07_05740
XBNAB3X10_05425
PSDDSC_09835
PWIMWN52_08850
VCHVC_A0558
VCFIR04_02345
VCSMS6_A0607
VCEVch1786_II0246
VCQEN18_01205
VCJVCD_000770
VCIO3Y_16153
VCOVC0395_0492
VCRVC395_A0767
VCMVCM66_A0517
VCLVCLMA_B0355
VCXVAA049_2388
VCZVAB027_605
VNAPN96_06305
VEJVEJY3_06750
VFUvfu_B00178
VFLAL536_03525
VMIAL543_04450
VBRA6E01_17795
VGABSQ33_18180
VASGT360_06940
VSRVspart_04150(ywrD)
VZIG5S32_06335
VPLSA104470976_03323(ywrD)
VOSKNV97_01315
VTICEQ48_05380
VRURND59_19350
VMTQYQ96_14460
VIBVspSTUT11_14630
VIHAB0763_16000
VIDDBX26_06910
VICSNR28_17460
PPWPputW619_2160
PPSLBJP27_15375
PLULFOB45_23945
PRHLT40_00260
PSESPSCI_5245
PPSYAOC04_11155
PSEJHNQ25_05285
PPAOK3169_27630
PSLPBHQ29_21810
PSMLV6P94_16510
PMYPmen_3832
PTYJWV26_10910
PHFNLY38_21580
PCHEQYM18_08315
EMODM558_09430(ggt)
HPEGEAO82_07140
MBSMRBBS_1211(ywrD) MRBBS_2959(ywrD) MRBBS_3820(ywrD)
MPQABA45_12110 ABA45_17930
MSQBKP64_06130
MNKRE428_42700
MFLIACGK9W_08495
MBAHHYN46_02915
PBWD172_017935
PEAPESP_b0383(ggt)
PARTPARC_b0285(ggt)
PAGAPAGA_b0401(ggt)
PCARPC2016_3574
PDVFFU37_18825
PSMMPspMM1_34160
PXSIEJ103_18615
PSLCJG479_18845
PSPSPS1M3_35260
AMCMADE_1008030
AMAAamad1_08115
AMALI607_07370
AMAEI876_07640
AMAOI634_07760
AMADI636_08175
AMAII635_08105
AMAGI533_07635
AMACMASE_07260
AMBAMBAS45_07785
AMGAMEC673_07310
AMKAMBLS11_07260
ALTambt_10740
AALEP13_07990
AAUSEP12_08165
ASPAOR13_1982
ASQAVL57_08635
AAWAVL56_07530
ALRDS731_12400
ALEAV939_07650
ALZAV940_07480
APELCA267_001345
ALTEALT761_01520
ALTMBM527_07710
ALTRBM528_06680
ALTOAltI4_25990
AMABACI7YQ_07430
ALTBIUA53_11505
ALTAD1814_00325
ALTDD210916_18330
ALTZACM0P2_07995
AALEACOJRU_07155
AUVACOJR9_07825
SALMD0Y50_07325
GAGGlaag_2213
PMESFX988_00514
PATPatl_2054
ALIIQR722_09430
PMAWMACH26_20450
HAROR50071_33140
PINPing_2425
CJACJA_0575
CEBB0D95_17280
CELLCBR65_01565
CEKD0B88_01600
TTUTERTU_2024
TCXTcr_1413
HTREPV75_09940
TIBTHMIRHAM_21290
TZOTHMIRHAT_16590
AEHMlg_2047
SSALSPISAL_00730
SPIUSPICUR_05525
SHAILMH63_01060
APRSBI364_02490
AAEOBJI67_02890
NAXHC341_01675
HNAHneap_0829
HAZA9404_03930
GAIIMCC3135_13465(ywrD_1)
HAKKO116_03082
HAMHALO3322 HALO3768
HSIBOX17_13170
HAFC8233_02930
HPROLMS44_04040(ggt) LMS44_06750
HQDK1Y77_05140
HBPHPTD01_17
HALFQEN58_05800
HASOB2G49_03530
HASHHXW73_05685
HAAHHALA3H3_1010004(ggt) HALA3H3_30035
HABDOM794_06405
HQNM0220_02445
HAFNKF947_15675(ggt) KF947_18355
HANYLG409_12560
HAAZHaloA020_22570
HSPEIT895_12720
HHHCLM76_11945
HOLHORIV_20090
HSRHSBAA_18030
HPIZGYM47_05435
HNPSR894_03410(ggt) SR894_05710
HTTHZS52_21610 HZS52_24060(ggt)
HMDCTT34_05775
