KEGG   REACTION: R05627
Entry
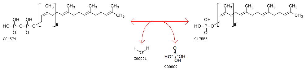
R05627                      Reaction                               
Name
undecaprenyl-diphosphate phosphohydrolase
Definition
di-trans,poly-cis-Undecaprenyl diphosphate + H2O <=> di-trans,poly-cis-Undecaprenyl phosphate + Orthophosphate
Equation
Reaction class
RC00002  C04574_C17556
Enzyme
Pathway
rn00550  Peptidoglycan biosynthesis
rn00552  Teichoic acid biosynthesis
Brite
Enzymatic reactions [BR:br08201]
 3. Hydrolase reactions
  3.6  Acting on acid anhydrides
   3.6.1  In phosphorus-containing anhydrides
    3.6.1.27
     R05627  di-trans,poly-cis-Undecaprenyl diphosphate + H2O <=> di-trans,poly-cis-Undecaprenyl phosphate + Orthophosphate
Orthology
K06153  undecaprenyl-diphosphatase [EC:3.6.1.27]
K19302  undecaprenyl-diphosphatase [EC:3.6.1.27]
Other DBs
RHEA: 28097
LinkDB

KEGG   RCLASS: RC00002
Entry
RC00002                     RClass                                 
Definition
O1c-O2c:*-P1b:P1b-P1b
Reactant pair
C00002_C00008    C00002_C00020    C00002_C01260
C00002_C03483    C00002_C04058    C00002_C20190
C00003_C00020    C00003_C00455    C00004_C00020
C00004_C21113    C00008_C00020    C00008_C01260
C00008_C04058    C00008_C06197    C00010_C00054
C00010_C01134    C00015_C00075    C00015_C00105
C00016_C00020    C00016_C00061    C00020_C00301
C00020_C00498    C00020_C00857    C00020_C00882
C00020_C01260    C00020_C01469    C00020_C04058
C00020_C06192    C00020_C06197    C00020_C20190
C00020_C20784    C00029_C00103    C00029_C00105
C00035_C00044    C00035_C00144    C00035_C02031
C00043_C00105    C00043_C04501    C00044_C00144
C00044_C01261    C00052_C00105    C00052_C00446
C00055_C00063    C00055_C00112    C00055_C00269
C00055_C00307    C00055_C00513    C00055_C00570
C00055_C05673    C00055_C05674    C00055_C11436
C00055_C17945    C00055_C18059    C00055_C19794
C00055_C20627    C00063_C00112    C00068_C01081
C00068_C03028    C00075_C00105    C00075_C06198
C00081_C00104    C00081_C00130    C00081_C03614
C00093_C00513    C00096_C00144    C00096_C00636
C00103_C00394    C00103_C00498    C00103_C00501
C00103_C00842    C00104_C00130    C00105_C00190
C00105_C00203    C00105_C04652    C00105_C04702
C00105_C04882    C00105_C06198    C00105_C20357
C00110_C00621    C00110_C04213    C00110_C04500
C00117_C00301    C00119_C01151    C00129_C20345
C00131_C00206    C00144_C00394    C00144_C01261
C00144_C06510    C00144_C19155    C00144_C22297
C00144_C22298    C00167_C05385    C00190_C03737
C00201_C00454    C00201_C01117    C00203_C18060
C00206_C00360    C00235_C21214    C00239_C00458
C00239_C00705    C00269_C00416    C00286_C00361
C00286_C00362    C00307_C00588    C00325_C02985
C00341_C21203    C00346_C00570    C00361_C00362
C00363_C00364    C00363_C00459    C00364_C00459
C00365_C00460    C00365_C01346    C00416_C19776
C00446_C02097    C00448_C03115    C00448_C20121
C00454_C01117    C00454_C01329    C00458_C00705
C00460_C01346    C00617_C04037    C00636_C06192
C00636_C21314    C00655_C00700    C00655_C04392
C00700_C01337    C00700_C04392    C00789_C01068
C00857_C01185    C00882_C01134    C00935_C03906
C01050_C21027    C01107_C01143    C01171_C01581
C01204_C11174    C01204_C11526    C01210_C03486
C01228_C04494    C01289_C17556    C01344_C01345
C01344_C06196    C01345_C06196    C01910_C02171
C02031_C02100    C02100_C20864    C02280_C15926
C02339_C20183    C02339_C20863    C02739_C02741
C02970_C20390    C03483_C04058    C03495_C04187
C03557_C05673    C03607_C03786    C03632_C04213
C03997_C11038    C03998_C04696    C04006_C19794
C04242_C21750    C04242_C21751    C04507_C17556
C04556_C04752    C04574_C17556    C04638_C18059
C04646_C16616    C04646_C16617    C04652_C04824
C04696_C16669    C04713_C16426    C04851_C17556
C04895_C05925    C05674_C06459    C05897_C17556
C05924_C19848    C06026_C21157    C06026_C21461
C06026_C21462    C06397_C07838    C06451_C22216
C06452_C22217    C06456_C17945    C06509_C06510
C07024_C07025    C11038_C11039    C11174_C20690
C11434_C11435    C11526_C20690    C16183_C17269
C16424_C16426    C16428_C16429    C16429_C16430
C16616_C16617    C16634_C21748    C17556_C19772
C17556_C20620    C18237_C19871    C18237_C21485
C19155_C19156    C19880_C19881    C19967_C19968
C19968_C20176    C19969_C19970    C20190_C20198
C20247_C20784    C20420_C20421    C20422_C20423
C20863_C20864    C21068_C21069    C21206_C21207
C21209_C21210    C21367_C21368    C21461_C21463
C21748_C21749    C21750_C21751    C21785_C22033
C22235_C22274    C22441_C22442    C22442_C22443
 » show all
Related class
Reaction
R00002 R00012 R00056 R00076 R00085 R00086 R00087 R00103
R00104 R00105 R00122 R00124 R00125 R00126 R00127 R00128
R00130 R00137 R00139 R00140 R00141 R00149 R00150 R00155
R00156 R00157 R00158 R00159 R00160 R00161 R00162 R00174
R00184 R00185 R00187 R00199 R00200 R00206 R00239 R00283
R00287 R00289 R00299 R00315 R00328 R00330 R00331 R00332
R00333 R00334 R00335 R00341 R00416 R00426 R00429 R00430
R00431 R00480 R00502 R00504 R00509 R00512 R00513 R00514
R00515 R00517 R00518 R00549 R00554 R00569 R00570 R00572
R00575 R00615 R00616 R00617 R00618 R00619 R00659 R00662
R00719 R00720 R00722 R00723 R00724 R00725 R00726 R00756
R00760 R00767 R00769 R00770 R00847 R00855 R00856 R00866
R00867 R00876 R00881 R00883 R00885 R00948 R00949 R00951
