| Entry |
|
| Name |
3-methoxy-4-hydroxyphenylglycolaldehyde:NAD+ oxidoreductase
|
| Definition |
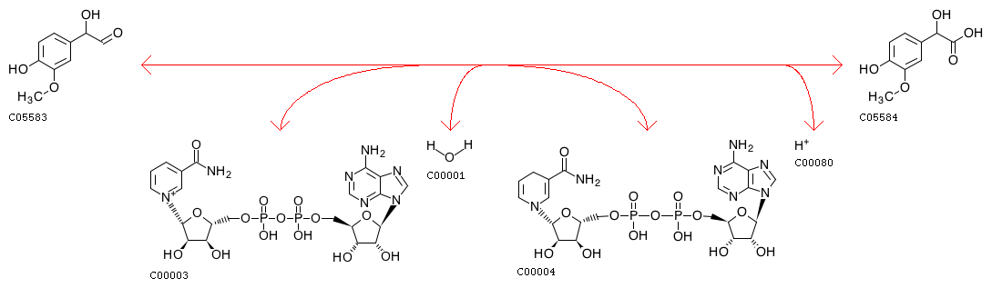
3-Methoxy-4-hydroxyphenylglycolaldehyde + NAD+ + H2O <=> 3-Methoxy-4-hydroxymandelate + NADH + H+
|
| Equation |
|
|
 |
| Comment |
|
| Reaction class |
|
| Enzyme |
|
| Pathway |
|
| Brite |
Enzymatic reactions [BR:br08201]
1. Oxidoreductase reactions
1.2 Acting on the aldehyde or oxo group of donors
1.2.1 With NAD+ or NADP+ as acceptor
1.2.1.5
R04891 3-Methoxy-4-hydroxyphenylglycolaldehyde + NAD+ + H2O <=> 3-Methoxy-4-hydroxymandelate + NADH + H+
IUBMB reaction hierarchy [BR:br08202]
1. Oxidoreductase reactions
1.2.1.5
R00538 Aldehyde <=> Carboxylate
R04891 3-Methoxy-4-hydroxyphenylglycolaldehyde <=> 3-Methoxy-4-hydroxymandelate
|
| Orthology |
|
| LinkDB |
|