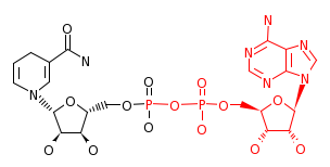
C00004 NADH
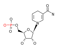
C21113 NMNH
RP17495_C00004 RP17495_C21113
C00004 C21113