KEGG   REACTION: R03258
Entry
R03258                      Reaction                               
Name
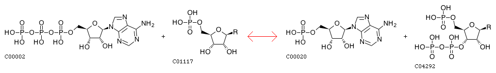
ATP:nucleoside-5'-phosphate pyrophosphotransferase
Definition
ATP + Nucleoside 5'-phosphate <=> AMP + 5'-Phosphonucleoside 3'-diphosphate
Equation
Reaction class
RC00002  C00002_C00020
RC00078  C01117_C04292
Enzyme
Brite
Enzymatic reactions [BR:br08201]
 2. Transferase reactions
  2.7  Transferring phosphorus-containing groups
   2.7.6  Diphosphotransferases
    2.7.6.4
     R03258  ATP + Nucleoside 5'-phosphate <=> AMP + 5'-Phosphonucleoside 3'-diphosphate
Other DBs
RHEA: 12716
LinkDB

DBGET integrated database retrieval system