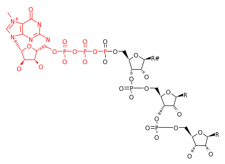
C02339 m7G(5')pppR-mRNA
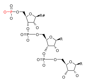
C20863 5'-Phospho-[mRNA]
RP17036_C02339 RP17036_C20863
C02339 C20863