KEGG   REACTION: R00803
Entry
R00803                      Reaction                               
Name
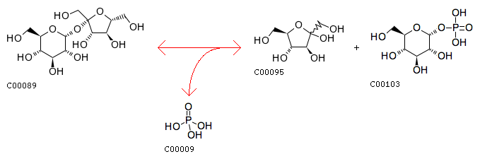
sucrose:phosphate alpha-D-glucosyltransferase
Definition
Sucrose + Orthophosphate <=> D-Fructose + D-Glucose 1-phosphate
Equation
Remark
Same as: R06034
Reaction class
RC00028  C00089_C00095
Enzyme
Pathway
rn00500  Starch and sucrose metabolism
rn01100  Metabolic pathways
Brite
Enzymatic reactions [BR:br08201]
 2. Transferase reactions
  2.4  Glycosyltransferases
   2.4.1  Hexosyltransferases
    2.4.1.7
     R00803  Sucrose + Orthophosphate <=> D-Fructose + D-Glucose 1-phosphate
Orthology
K00690  sucrose phosphorylase [EC:2.4.1.7]
Other DBs
RHEA: 24051
LinkDB

DBGET integrated database retrieval system