R00954 R00955 R00956 R00961 R00964 R00968 R00969 R01004
R01007 R01011 R01018 R01021 R01049 R01050 R01051 R01052
R01054 R01059 R01092 R01131 R01137 R01138 R01139 R01140
R01201 R01228 R01232 R01233 R01321 R01326 R01327 R01330
R01353 R01381 R01395 R01417 R01441 R01468 R01471 R01476
R01495 R01503 R01512 R01514 R01517 R01523 R01526 R01535
R01541 R01547 R01567 R01568 R01573 R01600 R01618 R01625
R01639 R01665 R01666 R01667 R01668 R01688 R01737 R01754
R01771 R01786 R01797 R01799 R01800 R01801 R01802 R01843
R01844 R01855 R01857 R01858 R01881 R01885 R01888 R01890
R01891 R01901 R01902 R01909 R01926 R01929 R01951 R01961
R01964 R01965 R01967 R01980 R02030 R02038 R02057 R02071
R02089 R02090 R02092 R02093 R02094 R02095 R02098 R02099
R02100 R02134 R02136 R02184 R02186 R02225 R02227 R02240
R02245 R02303 R02319 R02320 R02321 R02324 R02326 R02328
R02329 R02330 R02331 R02412 R02430 R02439 R02451 R02493
R02563 R02575 R02584 R02590 R02625 R02626 R02634 R02649
R02650 R02658 R02664 R02677 R02705 R02720 R02732 R02750
R02757 R02758 R02805 R02848 R02849 R02850 R02865 R02867
R02868 R02884 R02903 R02921 R02927 R02971 R02976 R02980
R03004 R03005 R03014 R03018 R03035 R03036 R03077 R03110
R03150 R03161 R03236 R03237 R03238 R03239 R03241 R03245
R03258 R03274 R03315 R03318 R03347 R03361 R03362 R03375
R03378 R03384 R03387 R03395 R03409 R03428 R03429 R03433
R03449 R03469 R03471 R03478 R03479 R03503 R03516 R03530
R03531 R03570 R03576 R03595 R03607 R03632 R03691 R03744
R03754 R03766 R03770 R03780 R03785 R03819 R03828 R03840
R03920 R03924 R03939 R03944 R04002 R04023 R04035 R04126
R04143 R04179 R04235 R04247 R04267 R04272 R04275 R04291
R04321 R04358 R04368 R04388 R04391 R04401 R04403 R04448
R04504 R04509 R04545 R04549 R04555 R04589 R04638 R04657
R04779 R04920 R04921 R04922 R04928 R05185 R05186 R05202
R05221 R05222 R05223 R05625 R05626 R05627 R05629 R05630
R05633 R05634 R05637 R05644 R05646 R05661 R05669 R05779
R05794 R05795 R05799 R05800 R05801 R05802 R05803 R05804
R05805 R05806 R05969 R06364 R06531 R06558 R06588 R06836
R06976 R07127 R07279 R07384 R07389 R07636 R07641 R07678
R08061 R08062 R08063 R08064 R08124 R08154 R08217 R08223
R08232 R08233 R08241 R08242 R08243 R08515 R08572 R08574
R08844 R08856 R08867 R08887 R08962 R08964 R08966 R08967
R08968 R09084 R09085 R09086 R09087 R09378 R09397 R09398
R09538 R09640 R09641 R09642 R09644 R09669 R09670 R09726
R09729 R09752 R09767 R09770 R09772 R09776 R09832 R09833
R09849 R09850 R09877 R09879 R09880 R09881 R09882 R09944
R09945 R09946 R10065 R10093 R10137 R10183 R10184 R10186
R10235 R10255 R10441 R10442 R10443 R10464 R10465 R10531
R10548 R10613 R10657 R10659 R10711 R10747 R10779 R10780
R10814 R10815 R10816 R10930 R10948 R10951 R10953 R10970
R11024 R11025 R11039 R11090 R11104 R11174 R11183 R11184
R11185 R11186 R11203 R11229 R11237 R11246 R11319 R11323
R11402 R11429 R11551 R11553 R11555 R11556 R11557 R11581
R11582 R11784 R11803 R11891 R11892 R11894 R11895 R11896
R11933 R11941 R11964 R12017 R12245 R12246 R12247 R12498
R12499 R12589 R12594 R12595 R12607 R12608 R12648 R12649
R12695 R12746 R12747 R12755 R12792 R12793 R12824 R12825
R12852 R12853 R12896 R12980 R13127
 » show all
Enzyme
1.3.7.8         1.18.6.1        1.19.6.1        2.5.1.143       
2.7.1.1         2.7.1.2         2.7.1.3         2.7.1.4         
2.7.1.5         2.7.1.6         2.7.1.7         2.7.1.8         
2.7.1.10        2.7.1.11        2.7.1.12        2.7.1.13        
2.7.1.14        2.7.1.15        2.7.1.16        2.7.1.17        
2.7.1.18        2.7.1.19        2.7.1.20        2.7.1.21        
2.7.1.22        2.7.1.23        2.7.1.24        2.7.1.25        
2.7.1.26        2.7.1.27        2.7.1.28        2.7.1.29        
2.7.1.30        2.7.1.31        2.7.1.32        2.7.1.33        
2.7.1.34        2.7.1.35        2.7.1.36        2.7.1.39        
2.7.1.40        2.7.1.43        2.7.1.44        2.7.1.45        
2.7.1.46        2.7.1.47        2.7.1.48        2.7.1.49        
2.7.1.50        2.7.1.51        2.7.1.52        2.7.1.53        
2.7.1.54        2.7.1.55        2.7.1.56        2.7.1.58        
2.7.1.59        2.7.1.60        2.7.1.64        2.7.1.65        
2.7.1.66        2.7.1.67        2.7.1.68        2.7.1.71        
2.7.1.72        2.7.1.73        2.7.1.74        2.7.1.76        
2.7.1.78        2.7.1.81        2.7.1.82        2.7.1.83        
2.7.1.84        2.7.1.85        2.7.1.86        2.7.1.87        
2.7.1.88        2.7.1.89        2.7.1.91        2.7.1.92        
2.7.1.93        2.7.1.94        2.7.1.95        2.7.1.100       
2.7.1.101       2.7.1.102       2.7.1.103       2.7.1.105       
2.7.1.107       2.7.1.108       2.7.1.113       2.7.1.118       
2.7.1.119       2.7.1.122       2.7.1.127       2.7.1.130       
2.7.1.134       2.7.1.136       2.7.1.137       2.7.1.138       
2.7.1.140       2.7.1.144       2.7.1.145       2.7.1.146       
2.7.1.147       2.7.1.148       2.7.1.149       2.7.1.150       
2.7.1.151       2.7.1.153       2.7.1.154       2.7.1.156       
2.7.1.157       2.7.1.158       2.7.1.159       2.7.1.161       
2.7.1.162       2.7.1.163       2.7.1.164       2.7.1.165       
2.7.1.166       2.7.1.167       2.7.1.168       2.7.1.169       
2.7.1.170       2.7.1.173       2.7.1.174       2.7.1.175       
