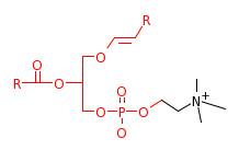
C00114 Choline
C00958 Plasmenylcholine
RP10955_C00114 RP10955_C00958
C00114 C00958