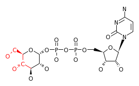
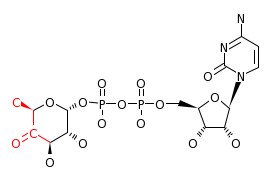
C00501 CDP-glucose
C01219 CDP-4-dehydro-6-deoxy-D-glucose
RP02202_C00501 RP02202_C01219
C00501 C01219