2.7.1.176       2.7.1.177       2.7.1.178       2.7.1.179       
2.7.1.180       2.7.1.181       2.7.1.182       2.7.1.184       
2.7.1.185       2.7.1.186       2.7.1.187       2.7.1.188       
2.7.1.189       2.7.1.190       2.7.1.213       2.7.1.216       
2.7.1.218       2.7.1.219       2.7.1.220       2.7.1.221       
2.7.1.222       2.7.1.223       2.7.1.224       2.7.1.229       
2.7.1.232       2.7.1.233       2.7.1.236       2.7.1.237       
2.7.1.238       2.7.1.-         2.7.2.1         2.7.2.2         
2.7.2.3         2.7.2.4         2.7.2.6         2.7.2.7         
2.7.2.8         2.7.2.10        2.7.2.11        2.7.2.14        
2.7.2.15        2.7.2.16        2.7.2.17        2.7.2.18        
2.7.2.19        2.7.3.1         2.7.3.2         2.7.3.3         
2.7.3.4         2.7.3.5         2.7.3.6         2.7.3.7         
2.7.3.8         2.7.3.10        2.7.3.13        2.7.4.1         
2.7.4.2         2.7.4.3         2.7.4.4         2.7.4.6         
2.7.4.7         2.7.4.8         2.7.4.9         2.7.4.10        
2.7.4.11        2.7.4.12        2.7.4.13        2.7.4.14        
2.7.4.15        2.7.4.16        2.7.4.18        2.7.4.19        
2.7.4.20        2.7.4.21        2.7.4.22        2.7.4.23        
2.7.4.24        2.7.4.25        2.7.4.26        2.7.4.29        
2.7.4.31        2.7.4.32        2.7.4.34        2.7.4.-         
2.7.6.1         2.7.6.2         2.7.6.3         2.7.6.4         
2.7.6.5         2.7.7.1         2.7.7.2         2.7.7.3         
2.7.7.9         2.7.7.10        2.7.7.11        2.7.7.12        
2.7.7.13        2.7.7.14        2.7.7.15        2.7.7.18        
2.7.7.22        2.7.7.23        2.7.7.24        2.7.7.27        
2.7.7.28        2.7.7.30        2.7.7.32        2.7.7.33        
2.7.7.34        2.7.7.35        2.7.7.36        2.7.7.39        
2.7.7.40        2.7.7.41        2.7.7.44        2.7.7.45        
2.7.7.50        2.7.7.53        2.7.7.57        2.7.7.60        
2.7.7.62        2.7.7.64        2.7.7.67        2.7.7.68        
2.7.7.69        2.7.7.70        2.7.7.71        2.7.7.74        
2.7.7.75        2.7.7.76        2.7.7.77        2.7.7.78        
2.7.7.83        2.7.7.88        2.7.7.91        2.7.7.93        
2.7.7.96        2.7.7.99        2.7.7.103       2.7.7.104       
2.7.7.107       2.7.7.-         2.7.8.1         2.7.8.2         
2.7.8.3         2.7.8.4         2.7.8.5         2.7.8.6         
2.7.8.7         2.7.8.8         2.7.8.9         2.7.8.10        
2.7.8.11        2.7.8.13        2.7.8.15        2.7.8.17        
2.7.8.18        2.7.8.19        2.7.8.22        2.7.8.24        
2.7.8.26        2.7.8.28        2.7.8.31        2.7.8.32        
2.7.8.33        2.7.8.34        2.7.8.35        2.7.8.36        
2.7.8.38        2.7.8.39        2.7.8.40        2.7.8.41        
2.7.8.43        2.7.8.48        2.7.8.-         2.7.9.1         
2.7.9.2         2.7.9.3         2.7.9.6         2.7.10.1        
2.7.10.2        2.7.10.3        2.7.11.1        2.7.11.2        
2.7.11.3        2.7.11.4        2.7.11.5        2.7.11.6        
2.7.11.7        2.7.11.8        2.7.11.9        2.7.11.10       
2.7.11.11       2.7.11.12       2.7.11.13       2.7.11.14       
2.7.11.15       2.7.11.17       2.7.11.18       2.7.11.19       
2.7.11.21       2.7.11.22       2.7.11.23       2.7.11.24       
2.7.11.25       2.7.11.26       2.7.11.28       2.7.11.29       
2.7.11.30       2.7.11.31       2.7.12.1        2.7.12.2        
2.7.13.1        2.7.13.2        2.7.14.1        3.6.1.5         
3.6.1.6         3.6.1.8         3.6.1.9         3.6.1.11        
3.6.1.12        3.6.1.13        3.6.1.14        3.6.1.15        
3.6.1.16        3.6.1.17        3.6.1.18        3.6.1.21        
3.6.1.22        3.6.1.23        3.6.1.26        3.6.1.27        
3.6.1.28        3.6.1.29        3.6.1.31        3.6.1.39        
3.6.1.40        3.6.1.41        3.6.1.42        3.6.1.43        
3.6.1.44        3.6.1.45        3.6.1.52        3.6.1.53        
3.6.1.54        3.6.1.55        3.6.1.56        3.6.1.58        
3.6.1.59        3.6.1.60        3.6.1.61        3.6.1.62        
3.6.1.63        3.6.1.64        3.6.1.65        3.6.1.66        
3.6.1.67        3.6.1.68        3.6.1.73        3.6.1.75        
3.6.1.76        3.6.1.77        3.6.1.-         3.6.5.1         
3.6.5.2         3.6.5.3         3.6.5.4         3.6.5.5         
3.6.5.6         3.-.-.-         4.1.1.32        4.1.1.49        
4.6.1.12        4.6.1.15        6.3.4.16        6.3.5.5         
7.1.2.2         7.3.2.6
 » show all
Pathway
rn00030  Pentose phosphate pathway
rn00040  Pentose and glucuronate interconversions
rn00051  Fructose and mannose metabolism
rn00052  Galactose metabolism
rn00053  Ascorbate and aldarate metabolism
rn00230  Purine metabolism
rn00240  Pyrimidine metabolism
rn00332  Carbapenem biosynthesis
rn00340  Histidine metabolism
rn00440  Phosphonate and phosphinate metabolism
rn00500  Starch and sucrose metabolism
rn00510  N-Glycan biosynthesis
rn00515  Mannose type O-glycan biosynthesis
rn00520  Amino sugar and nucleotide sugar metabolism
rn00521  Streptomycin biosynthesis
rn00523  Polyketide sugar unit biosynthesis
rn00525  Acarbose and validamycin biosynthesis
rn00540  Lipopolysaccharide biosynthesis
rn00541  Biosynthesis of various nucleotide sugars
