 | | REACTION: R09707 | |
| Entry |
|
| Name |
(5S,6S)-6-amino-5-hydroxycyclohexa-1,3-diene-1-carboxyate isomerase
|
| Definition |
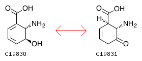
(5S,6S)-6-Amino-5-hydroxycyclohexa-1,3-diene-1-carboxylate <=> (1R,6S)-6-Amino-5-oxocyclohex-2-ene-1-carboxylate
|
| Equation |
|
|
 |
| Reaction class |
|
| Enzyme |
|
| Pathway |
| rn01110 | Biosynthesis of secondary metabolites |
|
| Module |
| M00835 | Pyocyanine biosynthesis, chorismate => pyocyanine |
|
| Brite |
Enzymatic reactions [BR:br08201]
5. Isomerase reactions
5.3 Intramolecular oxidoreductases
5.3.3 Transposing C=C bonds
5.3.3.17
R09707 (5S,6S)-6-Amino-5-hydroxycyclohexa-1,3-diene-1-carboxylate <=> (1R,6S)-6-Amino-5-oxocyclohex-2-ene-1-carboxylate
|
| Orthology |
| K06998 | trans-2,3-dihydro-3-hydroxyanthranilate isomerase [EC:5.3.3.17] |
|
| Other DBs |
|
| LinkDB |
|
|
|