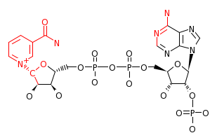
C00006 NADP+
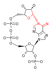
C20742 2'-Phospho-cyclic ADP-ribose
RP16727_C00006 RP16727_C20742
C00006 C20742