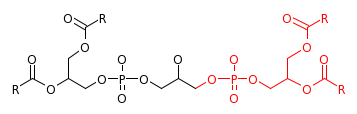
C00344 Phosphatidylglycerol
C05980 Cardiolipin
RP01924_C00344 RP01924_C05980
C00344 C05980