VREACFIOZ_04170(ggt) ACFIOZ_06655
VRSV8F66_06270
ZPLZBT109_0113
HAAA5892_18350
CMAIBFX80_09655
CAMHLCW13_08360
COBECLAM6_15970
COBBH2O77_08340
COBDU0O11_07875
COBCF8A90_08280
KUSB9G99_00800
KMAB9H00_14465
KUYFY550_15660
ALCAASALC70_01606(ywrD_2)
ADIB5T_03892
MMWMmwyl1_0452
MMEMarme_0158
MPCMar181_3104
MPRIMP3633_0326
MARDIBG28_02005
MFOIJSY38_10855
MRHIKDW99_02140
MPONMACH16_03060
MATHTHO17_26660
GSNYC6258_01382
RFOREIFOR_00288
TAUTola_1957
GAPGAPWK_2629
SVASVA_0806
ACIIC4901_04780 C4901_13370
ATYA9R16_003735
SALNSALB1_0333 SALB1_2635
CDIZCEDIAZO_00583(hpxW)
RPJN234_05830 N234_36970
REHH16_A0784(ggt2a)
CNCCNE_1c07960(ggtA)
CUHBJN34_04400
CTIRALTA_B1275
CCUPBKK81_32215
CUPBKK80_24105
CUUBKK79_29385
CPAUEHF44_25205(ggt)
COXE0W60_09580(ggt)
CCAMM5D45_08950 M5D45_24995
CUKKB879_04200 KB879_11445
CNANA2G96_25905
CUPEKLP38_27115(ggt)
CUPPCTP10_R42090(ggt)
CUPALPA45_22400(ggt)
BGFBC1003_5973
BYIBYI23_C001480 BYI23_C004060
BUQAC233_05055
BGPBGL_2c05070(ywrD)
BPLAbpln_2g05570
BXEBxe_B1050
BXBDR64_6370
BPHBphy_4543
BGEBC1002_3533 BC1002_5707
BPYBphyt_5252
BFNOI25_3988 OI25_5013
PSPWBJG93_25460
PARBCJU94_34305
PHSC2L64_08245
PGPCUJ91_05540
PCJCUJ87_20390
PTSCUJ90_21785 CUJ90_30665
PCAFDSC91_001395
PTROG5S35_30155 G5S35_36305
PGISI6I06_22835
PDIOPDMSB3_1746.1(hpxW) PDMSB3_2060.1(hpxW)
PKFRW095_22180
PLADPPGU16_60640
PAZZPBP221_63100
PNUPnuc_0445
PDQCL55_00018280
POHDPM16_07050(ggt)
PTRPDCO17_09190(ggt)
PANIDCO16_09965
PPALAOC06_07630
PCOSC2747_09235
PYTPKF023_17020
PIUAOC20_08530
PWUA8O14_10345
PARDDN92_09425
POLKPKF022_16490
POLTTUM22923_15880
PPKU875_02980 U875_11105
PPNODA70_03505 DA70_11670 DA70_20015
PPNMLV28_02810 LV28_10370 LV28_19265
PRBX636_06515 X636_15160 X636_23595
PSPUNA29_09290 NA29_15425
PAPISG18_04705 SG18_09190 SG18_20645
PVEUC34_05015 UC34_13030
POXMB84_00660 MB84_17550
PFGAB870_23140
PNRAT302_00235 AT302_19155
PANDDRB87_12045
PFIBPI93_000305 PI93_007245(ggt) PI93_014945(ggt)
PCOMNTU39_05925 NTU39_14610 NTU39_22880(ggt)
PANNPanNE5_35840
PANXOYT13_12410
PLGNCTC10937_02925(ywrD_4)
CABASBC2_57290(ywrD_2)
CABKNK8_66700
BUEBRPE67_CCDS08140 BRPE67_CCDS11560
LIMNHKT17_10415
BPARBN117_3811(ggt)
BPABPP0885(ggt)
BBHBN112_2465(ggt)
BBRBB0978(ggt)
BBMBN115_0937(ggt)
BBXBBS798_0952(ggt)
BFZBAU07_16300
BGMCAL15_15515
ODIODI_R4100
PIGEGT29_09670
PACRFXN63_14480(ggt) FXN63_15475
RSBRS694_16600
RHYRD110_21205
RHOFAB3G31_15290
CENPM9799_09985
LIMILINBF2_06470
HYRBSY239_3814
HYBQ5W_24690
HCZG9Q37_16325
HYDAABSY19_11735
ATERMW290_09605
LCHLcho_3809
RGUA4W93_00555
HARHEAR2460 HEAR2674
