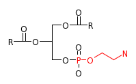
C00350 Phosphatidylethanolamine
C00416 Phosphatidate
RP01939_C00350 RP01939_C00416
C00350 C00416