rn00550  Peptidoglycan biosynthesis
rn00552  Teichoic acid biosynthesis
rn00561  Glycerolipid metabolism
rn00562  Inositol phosphate metabolism
rn00564  Glycerophospholipid metabolism
rn00566  Sulfoquinovose metabolism
rn00680  Methane metabolism
rn00730  Thiamine metabolism
rn00740  Riboflavin metabolism
rn00760  Nicotinate and nicotinamide metabolism
rn00770  Pantothenate and CoA biosynthesis
rn00790  Folate biosynthesis
rn00860  Porphyrin metabolism
rn00900  Terpenoid backbone biosynthesis
rn00902  Monoterpenoid biosynthesis
rn00908  Zeatin biosynthesis
rn00983  Drug metabolism - other enzymes
rn00998  Biosynthesis of various antibiotics
rn01059  Biosynthesis of enediyne antibiotics
rn01100  Metabolic pathways
rn01110  Biosynthesis of secondary metabolites
rn01120  Microbial metabolism in diverse environments
rn01230  Biosynthesis of amino acids
rn01232  Nucleotide metabolism
rn01240  Biosynthesis of cofactors
rn01250  Biosynthesis of nucleotide sugars
RModule
RM022  Nucleotide sugar biosynthesis, type 1
RM023  Nucleotide sugar biosynthesis, type 2
RM039  Nucleotide sugar biosynthesis, type 3
RM040  Sugar activation and nucleotide sugar interconversion
RM045  Conversion of base / nucleoside / nucleotide
Orthology
K00531  nitrogenase delta subunit [EC:1.18.6.1]
K00844  hexokinase [EC:2.7.1.1]
K00845  glucokinase [EC:2.7.1.2]
K00846  ketohexokinase [EC:2.7.1.3]
K00847  fructokinase [EC:2.7.1.4]
K00848  rhamnulokinase [EC:2.7.1.5]
K00849  galactokinase [EC:2.7.1.6]
K00850  6-phosphofructokinase 1 [EC:2.7.1.11]
K00851  gluconokinase [EC:2.7.1.12]
K00852  ribokinase [EC:2.7.1.15]
K00853  L-ribulokinase [EC:2.7.1.16]
K00854  xylulokinase [EC:2.7.1.17]
K00855  phosphoribulokinase [EC:2.7.1.19]
K00856  adenosine kinase [EC:2.7.1.20]
K00857  thymidine kinase [EC:2.7.1.21]
K00858  NAD+ kinase [EC:2.7.1.23]
K00859  dephospho-CoA kinase [EC:2.7.1.24]
K00860  adenylylsulfate kinase [EC:2.7.1.25]
K00861  riboflavin kinase [EC:2.7.1.26]
K00863  triose/dihydroxyacetone kinase / FAD-AMP lyase (cyclizing) [EC:2.7.1.28 2.7.1.29 4.6.1.15]
K00864  glycerol kinase [EC:2.7.1.30]
K00865  glycerate 2-kinase [EC:2.7.1.165]
K00866  choline kinase [EC:2.7.1.32]
K00867  type I pantothenate kinase [EC:2.7.1.33]
K00868  pyridoxine kinase [EC:2.7.1.35]
K00869  mevalonate kinase [EC:2.7.1.36]
K00872  homoserine kinase [EC:2.7.1.39]
K00873  pyruvate kinase [EC:2.7.1.40]
K00874  2-dehydro-3-deoxygluconokinase [EC:2.7.1.45]
K00875  D-ribulokinase [EC:2.7.1.47]
K00876  uridine kinase [EC:2.7.1.48]
K00877  hydroxymethylpyrimidine/phosphomethylpyrimidine kinase / thiaminase [EC:2.7.1.49 2.7.4.7 3.5.99.2]
K00878  hydroxyethylthiazole kinase [EC:2.7.1.50]
K00879  L-fuculokinase [EC:2.7.1.51]
K00880  L-xylulokinase [EC:2.7.1.53]
K00881  allose kinase [EC:2.7.1.55]
K00882  1-phosphofructokinase [EC:2.7.1.56]
K00883  2-dehydro-3-deoxygalactonokinase [EC:2.7.1.58]
K00884  N-acetylglucosamine kinase [EC:2.7.1.59]
K00885  N-acylmannosamine kinase [EC:2.7.1.60]
K00887  undecaprenol kinase [EC:2.7.1.66]
K00888  phosphatidylinositol 4-kinase A [EC:2.7.1.67]
K00889  1-phosphatidylinositol-4-phosphate 5-kinase [EC:2.7.1.68]
K00891  shikimate kinase [EC:2.7.1.71]
K00892  inosine kinase [EC:2.7.1.73]
K00893  deoxycitidine/deoxyadenosine/deoxyguanosine kinase [EC:2.7.1.74 2.7.1.76 2.7.1.113]
K00894  ethanolamine kinase [EC:2.7.1.82]
K00899  5-methylthioribose kinase [EC:2.7.1.100]
K00900  6-phosphofructo-2-kinase [EC:2.7.1.105]
K00901  diacylglycerol kinase (ATP) [EC:2.7.1.107]
K00902  dolichol kinase [EC:2.7.1.108]
K00904  deoxyguanosine kinase [EC:2.7.1.113]
K00911  1D-myo-inositol-triphosphate 3-kinase [EC:2.7.1.127]
K00912  tetraacyldisaccharide 4'-kinase [EC:2.7.1.130]
K00913  inositol-1,3,4-trisphosphate 5/6-kinase / inositol-tetrakisphosphate 1-kinase [EC:2.7.1.159 2.7.1.134]
K00914  phosphatidylinositol 3-kinase [EC:2.7.1.137]
K00915  inositol-polyphosphate multikinase [EC:2.7.1.140 2.7.1.151]
K00917  tagatose 6-phosphate kinase [EC:2.7.1.144]
K00918  ADP-dependent phosphofructokinase/glucokinase [EC:2.7.1.146 2.7.1.147]
K00919  4-diphosphocytidyl-2-C-methyl-D-erythritol kinase [EC:2.7.1.148]
K00920  1-phosphatidylinositol-5-phosphate 4-kinase [EC:2.7.1.149]
K00921  1-phosphatidylinositol-3-phosphate 5-kinase [EC:2.7.1.150]
K00922  phosphatidylinositol-4,5-bisphosphate 3-kinase catalytic subunit alpha/beta/delta [EC:2.7.1.153]
K00923  phosphatidylinositol-4-phosphate 3-kinase [EC:2.7.1.154]
K00925  acetate kinase [EC:2.7.2.1]
K00926  carbamate kinase [EC:2.7.2.2]
K00927  phosphoglycerate kinase [EC:2.7.2.3]
K00928  aspartate kinase [EC:2.7.2.4]
K00929  butyrate kinase [EC:2.7.2.7]
K00930  acetylglutamate kinase [EC:2.7.2.8]
K00931  glutamate 5-kinase [EC:2.7.2.11]
K00932  propionate kinase [EC:2.7.2.15]
K00933  creatine kinase [EC:2.7.3.2]
K00934  arginine kinase [EC:2.7.3.3]
K00938  phosphomevalonate kinase [EC:2.7.4.2]
K00939  adenylate kinase [EC:2.7.4.3]
K00940  nucleoside-diphosphate kinase [EC:2.7.4.6]
K00941  hydroxymethylpyrimidine/phosphomethylpyrimidine kinase [EC:2.7.1.49 2.7.4.7]
K00942  guanylate kinase [EC:2.7.4.8]
K00943  dTMP kinase [EC:2.7.4.9]
K00944  nucleoside-triphosphate--adenylate kinase [EC:2.7.4.10]
K00945  CMP/dCMP kinase [EC:2.7.4.25]
