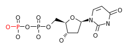
C00460 dUTP
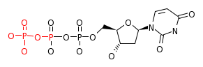
C01346 dUDP
RP00127_C00460 RP00127_C01346
C00460 C01346