KEGG   REACTION: R05207
Entry
R05207                      Reaction                               
Definition
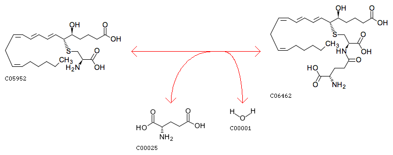
Leukotriene E4 + L-Glutamate <=> Leukotriene F4 + H2O
Equation
Reaction class
RC00064  C05952_C06462
RC00090  C00025_C06462
Enzyme
2.3.2.-
Pathway
rn00590  Arachidonic acid metabolism
rn01100  Metabolic pathways
Brite
Enzymatic reactions [BR:br08201]
 2. Transferase reactions
  2.3  Acyltransferases
   2.3.2  Aminoacyltransferases
    2.3.2.-
     R05207  Leukotriene E4 + L-Glutamate <=> Leukotriene F4 + H2O
LinkDB

DBGET integrated database retrieval system