K00946  thiamine-monophosphate kinase [EC:2.7.4.16]
K00948  ribose-phosphate pyrophosphokinase [EC:2.7.6.1]
K00949  thiamine pyrophosphokinase [EC:2.7.6.2]
K00950  2-amino-4-hydroxy-6-hydroxymethyldihydropteridine diphosphokinase [EC:2.7.6.3]
K00951  GTP pyrophosphokinase [EC:2.7.6.5]
K00952  nicotinamide-nucleotide adenylyltransferase [EC:2.7.7.1]
K00953  FAD synthetase [EC:2.7.7.2]
K00954  pantetheine-phosphate adenylyltransferase [EC:2.7.7.3]
K00955  bifunctional enzyme CysN/CysC [EC:2.7.7.4 2.7.1.25]
K00963  UTP--glucose-1-phosphate uridylyltransferase [EC:2.7.7.9]
K00965  UDPglucose--hexose-1-phosphate uridylyltransferase [EC:2.7.7.12]
K00966  mannose-1-phosphate guanylyltransferase [EC:2.7.7.13]
K00967  ethanolamine-phosphate cytidylyltransferase [EC:2.7.7.14]
K00968  choline-phosphate cytidylyltransferase [EC:2.7.7.15]
K00969  nicotinate-nucleotide adenylyltransferase [EC:2.7.7.18]
K00971  mannose-1-phosphate guanylyltransferase [EC:2.7.7.13]
K00972  UDP-N-acetylglucosamine/UDP-N-acetylgalactosamine diphosphorylase [EC:2.7.7.23 2.7.7.83]
K00973  glucose-1-phosphate thymidylyltransferase [EC:2.7.7.24]
K00975  glucose-1-phosphate adenylyltransferase [EC:2.7.7.27]
K00976  fucose-1-phosphate guanylyltransferase [EC:2.7.7.30]
K00978  glucose-1-phosphate cytidylyltransferase [EC:2.7.7.33]
K00980  glycerol-3-phosphate cytidylyltransferase [EC:2.7.7.39]
K00981  phosphatidate cytidylyltransferase [EC:2.7.7.41]
K00987  mRNA guanylyltransferase [EC:2.7.7.50]
K00988  sulfate adenylyltransferase (ADP) / ATP adenylyltransferase [EC:2.7.7.5 2.7.7.53]
K00991  2-C-methyl-D-erythritol 4-phosphate cytidylyltransferase [EC:2.7.7.60]
K00992  N-acetyl-alpha-D-muramate 1-phosphate uridylyltransferase [EC:2.7.7.99]
K00993  ethanolaminephosphotransferase [EC:2.7.8.1]
K00994  diacylglycerol cholinephosphotransferase [EC:2.7.8.2]
K00995  CDP-diacylglycerol---glycerol-3-phosphate 3-phosphatidyltransferase [EC:2.7.8.5]
K00997  holo-[acyl-carrier protein] synthase [EC:2.7.8.7]
K00998  CDP-diacylglycerol---serine O-phosphatidyltransferase [EC:2.7.8.8]
K00999  CDP-diacylglycerol--inositol 3-phosphatidyltransferase [EC:2.7.8.11]
K01000  phospho-N-acetylmuramoyl-pentapeptide-transferase [EC:2.7.8.13]
K01001  UDP-N-acetylglucosamine--dolichyl-phosphate N-acetylglucosaminephosphotransferase [EC:2.7.8.15]
K01004  phosphatidylcholine synthase [EC:2.7.8.24]
K01006  pyruvate, orthophosphate dikinase [EC:2.7.9.1]
K01007  pyruvate, water dikinase [EC:2.7.9.2]
K01008  selenide, water dikinase [EC:2.7.9.3]
K01009  L-glutamine-phosphate cytidylyltransferase [EC:2.7.7.103]
K01098  polynucleotide 5'-triphosphatase [EC:3.6.1.74]
K01139  GTP diphosphokinase / guanosine-3',5'-bis(diphosphate) 3'-diphosphatase [EC:2.7.6.5 3.1.7.2]
K01509  adenosinetriphosphatase [EC:3.6.1.-]
K01510  apyrase [EC:3.6.1.5]
K01511  ectonucleoside triphosphate diphosphohydrolase 5/6 [EC:3.6.1.6]
K01513  ectonucleotide pyrophosphatase/phosphodiesterase family member 1/3 [EC:3.1.4.1 3.6.1.9]
K01514  exopolyphosphatase [EC:3.6.1.11]
K01515  ADP-ribose diphosphatase [EC:3.6.1.13 3.6.1.-]
K01517  manganese-dependent ADP-ribose/CDP-alcohol diphosphatase [EC:3.6.1.13 3.6.1.16 3.6.1.53]
K01518  bis(5'-nucleosidyl)-tetraphosphatase [EC:3.6.1.17]
K01519  XTP/dITP diphosphohydrolase [EC:3.6.1.66]
K01520  dUTP diphosphatase [EC:3.6.1.23]
K01521  CDP-diacylglycerol pyrophosphatase [EC:3.6.1.26]
K01522  bis(5'-adenosyl)-triphosphatase [EC:3.6.1.29]
K01523  phosphoribosyl-ATP pyrophosphohydrolase [EC:3.6.1.31]
K01524  exopolyphosphatase / guanosine-5'-triphosphate,3'-diphosphate pyrophosphatase [EC:3.6.1.11 3.6.1.40]
K01525  bis(5'-nucleosyl)-tetraphosphatase (symmetrical) [EC:3.6.1.41]
K01529  inosine/xanthosine triphosphatase [EC:3.6.1.73]
K01596  phosphoenolpyruvate carboxykinase (GTP) [EC:4.1.1.32]
K01610  phosphoenolpyruvate carboxykinase (ATP) [EC:4.1.1.49]
K01765  inositol-1,3,4-trisphosphate 5/6-kinase [EC:2.7.1.159]
K01770  2-C-methyl-D-erythritol 2,4-cyclodiphosphate synthase [EC:4.6.1.12]
K01947  biotin---[acetyl-CoA-carboxylase] ligase / type III pantothenate kinase [EC:6.3.4.15 2.7.1.33]
K01948  carbamoyl-phosphate synthase (ammonia) [EC:6.3.4.16]
K01954  carbamoyl-phosphate synthase [EC:6.3.5.5]
K01955  carbamoyl-phosphate synthase large subunit [EC:6.3.5.5]
K01956  carbamoyl-phosphate synthase small subunit [EC:6.3.5.5]
K02201  pantetheine-phosphate adenylyltransferase [EC:2.7.7.3]
K02203  phosphoserine / homoserine phosphotransferase [EC:3.1.3.3 2.7.1.39]
K02204  homoserine kinase type II [EC:2.7.1.39]
K02231  adenosylcobinamide kinase / adenosylcobinamide-phosphate guanylyltransferase [EC:2.7.1.156 2.7.7.62]
K02233  adenosylcobinamide-GDP ribazoletransferase [EC:2.7.8.26]
K02318  phosphopantetheine adenylyltransferase / dephospho-CoA kinase [EC:2.7.7.3 2.7.1.24]
K02362  enterobactin synthetase component D / holo-[acyl-carrier protein] synthase [EC:6.3.2.14 2.7.8.7]
K02586  nitrogenase molybdenum-iron protein alpha chain [EC:1.18.6.1]
K02588  nitrogenase iron protein NifH
K02591  nitrogenase molybdenum-iron protein beta chain [EC:1.18.6.1]
K02649  phosphoinositide-3-kinase regulatory subunit alpha/beta/delta
K02851  UDP-GlcNAc:undecaprenyl-phosphate/decaprenyl-phosphate GlcNAc-1-phosphate transferase [EC:2.7.8.33 2.7.8.35]
