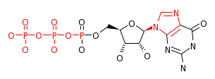
C00044 GTP
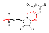
C01304 2,5-Diamino-6-(5-phospho-D-ribosylamino)pyrimidin-4(3H)-one
RP00892_C00044 RP00892_C01304
C00044 C01304