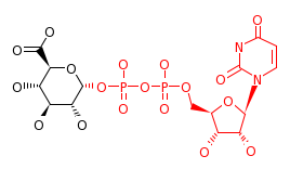
C00167 UDP-glucuronate
C00191 D-Glucuronate
RP13557_C00167 RP13557_C00191
C00167 C00191