REACTION: R13532
Help
Entry
R13532 Reaction
Name
pyridin-1-ium-3,5-bisthiocarboxylate mononucleotide sufo-lyase
Definition
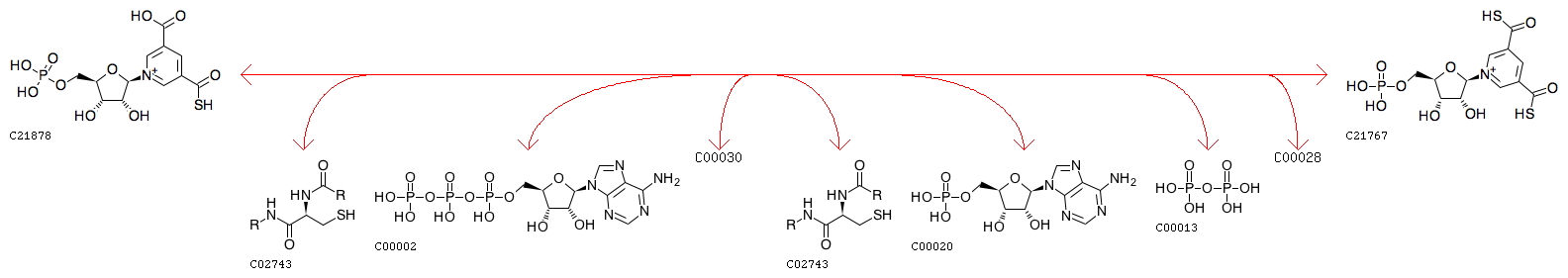
[Protein]-L-cysteine + Pyridinium-3-carboxy-5-thiocarboxylic acid mononucleotide + ATP + Reduced acceptor <=> [Protein]-L-cysteine + Pyridinium-3,5-bisthiocarboxylate mononucleotide + AMP + Diphosphate + Acceptor
Equation
C02743
+
C21878
+
C00002
+
C00030
<=>
C02743
+
C21767
+
C00020
+
C00013
+
C00028
Comment
two-step reaction (see
R12063+R13533
)
Enzyme
4.4.1.45
Brite
Enzymatic reactions [BR:
br08201
]
4. Lyase reactions
4.4 Carbon-sulfur lyases
4.4.1 Carbon-sulfur lyases (only sub-subclass identified to date)
4.4.1.45
R13532 [Protein]-L-cysteine + Pyridinium-3-carboxy-5-thiocarboxylic acid mononucleotide + ATP + Reduced acceptor <=> [Protein]-L-cysteine + Pyridinium-3,5-bisthiocarboxylate mononucleotide + AMP + Diphosphate + Acceptor
BRITE hierarchy
LinkDB
All DBs
REACTION: R12063
Help
Entry
R12063 Reaction
Definition
ATP + Pyridinium-3-carboxy-5-thiocarboxylic acid mononucleotide <=> Diphosphate + 1-(5-O-Phospho-beta-D-ribofuranosyl)-5-(sulfanylcarbonyl)pyridin-1-ium-3-carbonyl adenylate
Equation
C00002
+
C21878
<=>
C00013
+
C21879
Comment
the first step of three-step reaction (see
R12066, R12053+R12064+R12065
)
the first step of two-step reaction (see
R13532, R12063+R13533
)
Reaction class
RC00043
C21878_C21879
Enzyme
4.4.1.37
4.4.1.45
Brite
Enzymatic reactions [BR:
br08201
]
4. Lyase reactions
4.4 Carbon-sulfur lyases
4.4.1 Carbon-sulfur lyases (only sub-subclass identified to date)
4.4.1.37
R12063 ATP + Pyridinium-3-carboxy-5-thiocarboxylic acid mononucleotide <=> Diphosphate + 1-(5-O-Phospho-beta-D-ribofuranosyl)-5-(sulfanylcarbonyl)pyridin-1-ium-3-carbonyl adenylate
4.4.1.45
R12063 ATP + Pyridinium-3-carboxy-5-thiocarboxylic acid mononucleotide <=> Diphosphate + 1-(5-O-Phospho-beta-D-ribofuranosyl)-5-(sulfanylcarbonyl)pyridin-1-ium-3-carbonyl adenylate
BRITE hierarchy
Orthology
K06864
cysteine-dependent pyridinium-3,5-bisthiocarboxylic acid mononucleotide synthase [EC:
4.4.1.37
4.4.1.45
]
LinkDB
All DBs
REACTION: R13533
Help
Entry
R13533 Reaction
Definition
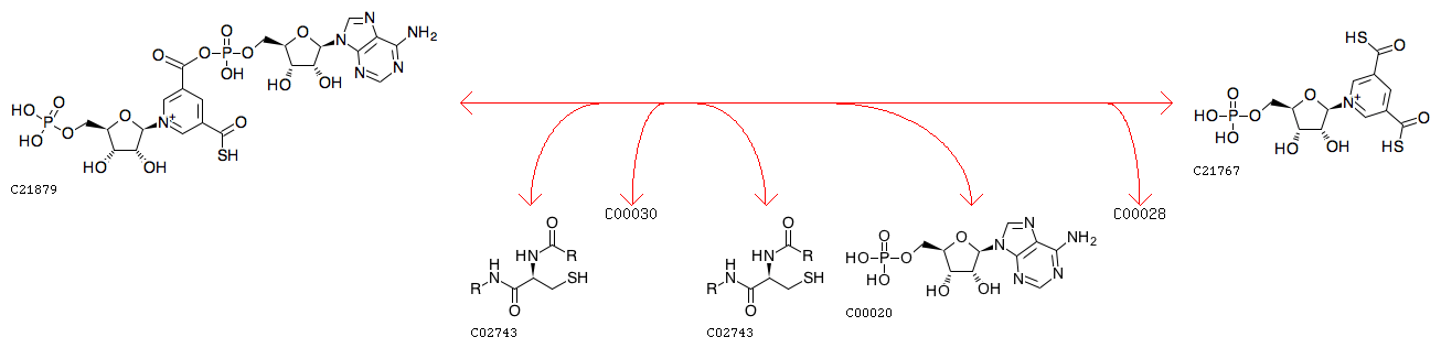
[Protein]-L-cysteine + 1-(5-O-Phospho-beta-D-ribofuranosyl)-5-(sulfanylcarbonyl)pyridin-1-ium-3-carbonyl adenylate + Reduced acceptor <=> [Protein]-L-cysteine + Pyridinium-3,5-bisthiocarboxylate mononucleotide + AMP + Acceptor
Equation
C02743
+
C21879
+
C00030
<=>
C02743
+
C21767
+
C00020
+
C00028
Comment
the second step of two-step reaction (see
R13532, R12063+R13533
)
Enzyme
4.4.1.45
Brite
Enzymatic reactions [BR:
br08201
]
4. Lyase reactions
4.4 Carbon-sulfur lyases
4.4.1 Carbon-sulfur lyases (only sub-subclass identified to date)
4.4.1.45
R13533 [Protein]-L-cysteine + 1-(5-O-Phospho-beta-D-ribofuranosyl)-5-(sulfanylcarbonyl)pyridin-1-ium-3-carbonyl adenylate + Reduced acceptor <=> [Protein]-L-cysteine + Pyridinium-3,5-bisthiocarboxylate mononucleotide + AMP + Acceptor
BRITE hierarchy
LinkDB
All DBs
DBGET
integrated database retrieval system