| Entry |
|
| Name |
dTDP-4-amino-4,6-dideoxy-D-glucose ammonia-lyase (dTDP-3-oxo-4,6-dideoxy-D-glucose-forming)
|
| Definition |
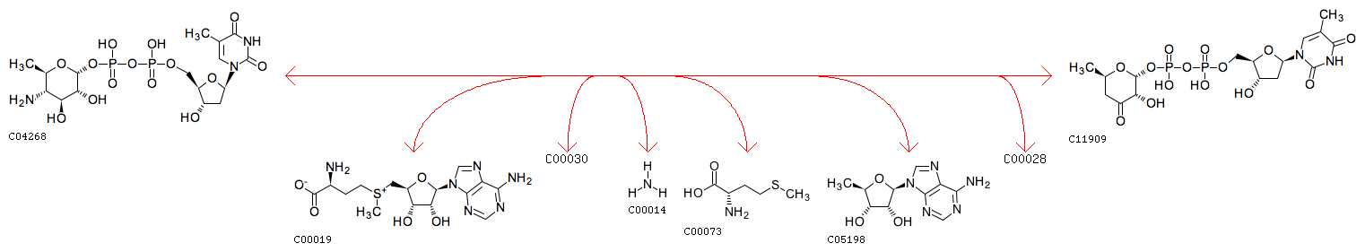
dTDP-4-amino-4,6-dideoxy-D-glucose + S-Adenosyl-L-methionine + Reduced acceptor <=> dTDP-3-oxo-4,6-dideoxy-D-glucose + Ammonia + L-Methionine + 5'-Deoxyadenosine + Acceptor
|
| Equation |
|
|
 |
| Comment |
radical SAM
|
| Reaction class |
|
| Enzyme |
|
| Pathway |
| rn00523 | Polyketide sugar unit biosynthesis |
| rn01110 | Biosynthesis of secondary metabolites |
| rn01250 | Biosynthesis of nucleotide sugars |
|
| Module |
| M00797 | dTDP-D-desosamine biosynthesis |
|
| Brite |
Enzymatic reactions [BR:br08201]
4. Lyase reactions
4.3 Carbon-nitrogen lyases
4.3.1 Ammonia-lyases
4.3.1.30
R08583 dTDP-4-amino-4,6-dideoxy-D-glucose + S-Adenosyl-L-methionine + Reduced acceptor <=> dTDP-3-oxo-4,6-dideoxy-D-glucose + Ammonia + L-Methionine + 5'-Deoxyadenosine + Acceptor
|
| Orthology |
|
| Other DBs |
|
| LinkDB |
|