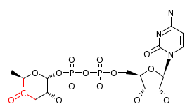
C01788 CDP-abequose
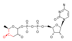
C04297 CDP-4-dehydro-3,6-dideoxy-D-glucose
RP13708_C01788 RP13708_C04297
C01788 C04297