| Entry |
|
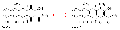
| Definition |
4-Keto-anhydrotetracycline <=> 4-Amino-anhydrotetracycline
|
| Equation |
|
|
 |
| Comment |
aminotransferase, OxyQ
|
| Reaction class |
|
| Pathway |
| rn01057 | Biosynthesis of type II polyketide products |
| rn01110 | Biosynthesis of secondary metabolites |
|
| Module |
| M00780 | Tetracycline/oxytetracycline biosynthesis, pretetramide => tetracycline/oxytetracycline |
| M00823 | Chlortetracycline biosynthesis, pretetramide => chlortetracycline |
|
| Orthology |
|
| Reference |
|
| Authors |
Pickens LB, Tang Y |
| Title |
Oxytetracycline biosynthesis. |
| Journal |
|
| Reference |
|
| Authors |
Zhang W, Watanabe K, Cai X, Jung ME, Tang Y, Zhan J |
| Title |
Identifying the minimal enzymes required for anhydrotetracycline biosynthesis. |
| Journal |
|
| LinkDB |
|