K03269  UDP-2,3-diacylglucosamine hydrolase [EC:3.6.1.54]
K03272  D-beta-D-heptose 7-phosphate kinase / D-beta-D-heptose 1-phosphate adenosyltransferase [EC:2.7.1.167 2.7.7.70]
K03338  5-dehydro-2-deoxygluconokinase [EC:2.7.1.92]
K03426  NAD+ diphosphatase [EC:3.6.1.22]
K03525  type III pantothenate kinase [EC:2.7.1.33]
K03638  molybdopterin adenylyltransferase [EC:2.7.7.75]
K03752  molybdenum cofactor guanylyltransferase [EC:2.7.7.77]
K03760  lipid A ethanolaminephosphotransferase [EC:2.7.8.43]
K03831  molybdopterin adenylyltransferase [EC:2.7.7.75]
K04042  bifunctional UDP-N-acetylglucosamine pyrophosphorylase / glucosamine-1-phosphate N-acetyltransferase [EC:2.7.7.23 2.3.1.157]
K04112  benzoyl-CoA reductase subunit C [EC:1.3.7.8]
K04113  benzoyl-CoA reductase subunit B [EC:1.3.7.8]
K04114  benzoyl-CoA reductase subunit A [EC:1.3.7.8]
K04115  benzoyl-CoA reductase subunit D [EC:1.3.7.8]
K04339  scyllo-inosamine 4-kinase [EC:2.7.1.65]
K04343  streptomycin 6-kinase [EC:2.7.1.72]
K04715  ceramide kinase [EC:2.7.1.138]
K04718  sphingosine kinase [EC:2.7.1.91]
K04765  nucleoside triphosphate diphosphatase [EC:3.6.1.9]
K05305  fucokinase [EC:2.7.1.52]
K05307  thiamine-triphosphatase [EC:3.6.1.28]
K05715  2-phosphoglycerate kinase [EC:2.7.2.16]
K05774  ribose 1,5-bisphosphokinase [EC:2.7.4.23]
K05828  [amino group carrier protein]-L-2-aminoadipate/L-glutamate 6-kinase [EC:2.7.2.17 2.7.2.19]
K05961  deoxynucleoside kinase [EC:2.7.1.145]
K06133  4'-phosphopantetheinyl transferase [EC:2.7.8.-]
K06153  undecaprenyl-diphosphatase [EC:3.6.1.27]
K06162  alpha-D-ribose 1-methylphosphonate 5-triphosphate diphosphatase [EC:3.6.1.63]
K06210  nicotinamide mononucleotide adenylyltransferase [EC:2.7.7.1 2.7.7.18]
K06211  HTH-type transcriptional regulator, transcriptional repressor of NAD biosynthesis genes [EC:2.7.7.1 2.7.1.22]
K06287  nucleoside triphosphate pyrophosphatase [EC:3.6.1.-]
K06857  tungstate transport system ATP-binding protein [EC:7.3.2.6]
K06898  pyridinium-3,5-biscarboxylic acid mononucleotide synthase [EC:2.5.1.143]
K06928  nucleoside-triphosphatase [EC:3.6.1.15]
K06949  ribosome biogenesis GTPase / thiamine phosphate phosphatase [EC:3.6.1.- 3.1.3.100]
K06981  isopentenyl phosphate kinase [EC:2.7.4.26]
K06982  pantoate kinase [EC:2.7.1.169]
K07029  diacylglycerol kinase (ATP) [EC:2.7.1.107]
K07031  D-glycero-alpha-D-manno-heptose-7-phosphate kinase [EC:2.7.1.168]
K07043  UTP pyrophosphatase [EC:3.6.1.-]
K07102  N-acetylmuramate 1-kinase [EC:2.7.1.221]
K07141  molybdenum cofactor cytidylyltransferase [EC:2.7.7.76]
K07142  2-amino-4-hydroxy-6-hydroxymethyldihydropteridine diphosphokinase [EC:2.7.6.3]
K07144  5-(aminomethyl)-3-furanmethanol phosphate kinase [EC:2.7.4.31]
K07251  thiamine kinase [EC:2.7.1.89]
K07252  dolichyldiphosphatase [EC:3.6.1.43]
K07281  1L-myo-inositol 1-phosphate cytidylyltransferase [EC:2.7.7.74]
K07291  CDP-L-myo-inositol myo-inositolphosphotransferase [EC:2.7.8.34]
K07732  riboflavin kinase, archaea type [EC:2.7.1.161]
K07756  inositol-hexakisphosphate 5-kinase [EC:2.7.4.21]
K07816  GTP pyrophosphokinase [EC:2.7.6.5]
K08074  ADP-dependent glucokinase [EC:2.7.1.147]
K08310  dihydroneopterin triphosphate diphosphatase [EC:3.6.1.67]
K08311  putative (di)nucleoside polyphosphate hydrolase [EC:3.6.1.-]
K08312  ADP compounds hydrolase [EC:3.6.1.-]
K08320  (d)CTP diphosphatase [EC:3.6.1.65]
K08744  cardiolipin synthase (CMP-forming) [EC:2.7.8.41]
K09001  anhydro-N-acetylmuramic acid kinase [EC:2.7.1.170]
K09680  type II pantothenate kinase [EC:2.7.1.33]
K09735  GTP-dependent dephospho-CoA kinase [EC:2.7.1.237]
K09881  acylglycerol kinase [EC:2.7.1.94]
K09903  uridylate kinase [EC:2.7.4.22]
K09949  UDP-2,3-diacylglucosamine hydrolase [EC:3.6.1.54]
K10353  deoxyadenosine kinase [EC:2.7.1.76]
K10524  nicotinamide/nicotinate riboside kinase [EC:2.7.1.22 2.7.1.173]
K10572  inositol-pentakisphosphate 2-kinase [EC:2.7.1.158]
K10710  fructoselysine 6-kinase [EC:2.7.1.218]
K10837  O-phosphoseryl-tRNA(Sec) kinase [EC:2.7.1.164]
K11211  3-deoxy-D-manno-octulosonic acid kinase [EC:2.7.1.166]
K11212  LPPG:FO 2-phospho-L-lactate transferase [EC:2.7.8.28]
K11214  sedoheptulokinase [EC:2.7.1.14]
K11216  autoinducer-2 kinase [EC:2.7.1.189]
K11441  dehydrogluconokinase [EC:2.7.1.13]
K11528  UDP-N-acetylglucosamine pyrophosphorylase [EC:2.7.7.23]
K11529  glycerate 2-kinase [EC:2.7.1.165]
K11540  carbamoyl-phosphate synthase / aspartate carbamoyltransferase / dihydroorotase [EC:6.3.5.5 2.1.3.2 3.5.2.3]
K11541  carbamoyl-phosphate synthase / aspartate carbamoyltransferase [EC:6.3.5.5 2.1.3.2]
K11753  riboflavin kinase / FMN adenylyltransferase [EC:2.7.1.26 2.7.7.2]
K11755  phosphoribosyl-AMP cyclohydrolase / phosphoribosyl-ATP pyrophosphohydrolase [EC:3.5.4.19 3.6.1.31]
K12152  phosphatase NudJ [EC:3.6.1.-]
K12304  soluble calcium-activated nucleotidase 1 [EC:3.6.1.6]
K12305  ectonucleoside triphosphate diphosphohydrolase 4 [EC:3.6.1.6]
K12406  pyruvate kinase isozymes R/L [EC:2.7.1.40]
K12407  glucokinase [EC:2.7.1.2]
K12409  bifunctional UDP-N-acetylglucosamine 2-epimerase / N-acetylmannosamine kinase [EC:3.2.1.183 2.7.1.60]
K12446  L-arabinokinase [EC:2.7.1.46]
K12447  UDP-sugar pyrophosphorylase [EC:2.7.7.64]
