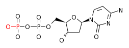
C00458 dCTP
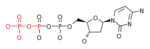
C00705 dCDP
RP00178_C00458 RP00178_C00705
C00458 C00705