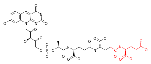
C00876 Coenzyme F420
C19151 Coenzyme F420-3
RP14709_C00876 RP14709_C19151
C00876 C19151