| Entry |
|
| Name |
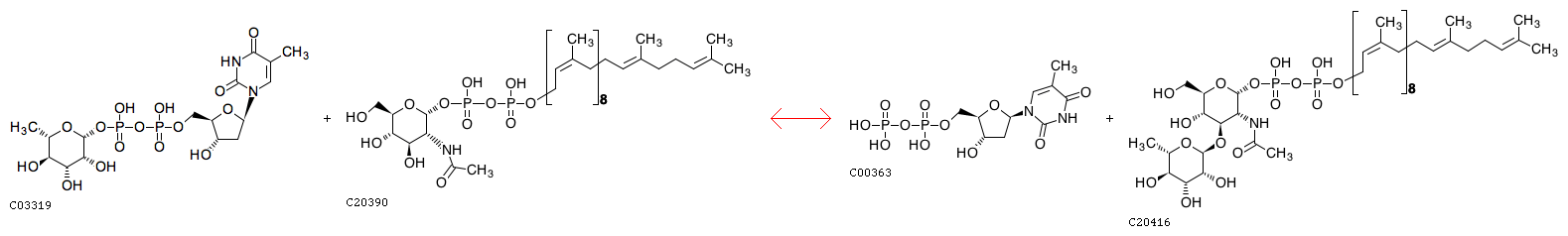
dTDP-6-deoxy-beta-L-mannose:N-acetyl-alpha-D-glucosaminyl-diphospho-trans,octacis-decaprenol 3-alpha-L-rhamnosyltransferase
|
| Definition |
dTDP-L-rhamnose + N-Acetyl-alpha-D-glucosaminyl-diphospho-trans,octacis-decaprenol <=> dTDP + alpha-L-Rhamnopyranosyl-(1->3)-N-acetyl-alpha-D-glucosaminyl-diphospho-trans,octacis-decaprenol
|
| Equation |
|
|
 |
| Remark |
|
| Reaction class |
|
| Enzyme |
|
| Brite |
Enzymatic reactions [BR:br08201]
2. Transferase reactions
2.4 Glycosyltransferases
2.4.1 Hexosyltransferases
2.4.1.289
R10175 dTDP-L-rhamnose + N-Acetyl-alpha-D-glucosaminyl-diphospho-trans,octacis-decaprenol <=> dTDP + alpha-L-Rhamnopyranosyl-(1->3)-N-acetyl-alpha-D-glucosaminyl-diphospho-trans,octacis-decaprenol
|
| Orthology |
| K16870 | N-acetylglucosaminyl-diphospho-decaprenol L-rhamnosyltransferase [EC:2.4.1.289] |
|
| Other DBs |
|
| LinkDB |
|