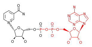
C00003 NAD+
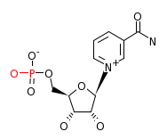
C00455 Nicotinamide D-ribonucleotide
RP00641_C00003 RP00641_C00455
C00003 C00455