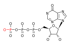
C00081 ITP
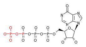
C03614 Inosine 5'-tetraphosphate
RP01067_C00081 RP01067_C03614
C00081 C03614