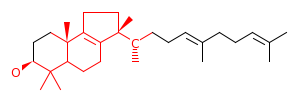
C01054 (S)-2,3-Epoxysqualene
C19832 Thalianol
RP15207_C01054 RP15207_C19832
C01054 C19832