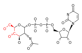
C00043 UDP-N-acetyl-alpha-D-glucosamine
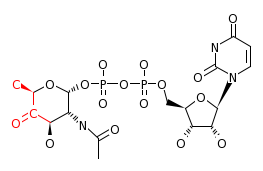
C04613 UDP-2-acetamido-4-dehydro-2,6-dideoxyglucose
RP16173_C00043 RP16173_C04613
C00043 C04613