K12506  2-C-methyl-D-erythritol 4-phosphate cytidylyltransferase / 2-C-methyl-D-erythritol 2,4-cyclodiphosphate synthase [EC:2.7.7.60 4.6.1.12]
K12524  bifunctional aspartokinase / homoserine dehydrogenase 1 [EC:2.7.2.4 1.1.1.3]
K12525  bifunctional aspartokinase / homoserine dehydrogenase 2 [EC:2.7.2.4 1.1.1.3]
K12526  bifunctional diaminopimelate decarboxylase / aspartate kinase [EC:4.1.1.20 2.7.2.4]
K12570  streptomycin 6-kinase [EC:2.7.1.72]
K12584  m7GpppX diphosphatase [EC:3.6.1.59]
K12613  mRNA-decapping enzyme subunit 2 [EC:3.6.1.62]
K12629  puromycin biosynthesis protein Pur7 [EC:3.-.-.-]
K12657  delta-1-pyrroline-5-carboxylate synthetase [EC:2.7.2.11 1.2.1.41]
K12659  N-acetyl-gamma-glutamyl-phosphate reductase / acetylglutamate kinase [EC:1.2.1.38 2.7.2.8]
K12908  phosphonoformate cytidylyltransferase [EC:2.7.7.93]
K13024  inositol-hexakisphosphate/diphosphoinositol-pentakisphosphate 1-kinase [EC:2.7.4.24]
K13059  N-acetylhexosamine 1-kinase [EC:2.7.1.162]
K13273  phosphomevalonate kinase [EC:2.7.4.2]
K13522  bifunctional NMN adenylyltransferase/nudix hydrolase [EC:2.7.7.1 3.6.1.-]
K13644  choline/ethanolamine phosphotransferase [EC:2.7.8.1 2.7.8.2]
K13656  undecaprenyl-phosphate glucose phosphotransferase [EC:2.7.8.31]
K13711  phosphatidylinositol 4-kinase type 2 [EC:2.7.1.67]
K13712  phosphatidylinositol-4-phosphate 5-kinase-like protein 1 [EC:2.7.1.68]
K13799  pantoate ligase / CMP/dCMP kinase [EC:6.3.2.1 2.7.4.25]
K13800  UMP-CMP kinase [EC:2.7.4.14]
K13809  UMP-CMP kinase 2, mitochondrial [EC:2.7.4.14]
K13811  3'-phosphoadenosine 5'-phosphosulfate synthase [EC:2.7.7.4 2.7.1.25]
K13818  molybdopterin-guanine dinucleotide biosynthesis protein [EC:2.7.7.77]
K13829  shikimate kinase / 3-dehydroquinate synthase [EC:2.7.1.71 4.2.3.4]
K13830  pentafunctional AROM polypeptide [EC:4.2.3.4 4.2.1.10 1.1.1.25 2.7.1.71 2.5.1.19]
K13917  mRNA-capping enzyme [EC:2.7.7.50 3.6.1.74]
K13939  dihydroneopterin aldolase / 2-amino-4-hydroxy-6-hydroxymethyldihydropteridine diphosphokinase / dihydropteroate synthase [EC:4.1.2.25 2.7.6.3 2.5.1.15]
K13940  dihydroneopterin aldolase / 2-amino-4-hydroxy-6-hydroxymethyldihydropteridine diphosphokinase [EC:4.1.2.25 2.7.6.3]
K13941  2-amino-4-hydroxy-6-hydroxymethyldihydropteridine diphosphokinase / dihydropteroate synthase [EC:2.7.6.3 2.5.1.15]
K13967  N-acetylmannosamine-6-phosphate 2-epimerase / N-acetylmannosamine kinase [EC:5.1.3.9 2.7.1.60]
K13987  ADP-ribose diphosphatase / 8-oxo-dGDP phosphatase / ADP-D-ribose pyrophosphorylase [EC:3.6.1.13 3.6.1.58 2.7.7.96]
K13988  ADP-ribose diphosphatase [EC:3.6.1.13]
K14152  phosphoribosyl-ATP pyrophosphohydrolase / phosphoribosyl-AMP cyclohydrolase / histidinol dehydrogenase [EC:3.6.1.31 3.5.4.19 1.1.1.23]
K14153  hydroxymethylpyrimidine kinase / phosphomethylpyrimidine kinase / thiamine-phosphate diphosphorylase [EC:2.7.1.49 2.7.4.7 2.5.1.3]
K14154  thiamine-phosphate diphosphorylase / hydroxyethylthiazole kinase [EC:2.5.1.3 2.7.1.50]
K14156  choline/ethanolamine kinase [EC:2.7.1.32 2.7.1.82]
K14190  GDP-L-galactose phosphorylase [EC:2.7.7.69]
K14641  apyrase [EC:3.6.1.5]
K14642  golgi apyrase [EC:3.6.1.5]
K14656  FAD synthetase [EC:2.7.7.2]
K14941  2-phospho-L-lactate/phosphoenolpyruvate guanylyltransferase [EC:2.7.7.68 2.7.7.105]
K15376  gephyrin [EC:2.10.1.1 2.7.7.75]
K15497  molybdate/tungstate transport system ATP-binding protein [EC:7.3.2.5 7.3.2.6]
K15518  deoxyguanosine kinase [EC:2.7.1.113]
K15519  deoxyadenosine/deoxycytidine kinase [EC:2.7.1.76 2.7.1.74]
K15669  D-glycero-alpha-D-manno-heptose 1-phosphate guanylyltransferase [EC:2.7.7.71]
K15825  juvenile hormone diol kinase
K15892  farnesol kinase [EC:2.7.1.216]
K15915  undecaprenyl phosphate N,N'-diacetylbacillosamine 1-phosphate transferase [EC:2.7.8.36]
K15918  D-glycerate 3-kinase [EC:2.7.1.31]
K16011  mannose-1-phosphate guanylyltransferase / mannose-6-phosphate isomerase [EC:2.7.7.13 5.3.1.8]
K16018  kanosamine 6-kinase [EC:2.7.1.179]
K16146  maltokinase [EC:2.7.1.175]
K16190  glucuronokinase [EC:2.7.1.43]
K16328  pseudouridine kinase [EC:2.7.1.83]
K16330  pseudouridylate synthase / pseudouridine kinase [EC:4.2.1.70 2.7.1.83]
K16368  diacylglycerol kinase (CTP) [EC:2.7.1.174]
K16370  6-phosphofructokinase 2 [EC:2.7.1.11]
K16651  L-threonine kinase [EC:2.7.1.177]
K16855  U8 snoRNA-decapping enzyme [EC:3.6.1.62 3.6.1.64]
K16881  mannose-1-phosphate guanylyltransferase / phosphomannomutase [EC:2.7.7.13 5.4.2.8]
K16904  dCTP diphosphatase [EC:3.6.1.12]
K17103  CDP-diacylglycerol---serine O-phosphatidyltransferase [EC:2.7.8.8]
K17879  peroxisomal coenzyme A diphosphatase NUDT7 [EC:3.6.1.77]
K17884  archaetidylinositol phosphate synthase [EC:2.7.8.39]
K17910  aminoglycoside 2''-phosphotransferase [EC:2.7.1.190]
K18126  2-dehydro-3-deoxygluconokinase / 2-dehydro-3-deoxygalactonokinase [EC:2.7.1.178]
K18201  hydroxylysine kinase [EC:2.7.1.81]
K18424  ectonucleotide pyrophosphatase/phosphodiesterase family member 4 [EC:3.6.1.29]
K18445  diadenosine hexaphosphate hydrolase (ATP-forming) [EC:3.6.1.61]
K18447  ADP-sugar diphosphatase [EC:3.6.1.21]
K18453  ADP-ribose/FAD diphosphatase [EC:3.6.1.13 3.6.1.18]
K18478  sulfofructose kinase [EC:2.7.1.184]
K18532  adenylate kinase [EC:2.7.4.3]
K18533  adenylate/nucleoside-diphosphate kinase [EC:2.7.4.3 2.7.4.6]