MMSmma_0601(ggt2) mma_2541(ggt3) mma_2912(ggt5)
JAJEKL02_07700
HSEHsero_3781(ggt)
HSZACP92_18865
HHTF506_05290
HRBHrubri_3752(ggt)
HEEhmeg3_06025
HHFE2K99_19305
HFRG5S34_20615
HEWHBDW_38670
MUMFCL38_10455
PLUEEWM63_22500
OFOBRW83_0666(ywrD)
ACTBRHM62_12095
XYGR9X41_21480
BBAGE1O_25000
METRBSY238_3285
SEMEMIZ01_0927
SPLBSFPGR_24780
SLACSKTS_29660
DSUDsui_0417
DDENKI615_02460
QAUKI612_02570
AZRCJ010_01520
THKCCZ27_07600
AZQG3580_07775
ACOMCEW83_16755
ATWC0099_05055 C0099_14460(ggt)
BPRCD521_1842
ATAAWN88_04375
ARAIACN9MK_16685
AGCBSY240_10
AGTEYD00_20315
RIRBN877_II1342
RPUSCFBP5875_20540
AVIAvi_2100(ggt)
RTRRTCIAT899_PC01410(ggt3)
RHLLPU83_pLPU83d0395(ggt)
RHVBA939_19405
RHRCKA34_22955
RGRFZ934_27500
RRGJ3P73_32175
RSULN2599_32500
RHIAACO34A_25330
RHIYBLX90_19750
RHIWKQ933_22730
NENNCHU2750_32510(ggt) NCHU2750_45940(ggt)
ABAWD5400_06780 D5400_07265
KAIK32_36680
BJPRN69_34505
BQBJ4P68_0003555
BAUTQA635_15810(ggt)
BBRAQA636_16320(ggt)
BPAHQA639_29255(ggt)
BGEPACP2YO_29225
RBKE0H22_05060
RHORONR75_01835
OCAOCAR_4626(ggt3) OCAR_5746(ggt) OCAR_6970(ggt4)
OCGOCA5_c11190(ggt3) OCA5_c22620(ggt4) OCA5_c33200(ggt5)
OCOOCA4_c11190(ggt3) OCA4_c22610(ggt4) OCA4_c32680(ggt5)
PCAXAFIC_002369
VGOGJW-30_1_02477(ywrD_2)
TRBHB776_21245
TALZRPMA_25425
TARDRSO67_15035
TARVFIU28_03240
RHZRHPLAN_13850
BVVBHK69_01480
BVESQO058_15250
BOPAXW83_16910
BOSBSY19_42
BOIBLM15_22240
BOFFQV39_21530
BOWNWE53_16905
BOSERMR04_02785
XAUXaut_0189
AZCAZC_4049
STARG3545_14515 G3545_17695
LNEFZC33_08005 FZC33_14230
SNOSnov_1719 Snov_3937
ANCGBB76_03305 GBB76_13535
APRAG3A50_09430 G3A50_10960
APOLK9D25_01310 K9D25_05100
AQIJ5J86_03035
PTAWDW352_22785
MEAMex_1p0795 Mex_1p5308
MDIMETDI1509 METDI5907
MEXMext_1030 Mext_4849
MCHMchl_1157 Mchl_5336
MPOMpop_0962 Mpop_1970
MZAB2G69_06575 B2G69_12090
METQMSPGM_08770(ggt) MSPGM_49750
MRDMrad2831_0869
METM446_4891
MNOMnod_1832
MORMOC_1083
METAY590_04220 Y590_24800
MAQUMaq22A_1p37245(ggt)
MPHYMCBMB27_00465
MEEDA075_03775
METDC0214_04430 C0214_23845(ggt)
METXA3862_26220
METSDK389_23480 DK389_24310(ggt)
METIDK427_01285 DK427_04560 DK427_04565
MMESMMSR116_26640
MTEADK419_05180
MINDmvi_05360
MOGMMB17_05965
MTADM6G65_12485
MECLCLZ_04545 CLZ_21535(ggt)
MFUJABC766_04745
MENIGU700_04545 GU700_21540(ggt)
MENSLOK46_04605
MOCBB934_09160
MIVC4E04_17585
MICOGDR74_03715
MTEZHPT29_022155
MLDU0023_05425
MEHYMHY1_02142(ywrD)
BBARRHAL1_03571(hpxW)
FILBN1229_v1_2992
FIYBN1229_v1_2924
PHLKKY_2375
CMETK6K41_06525
PLEOOHA_2_00015(ywrD)
HDIHDIA_4118(ywrD_2)
MAADAZF01_04445
MMEDMame_02855(ywrD_1)
MLUTJET14_05480
