KEGG   REACTION: R02952
Entry
R02952                      Reaction                               
Name
phenylacrylic acid decarboxylase
Definition
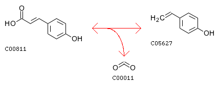
4-Coumarate <=> 4-Hydroxystyrene + CO2
Equation
Reaction class
RC00814  C00811_C05627
Enzyme
Pathway
rn00940  Phenylpropanoid biosynthesis
rn01110  Biosynthesis of secondary metabolites
Brite
Enzymatic reactions [BR:br08201]
 4. Lyase reactions
  4.1  Carbon-carbon lyases
   4.1.1  Carboxy-lyases
    4.1.1.102
     R02952  4-Coumarate <=> 4-Hydroxystyrene + CO2
Orthology
K03186  flavin prenyltransferase [EC:2.5.1.129]
K13727  phenacrylate decarboxylase [EC:4.1.1.102]
K20039  phenacrylate decarboxylase [EC:4.1.1.102]
Other DBs
RHEA: 33230
LinkDB

DBGET integrated database retrieval system