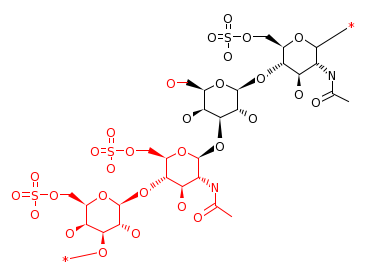
C00573 Keratan sulfate
C00573 Keratan sulfate
RP11179_C00573 RP11179_C00573
C00573 C00573