REACTION: R00834
Help
Entry
R00834 Reaction
Name
D-sorbitol 6-phosphate:NADP+ 1-oxidoreductase
Definition
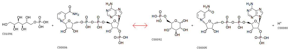
Sorbitol 6-phosphate + NADP+ <=> D-Glucose 6-phosphate + NADPH + H+
Equation
C01096
+
C00006
<=>
C00092
+
C00005
+
C00080
Reaction class
RC00001
C00005_C00006
RC00108
C00092_C01096
Enzyme
1.1.1.200
Brite
Enzymatic reactions [BR:
br08201
]
1. Oxidoreductase reactions
1.1 Acting on the CH-OH group of donors
1.1.1 With NAD+ or NADP+ as acceptor
1.1.1.200
R00834 Sorbitol 6-phosphate + NADP+ <=> D-Glucose 6-phosphate + NADPH + H+
BRITE hierarchy
Other DBs
RHEA:
20040
LinkDB
All DBs
DBGET
integrated database retrieval system