 | | REACTION: R07512 | |
| Entry |
|
| Name |
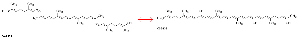
7,9,7',9'-tetracis-lycopene cis-trans-isomerase
|
| Definition |
7,9,7',9'-tetracis-Lycopene <=> Lycopene
|
| Equation |
|
|
 |
| Comment |
carotenoid isomerase(crtH,crtISO)
|
| Reaction class |
|
| Enzyme |
|
| Pathway |
| rn01110 | Biosynthesis of secondary metabolites |
|
| Module |
| M00097 | Lycopene biosynthesis, geranylgeranyl-PP => lycopene |
|
| Brite |
Enzymatic reactions [BR:br08201]
5. Isomerase reactions
5.2 cis-trans-Isomerases
5.2.1 cis-trans Isomerases (only sub-subclass identified to date)
5.2.1.13
R07512 7,9,7',9'-tetracis-Lycopene <=> Lycopene
|
| Orthology |
|
| Other DBs |
|
| LinkDB |
|
|
|