AUAM673_23360
AALAIGS74_14195
AALMLUX29_16100
PSINCAK95_12940
BRND1F64_20190
PPHRAPZ00_09040
PHRC6569_14950
PSTGE8M01_15855
PAQTE8L99_08690
LIZLGH83_06620
AEXAstex_2523
ASTDATDW_24850
KVLKVU_1141(ggt) KVU_PA0258
KVUEIO_1671 EIO_3087
KROBVG79_01383(ggt)
CIDP73_4040
CONTQ29_16000
RMMROSMUCSMR3_02132(ywrD) ROSMUCSMR3_02877(ywrD)
ROKRAK1035_1054
ROTFIV09_12575(ywrD2)
RMHLVO79_09695
SEOHACMUJL_15830 ACMUJL_19955
PARREOJ32_08295
PLIAE4191_20105
PMAUCP157_01988(hpxW)
LITFPZ52_11590(ggt)
PGVSL003B_0811
FAPGR316_09400
RBGBG454_16505
FAQG5B39_13930
NPPPP1Y_Mpl11391 PP1Y_Mpl6461
NPNJI59_05915
NREBES08_00625
NOVTQ38_012790
NDRHT578_09800
NHUMPQ457_14085
NCPU0041_11880
NOVBACFFDA_27570
SPHITS85_03595
SSANNX02_01490
SPANAWL63_07750
SARIH5J25_11895
SNAPPQ455_00410
SPMBOKW87_01035
SMAZLH19_05570
SWISwit_1433
SPHDHY78_19400
SHYDCJD35_17390
SPAGsphantq_04363(hpxW)
SPCAGL174_09525
ALBAEB_P2954
NTDEGO55_04645
GOXGOX1295
GOHB932_0814
GOYGLS_c13810(ywrD)
GALA0U94_14020
GTIFXF46_06900
GSPIGS75_07100
GFAMKW11_06845
GDIGDI1996(ggt)
GDJGdia_0219
GXYGLX_26960
GXLH845_639
KNAB0W47_13585
KEUS101446_03029
KSCCD178_00376(ywrD)
KREGWK63_04130
KOILV478_09140
KSUACM0P6_13295
APTAPA01_12980
APWAPA42C_12980
APFAPA03_12980
APUAPA07_12980
APGAPA12_12980
APQAPA22_12980
APXAPA26_12980
APZAPA32_12980
APKAPA386B_133(ggt)
ASZASN_2432(ggt) ASN_3552(ggt)
ASVWG31_07005
AACEA0U92_02285 A0U92_10790
APERA0U91_00655 A0U91_01545
APOMCPF11_00945
ATOCIW82_13760
ACETDS739_06725
AOTAcetOri_orf02537
AOYEOV40_006035
ACEKFLP30_05125
ABGAsbog_01724
KBAA0U89_04075
NCHA0U93_02340
KHAIFJ82_11990
NGUQN315_01125
SHUMSTHU_48700(ggt_8)
SVCSTVA_48850(ggt_8)
ABSAZOBR_p1140087(ggt) AZOBR_p410006
ABQABAZ39_30245
ABFAMK58_25970
AZTTSH58p_08365 TSH58p_19460
AZMDM194_22050
AARED3093_29410
AZSE6C72_14915
SKTIGS68_01165
SMUCJL100_001485
SROEJL101_000645
RRURru_A3318
RRFF11_17005
RPMRSPPHO_02719
MGYMGMSRv2__3214
MGRYMSR1_29420(ywrD)
MAGXXM1_0602
MAGNWV31_11540
FERFNB15_09100
MAGamb4309
TXITH3_11380
TIIDY252_14210 DY252_18955
THAIIT893_07025
TLUR1T41_20195
TTBMACH01_14050(ggt_2)
THGOM9H61_05730
THADIT971_11970
PBRPB2503_11509
SNEANBZ79_06120
AFRAFE_0785(ggt)
AFELferr_0928
ACUAtc_m029
AFIAcife_0659
AFHGL267_003605
ASUUEC580_013930
ABUAbu_0961(ggt)
ANTArnit_0203
ADZADFLV_0956(ggt)
ARCABLL_1026
AIELXN10_07635
AMOLAMOL_1572(ggt)
HEBRAEBR_2498(ggt)
AANAAANAER_0045(ggt)
DDSDdes_2027
DFIAXF13_01145
DPGDESPIGER_2022
DEFCNY67_01975(ggt)
DVMDvMF_3118
CLIHKPS_003573
BGYBGLY_4251
BACQDOE78_15690(ggt)
BCOBcell_1242
BCIRC2I06_01440(ggt)
PARHI5S86_12160
