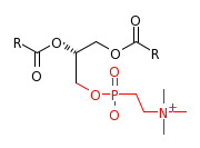
C00641 1,2-Diacyl-sn-glycerol
C05676 Diacylglyceryl-N-trimethyl-2-aminoethylphosphonate
RP04528_C00641 RP04528_C05676
C00641 C05676