KEGG   REACTION: R11161
Entry
R11161                      Reaction                               
Definition
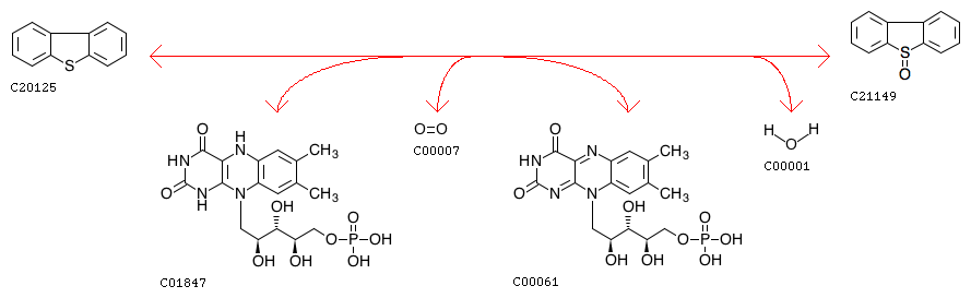
Dibenzothiophene + Reduced FMN + Oxygen <=> Dibenzothiophene-5-oxide + FMN + H2O
Equation
Comment
the first step of two-step reaction (see R11163, R11161+R11162)
Reaction class
RC00126  C00061_C01847
RC03378  C20125_C21149
Enzyme
Brite
Enzymatic reactions [BR:br08201]
 1. Oxidoreductase reactions
  1.14  Acting on paired donors, with incorporation or reduction of molecular oxygen
   1.14.14  With reduced flavin or flavoprotein as one donor, and incorporation of one atom of oxygen into the other donor
    1.14.14.21
     R11161  Dibenzothiophene + Reduced FMN + Oxygen <=> Dibenzothiophene-5-oxide + FMN + H2O
Other DBs
RHEA: 49079
LinkDB

KEGG   REACTION: R11162
Entry
R11162                      Reaction                               
Definition
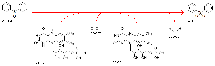
Dibenzothiophene-5-oxide + Reduced FMN + Oxygen <=> Dibenzothiophene-5,5-dioxide + FMN + H2O
Equation
Comment
the second step of two-step reaction (see R11163, R11161+R11162)
Reaction class
RC00126  C00061_C01847
RC03379  C21149_C21150
Enzyme
Brite
Enzymatic reactions [BR:br08201]
 1. Oxidoreductase reactions
  1.14  Acting on paired donors, with incorporation or reduction of molecular oxygen
   1.14.14  With reduced flavin or flavoprotein as one donor, and incorporation of one atom of oxygen into the other donor
    1.14.14.21
     R11162  Dibenzothiophene-5-oxide + Reduced FMN + Oxygen <=> Dibenzothiophene-5,5-dioxide + FMN + H2O
Other DBs
RHEA: 49083
LinkDB

DBGET integrated database retrieval system