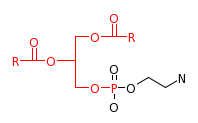
C00346 Ethanolamine phosphate
C00350 Phosphatidylethanolamine
RP01940_C00346 RP01940_C00350
C00346 C00350