REACTION: R10036
Help
Entry
R10036 Reaction
Definition
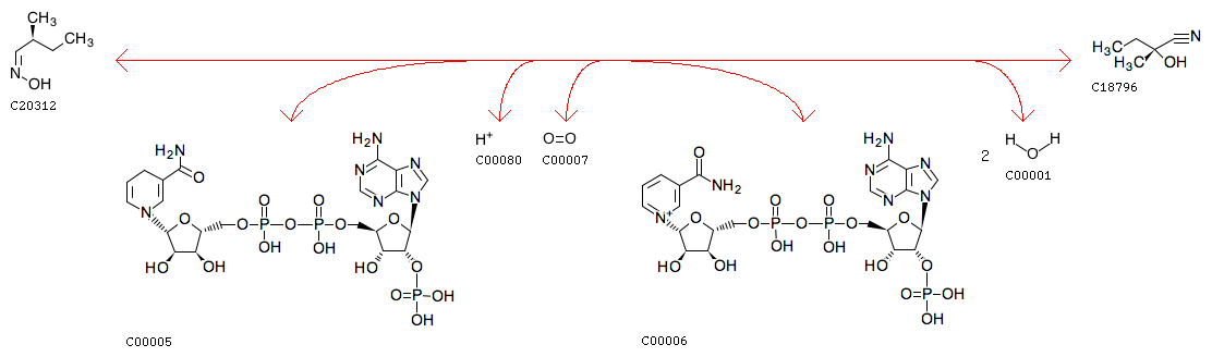
(Z)-2-Methylbutanal oxime + NADPH + H+ + Oxygen <=> (2R)-2-Hydroxy-2-methylbutanenitrile + NADP+ + 2 H2O
Equation
C20312
+
C00005
+
C00080
+
C00007
<=>
C18796
+
C00006
+ 2
C00001
Comment
CYP736A2
Reaction class
RC00001
C00005_C00006
RC03031
C18796_C20312
Pathway
rn00460
Cyanoamino acid metabolism
LinkDB
All DBs
RCLASS: RC03031
Help
Entry
RC03031 RClass
Definition
C1c-C1d:*-O1a:C1a+C1b+C2b-C1a+C1b+C3b
C2b-C3b:*-*:C1c+N2b-C1d+N3a
N2b-N3a:O1b-*:C2b-C3b
Reactant pair
C18796_C19491
C18796_C20312
Related class
DB search
Reaction
R10036
R11597
Enzyme
1.14.14.41
Pathway
rn00460
Cyanoamino acid metabolism
DBGET
integrated database retrieval system