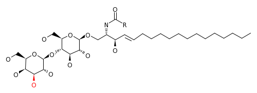
C01290 Lactosylceramide
C04730 GM3
RP00687_C01290 RP00687_C04730
C01290 C04730