K18568  coenzyme A diphosphatase [EC:3.6.1.77]
K18674  N-acetylgalactosamine kinase [EC:2.7.1.157]
K18676  glucosamine kinase [EC:2.7.1.8]
K18677  galacturonokinase [EC:2.7.1.44]
K18678  phytol kinase [EC:2.7.1.182]
K18689  mevalonate-3-kinase [EC:2.7.1.185]
K18690  mevalonate-3-phosphate-5-kinase [EC:2.7.1.186]
K18827  O-antigen chain-terminating bifunctional methyltransferase/kinase [EC:2.1.1.- 2.1.1.294 2.7.1.181]
K19302  undecaprenyl-diphosphatase [EC:3.6.1.27]
K19405  protein arginine kinase [EC:2.7.14.1]
K19517  1D-myo-inositol 3-kinase [EC:2.7.1.64]
K19664  CDP-2,3-bis-(O-geranylgeranyl)-sn-glycerol synthase [EC:2.7.7.67]
K19665  archaetidylserine synthase [EC:2.7.8.38]
K19697  propionate kinase [EC:2.7.2.15]
K19710  ATP adenylyltransferase [EC:2.7.7.53]
K19712  adenosylcobinamide-phosphate guanylyltransferase [EC:2.7.7.62]
K19785  nicotinamide-nucleotide adenylyltransferase [EC:2.7.7.1]
K19786  inositol-pentakisphosphate 2-kinase [EC:2.7.1.158]
K19797  Straboviridae T-even-induced deoxynucleotide kinase [EC:2.7.4.12]
K19801  phosphatidylinositol 4-kinase B [EC:2.7.1.67]
K19803  Kdo2-lipid A phosphotransferase [EC:2.7.4.29]
K19883  bifunctional aminoglycoside 6'-N-acetyltransferase / aminoglycoside 2''-phosphotransferase [EC:2.3.1.82 2.7.1.190]
K19965  dihydroneopterin triphosphate pyrophosphohydrolase [EC:3.6.1.67]
K19978  acarbose 7IV-phosphotransferase [EC:2.7.1.187]
K19979  2-epi-5-epi-valiolone 7-kinase [EC:2.7.1.188]
K20427  valienol-1-phosphate guanylyltransferase [EC:2.7.7.91]
K20884  riboflavin kinase / FMN hydrolase [EC:2.7.1.26 3.1.3.102]
K20986  geranyl diphosphate phosphohydrolase [EC:3.6.1.68]
K21030  D-ribitol-5-phosphate cytidylyltransferase [EC:2.7.7.40]
K21031  D-ribitol-5-phosphate cytidylyltransferase [EC:2.7.7.40]
K21057  cytidine kinase [EC:2.7.1.213]
K21071  ATP-dependent phosphofructokinase / diphosphate-dependent phosphofructokinase [EC:2.7.1.11 2.7.1.90]
K21210  NDP-mannose synthase
K21219  hydroxymethylpyrimidine kinase / phosphomethylpyrimidine kinase / thiamine-phosphate diphosphorylase [EC:2.7.1.49 2.7.4.7 2.5.1.3]
K21289  phosphatidylinositol-4,5-bisphosphate 3-kinase catalytic subunit gamma [EC:2.7.1.153]
K21344  D-glycero-beta-D-manno-heptose-7-phosphate kinase [EC:2.7.1.167]
K21345  D-glycero-beta-D-manno-heptose 1-phosphate adenylyltransferase [EC:2.7.7.70]
K21621  tagatose kinase [EC:2.7.1.101]
K21681  ribitol-5-phosphate 2-dehydrogenase (NADP+) / D-ribitol-5-phosphate cytidylyltransferase [EC:1.1.1.405 2.7.7.40]
K22026  nucleoside kinase [EC:2.7.1.73 2.7.1.213 2.7.1.-]
K22129  D-threonate/D-erythronate kinase [EC:2.7.1.219 2.7.1.220]
K22424  glutamine kinase [EC:2.7.3.13]
K22435  4-hydroxytryptamine kinase [EC:2.7.1.222]
K22478  bifunctional N-acetylglutamate synthase/kinase [EC:2.3.1.1 2.7.2.8]
K22579  rifampicin phosphotransferase [EC:2.7.9.6]
K22920  UTP---glucose-1-phosphate uridylyltransferase [EC:2.7.7.9]
K22935  D-ribulokinase [EC:2.7.1.47]
K22949  FAD synthetase [EC:2.7.7.2]
K23144  UDP-N-acetylglucosamine diphosphorylase / glucose-1-phosphate thymidylyltransferase / UDP-N-acetylgalactosamine diphosphorylase / glucosamine-1-phosphate N-acetyltransferase / galactosamine-1-phosphate N-acetyltransferase [EC:2.7.7.23 2.7.7.24 2.7.7.83 2.3.1.157 2.3.1.276]
K23147  aminoimidazole riboside kinase [EC:2.7.1.223]
K23148  cytidine diphosphoramidate kinase [EC:2.7.1.224]
K23992  1L-myo-inositol 1-phosphate cytidylyltransferase / CDP-L-myo-inositol myo-inositolphosphotransferase [EC:2.7.7.74 2.7.8.34]
K23999  phosphoenolpyruvate phosphomutase / 2-hydroxyethylphosphonate cytidylyltransferase [EC:5.4.2.9 2.7.7.104]
K24000  HPP-CMP hydrolase [EC:3.6.1.-]
K24182  6-phosphofructokinase [EC:2.7.1.11]
K24707  ribulokinase [EC:2.7.1.16]
K25026  glucokinase [EC:2.7.1.2]
K25031  gluconokinase [EC:2.7.1.12]
K25314  fucokinase / fucose-1-phosphate guanylyltransferase [EC:2.7.1.52 2.7.7.30]
K25315  arabinokinase / fucokinase / arabinose-1-phosphate guanylyltransferase / fucose-1-phosphate guanylyltransferase [EC:2.7.1.- 2.7.7.- 2.7.1.52 2.7.7.30]
K25364  lombricine kinase [EC:2.7.3.5]
K25435  putative bifunctional nucleoside triphosphate pyrophosphatase / methyltransferase [EC:3.6.1.- 2.1.1.-]
K25500  Cyanophage dATP/dGTP diphosphohydrolase [EC:3.6.1.-]
K25520  prenyl-diphosphate phosphatase [EC:3.6.1.76]
K25574  (2-aminoethyl)phosphonate cytidylyltransferase [EC:2.7.7.107]
K25641  deoxyguanosine kinase [EC:2.7.1.113]
K25657  choline kinase [EC:2.7.1.32]
K25658  choline-phosphate cytidylyltransferase [EC:2.7.7.15]
K25936  phenol phosphorylase subunit alpha [EC:2.7.1.238]
K25937  phenol phosphorylase subunit beta [EC:2.7.1.238]
K25938  phenol phosphorylase subunit delta gamma [EC:2.7.1.238]
K26283  ceramide phosphoethanolamine synthase [EC:2.7.8.48]
K26955  bis(5'-nucleosidyl)-tetraphosphatase [EC:3.6.1.17]
K26956  ADP-ribose/NAD+ diphosphatase [EC:3.6.1.13 3.6.1.22]
K27382  creatine kinase M-type [EC:2.7.3.2]
K27475  ketohexokinase [EC:2.7.1.3]
K28207  N-acetylglucosamine kinase [EC:2.7.1.59]
K28208  N-acetylmuramate/N-acetylglucosamine kinase [EC:2.7.1.- 2.7.1.59]
K28462  phosphoribulokinase [EC:2.7.1.19]
K28660  UTP---glucose-1-phosphate uridylyltransferase [EC:2.7.7.9]

DBGET integrated database retrieval system