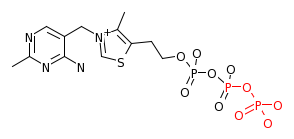
C00068 Thiamin diphosphate
C03028 Thiamin triphosphate
RP00535_C00068 RP00535_C03028
C00068 C03028