BKWBkAM31D_03225(ywrD_1)
BKOCKF48_06320(ggt)
LYGC1N55_01830(ggt)
BCKBCO26_0887(ywrD)
SNLBJD96_13000
BBEBBR47_55520(ywrD)
BFMBP422_23440
BAGRBA6348_04535(ggt)
BCOPJD108_21170(ggt)
ASEDIRT44_04585(ggt)
PJDPjdr2_5903
PTAHPL003_22065
PSABPSAB_06740
PDUPDUR_07895
PBDPBOR_07960
PGMPGRAT_07650
PODPODO_06535
PAENP40081_07995
PAEFR50345_06995
PAEQR50912_07180
PSTEPSTEL_07560
PAEAR70723_06940
PAEER70331_06580
PAEHH70357_07395
PAEJH70737_06805
PIHUB51_18685
PRIPRIO_1618(ywrD)
PSONJI735_16205(ggt)
PNPIJ22_00550
PDHB9T62_01970(ggt)
PAIHASL14_24265
PALBEJC50_00070(ggt)
PRZGZH47_00635(ggt)
PLYCGXP70_15645(ggt)
PSOPKP014_10505(ggt)
PTRIKDC22_06710(ggt)
PTJJRJ22_05850(ggt)
PPABKET34_17920(ggt)
PAUBPUR_14030(ywrD)
COHEAV92_12860(ggt)
RSTATY39_00720
MDXBTO20_30400
MSGMSMEI_1576
MSBLJ00_08065
MSNLI99_08065
MSHLI98_08065
MLLB1R94_21785
MAICMAIC_12170(ggt)
MTYMTOK_34180(ggt_1)
MARZMARA_25930(ggt_2)
MHEVMHEL_35260(ggt)
MANYMANY_51590(ggt)
MGOAFA91_30860
RRT4535765_03820(ywrD_2)
RFAA3L23_00931(ywrD)
RHSA3Q41_02422(ywrD)
SGMGCM10017557_02310(ggt)
SPADDVK44_00495
STRIC7M71_029700
MOOBWL13_00319(ywrD_1)
RFSC1I64_17140
SALCC2138_02760
GRYD7I44_07435(ggt)
HEAHL652_17190
BRIFDF13_01895
MICGGJV80_12630
ACTNL083_5367
AFSAFR_16955
RRDRradSPS_3054
BSOLFSW04_00190
CWOCwoe_5039
CTHEChro_5193
DPDDeipe_0992
NPHNP_1844A(ggt)
HAEhalTADL_2652
NMGNmag_3026(ggt1)
NOUNatoc_3328
HDABB347_16345
 » show all
Reference
1  [PMID:27303801]
  Authors
Hicks KA, Ealick SE
  Title
Biochemical and structural characterization of Klebsiella pneumoniae oxamate amidohydrolase in the uric acid degradation pathway.
  Journal
Acta Crystallogr D Struct Biol 72:808-16 (2016)
DOI:10.1107/S2059798316007099
  Sequence
[kpn:KPN_01768]
Other DBs
ExplorEnz - The Enzyme Database: 3.5.1.126
IUBMB Enzyme Nomenclature: 3.5.1.126
ExPASy - ENZYME nomenclature database: 3.5.1.126
BRENDA, the Enzyme Database: 3.5.1.126
LinkDB

KEGG   REACTION: R11617
Entry
R11617                      Reaction                               
Name
oxamate amidohydrolase
Definition
Oxamate + H2O <=> Oxalate + Ammonia
Equation
Enzyme
Pathway
rn00230  Purine metabolism
rn01100  Metabolic pathways
rn01120  Microbial metabolism in diverse environments
Brite
Enzymatic reactions [BR:br08201]
 3. Hydrolase reactions
  3.5  Acting on carbon-nitrogen bonds, other than peptide bonds
   3.5.1  In linear amides
    3.5.1.126
     R11617  Oxamate + H2O <=> Oxalate + Ammonia
Orthology
K22602  oxamate amidohydrolase [EC:3.5.1.126]
Other DBs
RHEA: 51515
LinkDB

DBGET integrated database retrieval system