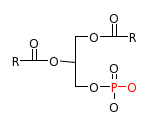
C00416 Phosphatidate
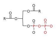
C19776 1,2-Diacyl-sn-glycerol 3-diphosphate
RP15104_C00416 RP15104_C19776
C00416 C19776