| Entry |
|
| Definition |
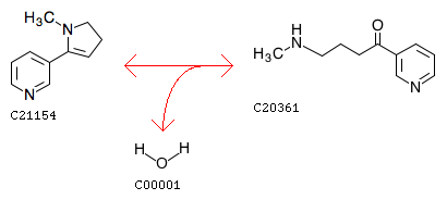
N-Methylmyosmine + H2O <=> Pseudooxynicotine
|
| Equation |
|
|
 |
| Comment |
|
| Reaction class |
|
| Pathway |
| rn00760 | Nicotinate and nicotinamide metabolism |
| rn01120 | Microbial metabolism in diverse environments |
|
| Module |
| M00811 | Nicotine degradation, pyrrolidine pathway, nicotine => succinate semialdehyde |
|
| Reference |
|
| Authors |
Tang H, Wang L, Wang W, Yu H, Zhang K, Yao Y, Xu P |
| Title |
Systematic unraveling of the unsolved pathway of nicotine degradation in Pseudomonas. |
| Journal |
|
| LinkDB |
|